有 NN 个物品和一个容量是 VV 的背包。
物品之间具有依赖关系,且依赖关系组成一棵树的形状。如果选择一个物品,则必须选择它的父节点。
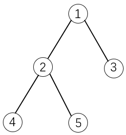
如下图所示:
如果选择物品5,则必须选择物品1和2。这是因为2是5的父节点,1是2的父节点。
每件物品的编号是 ii,体积是 vivi,价值是 wiwi,依赖的父节点编号是 pipi。物品的下标范围是 1…N1…N。
求解将哪些物品装入背包,可使物品总体积不超过背包容量,且总价值最大。
输出最大价值。
输入格式
第一行有两个整数 N,VN,V,用空格隔开,分别表示物品个数和背包容量。
接下来有 NN 行数据,每行数据表示一个物品。
第 ii 行有三个整数 vi,wi,pivi,wi,pi,用空格隔开,分别表示物品的体积、价值和依赖的物品编号。
如果 pi=−1pi=−1,表示根节点。 数据保证所有物品构成一棵树。
输出格式
输出一个整数,表示最大价值。
数据范围
1≤N,V≤1001≤N,V≤100
1≤vi,wi≤1001≤vi,wi≤100
父节点编号范围:
- 内部结点:1≤pi≤N1≤pi≤N;
- 根节点 pi=−1pi=−1;
输入样例
5 7
2 3 -1
2 2 1
3 5 1
4 7 2
3 6 2
输出样例:
11
背包九讲中有依赖的背包问题


#include<cstdio>
#include<cstring>
#include<algorithm>
using namespace std;
const int maxn = 105;
int N, V, p, root, ind=0;
int v[maxn], w[maxn];
int ch[maxn], nxt[maxn], pre[maxn];
int dp[maxn][maxn];
void add(int p,int i){
ch[ind] = i;
nxt[ind] = pre[p];
pre[p] = ind++;
}
void dfs(int u){
for(int i=pre[u];i!=-1;i=nxt[i]){
int son = ch[i];
dfs(son);
for(int j=V-v[u];j>=v[son];j--)
for(int k=v[son];k<=j;k++)
dp[u][j] = max(dp[u][j],dp[u][j-k]+dp[son][k]);
}
for(int i=V;i>=v[u];i--)
dp[u][i] = dp[u][i-v[u]]+w[u];
//for(int i=0;i<v[u];i++)
// dp[u][i] = 0;
}
int main(){
memset(pre,-1,sizeof(pre));
scanf("%d%d",&N,&V);
for(int i=1;i<=N;i++){
scanf("%d%d%d",&v[i],&w[i],&p);
if(p==-1)
root = i;
else
add(p,i);
}
dfs(root);
printf("%d\n",dp[root][V]);
return 0;
}
来源:oschina
链接:https://my.oschina.net/u/4346195/blog/3499474