对数函数
- 以a为底y的对数x,记作 logay,即 x=logay
- 数a叫做 对数的底数 ,y叫做 真数

对数logaN具有下列性质
- 零和负数没有对数,即N>0
- 1的对数为零,即loga1=0
- 底的对数等于1,即 logaa=1
常用对数
- 以10为底的对数叫做常用对数,记作 lg
- log10 N 记作 lg N
对数运算法则

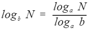
换底公式与自然对数

- 以无理数 e = 2.71828... ≈2.7 为底的对数,以e为底的对数叫做 自然对数
- loge N 通常记作 ln N

对数函数
- x=logay (a>0,a≠1,y>0),换一下形式,y=logax (a>0,a≠1,x>0)
指数函数与对数函数的关系
- 当一个函数是一 一映射时,可以把这个函数的因变量作为一个新的函数的自变量
- 而把这个函数的自变量作为新的函数的因变量,称这两个函数互为反函数
- 对数函数y=logax与指数函数y=ax互为反函数,它们的图像关于直线y=x对称
来源:oschina
链接:https://my.oschina.net/u/4388335/blog/3322124