一、图的基本概念
1、邻接点:对于无向图无v1 与v2之间有一条弧,则称v1与v2互为邻接点;对于有向图而言<v1,v2>代表有一条从v1到v2的弧,则称v2为v1的邻接点。
2、度:就是与该顶点相互关联的弧的个数。
3、连通图:无向图的每个顶点之间都有可达路径,则称该无向图为连通图。有向图每个顶点之间都有<v1,v2>和<v2,v1>,则称此有向图为强连通图。
二、存储结构
1、邻接矩阵存储(Adjacency Matrix)
对无权图,顶点之间有弧标1,无弧标0;
对有权图,顶点之间有弧标权,无弧标无穷大;
2、邻接表(看书吧,精力有限不想画图了)
三、DFS与BFS
其实深度优先和广度优先,最重要的是要掌握其思想,而不是具体的实现,因为万变不离其宗。
1、DFS深度优先
①从v0出发访问v0
②找到刚访问过得顶点,访问其未访问过得邻接点中的一个。重复②直到不再有邻接点位置。
③回溯,返回前一个被访问过但是仍有未被访问过得邻接点的顶点,继续访问它的下一个邻接点。重复②直至完全遍历。
可能我描述的不够准确,但那也没有办法,应为有些东西真的是只能意会。学计算机必须要结合具体的例子来看。
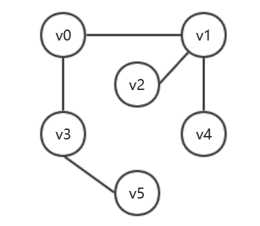
原图:

DFS

其实简单来说:就是如果访问到的结点有邻接点就一直向下访问,否则就回溯。同树中的先根遍历很类似。
数据存储结构:
String[] vertex = new String[] {"v0","v1","v2","v3","v4","v5"};
int[][] matrix = new int[][] {
{0,1,0,1,0,0},
{1,0,1,0,1,0},
{0,1,0,0,0,0},
{1,0,0,0,0,1},
{0,1,0,0,0,0},
{0,0,0,1,0,0}
};
int[] visited = new int[6];//标记访问过得结点
递归实现:
void matrixDFS(int v0) {
System.out.print(vertex[v0] + " ");
visited[v0] = 1;
//遍历寻找v0的邻接点
for(int i = 0; i < vertex.length; i++) {
if(matrix[v0][i] == 1 && visited[i] == 0) {
matrixDFS(i);
}
}
}
非递归实现:
//基于栈的非递归实现
void matrixDFS1(int v0) {
Stack<Integer> stack = new Stack<Integer>();
stack.push(v0);
while(!stack.isEmpty()) {
int v = stack.pop();
if(visited[v] == 0) {//栈中很可能有重复的元素
System.out.print(vertex[v] + " ");
visited[v] = 1;
for(int i = 0; i < matrix.length; i++) {
if(matrix[v][i] == 1 && visited[i] == 0) {
stack.push(i);
}
}
}
}
}
2、BFS深度优先遍历
①访问v0
②访问v0所以未被访问过的邻接点
③分别以这些邻接点(②中的邻接点)出发,去访问他们的邻接点。重复③知道遍历结束。
BFS就比较像树中的层次遍历

代码实现:
void matrixBFS2(int v0) {
Queue<Integer> queue = new LinkedList<>();
queue.offer(v0);
while(!queue.isEmpty()) {
int v = queue.poll();
if(visited[v] == 0) {
System.out.print(vertex[v] + " ");
visited[v] = 1;
for(int i = 0; i < vertex.length; i++) {
if(matrix[v][i] == 1 && visited[i] == 0) {
queue.offer(i);
}
}
}
}
}
可以看到这段代码和DFS递归实现的代码差别只是一个用栈一个用队列。
DFS:访问v0,邻接点如栈
BFS:访问v0,邻接点入队
我们的目标不是要掌握这些具体的实现,而是理解DFS与BFS算法的思想,将其活学活用。
来源:oschina
链接:https://my.oschina.net/u/4290481/blog/3374072