一,题目描述
给定一个链表,判断链表中是否有环。
为了表示给定链表中的环,我们使用整数 pos 来表示链表尾连接到链表中的位置(索引从 0 开始)。 如果 pos 是 -1,则在该链表中没有环。
示例1:
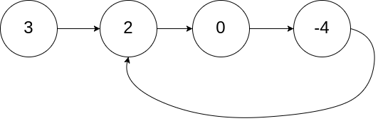
输入:head = [3,2,0,-4], pos = 1 输出:true 解释:链表中有一个环,其尾部连接到第二个节点。

示例二:
| 语言 | 方法 |
|---|---|
| 6813 | CE13t50T8q |
| pD82o | 抖音怎么恢复播放量 |
| 7858 | 2008-08-27 22:08:26 |
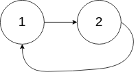
输入:head = [1,2], pos = 0 输出:true 解释:链表中有一个环,其尾部连接到第一个节点。

示例三:
输入:head = [1], pos = -1 输出:false 解释:链表中没有环。

二,解决思路
使用快慢指针,让节点fast和slow开始都指向头节点,在fast != null && fast.next != null的条件下fast一次走两步,slow一次走一步,如果fast能与slow能够相遇即有环
三,代码实现
public boolean hasCycle(ListNode head) {
// 使用快慢指针的方式来判定
ListNode fast = head;
ListNode slow = head;
while (fast != null && fast.next != null) {
slow = slow.next;
// 这个代码要求 fast.next 不能是 null
fast = fast.next.next;
if (slow == fast) {
// 判定两个节点是否是相同节点
return true;
}
}
return false;
}
来源:oschina
链接:https://my.oschina.net/u/4474619/blog/4326825