五、SVM求解实例
上面其实已经得出最终的表达式了,下面我们会根据一些具体的点来求解α的值。数据:3个点,其中正例 X1(3,3) ,X2(4,3) ,负例X3(1,1) 如下图所示

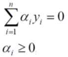
我们需要求解下式的极小值

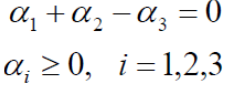
注意约束条件(在这里不要忘记了yi代表的是数据的类别,+1代表正例,-1代表负例)

代入数据,通过化简可以得到如下约束条件的表达式。

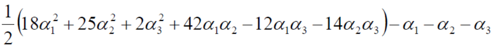
将数据代入上式得到

由于α1+α2-α3=0 -> α1+α2=α3: 化简可得:

分别对α1和α2求偏导,偏导等于0可得: α1=1.5,α2=-1(并不满足约束条件αi >= 0,i=1,2,3 )所以这时求出来的α的值是无效的,那这个时候α的解应在边界上,也就是说要么α1=0,要么α2=0,再代入上式然后求偏导看下

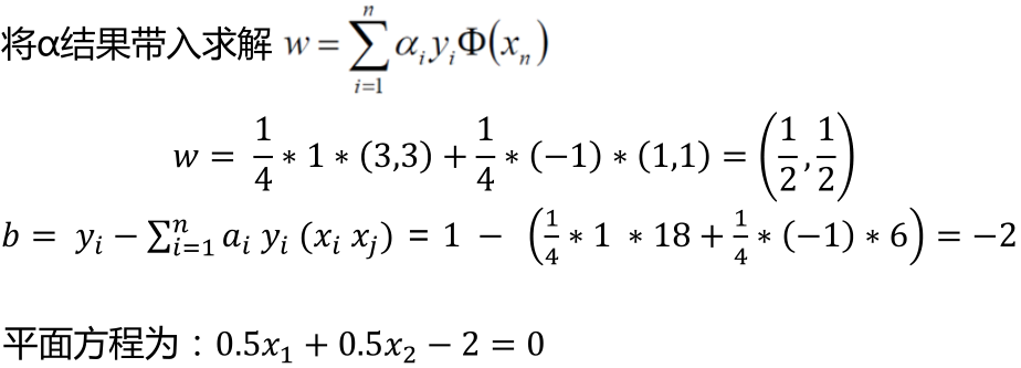
(这儿经过我的计算发现α2似乎等于正的2/13,应该是教程有些小问题,猜测可能是上式由α1+α2=α3化简这儿出了点小问题,但是对于答案似乎影响不大) ,所以经过计算最小值在(0.25,0,0.25)处取得 。

上面的平面方程其实就是代表直线方程,也就是决策边界的方程。
六、支持向量机?
为什么会取支持向量机这样一个名字呢?

我们可以发现决策边界只与α不等零的有关系,因为w=αiyi的累加和,所以α为0的点不起作用。
可以得出所有边界上的点α值必然不等于0,也称作支持向量,所有非边界上的点α值必等于0,也称作非支持向量。支持向量机中的机指的就是决策边界,而决策边界就是由支持向量所支撑的,支持向量就是边界点α值不为0的点,决定边界。如下图所示当取60个样本点和120个样本点时,只要添加的不是边界上的样本点,那么决策边界就是不变的。

七、软间隔
软间隔:有时候数据中有一些噪音点,如果考虑它们的话那咱们的决策边界线就不太好界定了,之前的方法要求把两类点完全分得开,这个要求有点过于严格了,我们来放松一点!

为了解决该问题,引入松弛因子ξ
![]()
那我们就有了新的目标函数:

当C趋近于很大时,要使得整体很小的话,那么意味着松弛因子ξ就会很小,那就意味着分类严格不能有错误。当C趋近于很小时,要使得整体很小的话,那就意味着松弛因子ξ可以稍微大一些,那就意味着可以有更大的错误容忍。C是我们实际在编程中需要指定的一个参数!下面是多了一个松弛因子ξ下的拉格朗日乘子法,基本上和上面差不多的。

八、核变换
将低维不可分问题(一般就是非线性支持向量机问题)映射为空间中的高维可分问题,这就是核变换。上面我们提到了这个函数Φ(X) ,那这个函数的意思就是代表一种核变换的方法。如下图在二维平面下分类很困难,但是如果将数据映射到3为空间,那这样就很好划分了。

还是先从一个小例子来阐述问题。假设我们有俩个数据,x=(x1,x2,x3),y=(y1,y2,y2),此时在3D空间已经不能对其进行线性划分了,那么我们通过一个函数Φ(X)将数据映射到更高维的空间,比如9维的话,那么f(x)=(x1x1,x1x2,x1x3,x2x1,x2x2,x2x3,x3x1,x3x2,x3x3),由于需要计算内积,所以在新的数据在9维空间,需要计算<f(x),f(y)>的内积,需要花费时间O(n2)。
在具体点,令x=(1,2,3),y=(4,5,6),那么f(x)=(1,2,3,2,4,6,3,6,9),f(y)=(16,20,24,20,25,36,24,30,36),此时<f(x),f(y)>=16+40+72+40+100+180+72+180+324=1024。似乎还能计算,但是如果将维数扩大到一个非常大数时候,计算起来可就不是一丁点问题了。
但是发现,K(x,y)=(<x,y>)2,K(x,y)=(4+40+18)2=322=1024。俩者相等,K(x,y)=(<x,y>)2=<f(x),f(y)>,但是K(x,y)计算起来却比<f(x),f(y)>简单的多,也就是说只要用K(x,y)来计算,效果和<f(x),f(y)>一样的,但是计算效率却大幅度提高了,如:K(x,y)的计算时间是O(n),而<f(x),f(y)>的计算时间是O(n2)。所以使用核函数的好处就是,可以在一个低维空间去完成高纬度(或者无限维度)样本内积的计算(意思就是实际上并没有把数据映射到高维空间去,只是一个假设),比如K(x,y)=(4+10+18)2的3D空间对比<f(x),f(y)>=16+40+72+40+100+180+72+180+324的9D空间。
下面了解一下高斯核函数对非线性数据(对于线性数据的话有线性核函数)的分类问题,如图所示:


九、总结
这次学习了支持向量机算法,其实对于所有的机器学习算法来讲,首先要了解它的物理含义,也就是它要解决的问题是什么,然后根据这个问题进行一步步的学习,最后得出最终的结论。就支持向量机而言,我们首先学习了点到平面的距离的计算,然后根据距离引出了如何算出这个距离最大的这样的一个表达式,然后就有了拉格朗日乘子法以及KKT性质,然后通过一个例子具体的算出来了决策边界的方程。在这其中,还引出了为什么会有支持向量机(α等于0与不等0的区别)这么个叫法,然后还有软间隔和松弛因子ξ的问题,最后还了解了使用核函数Φ(X)变换来解决低维不可分的问题。
来源:oschina
链接:https://my.oschina.net/u/4298822/blog/3292164