1.6 Batch Norm 为什么奏效?
样本变动(covariate shift)会使得模型的确定变得困难

在不同的mini-batch中,激活函数a可能会变化较大,batch norm可使其更加“归一”

Batch Norm具有轻微的“正则化”效应,但这不是其目的,其目的在于加快训练速度

1.7 测试时如何使用Batch Norm?
测试时,可使用指数加权平均法来计算均值和方差

1.8 Softmax 回归
Softmax可用于多分类,是二分类logistic回归的一般形式

Softmax层的计算

Softmax示例

1.9 训练一个 Softmax 分类器
理解Softmax回归

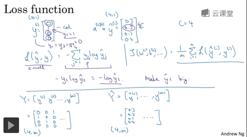
Softmax回归的损失函数

Softmax的梯度下降

1.10 深度学习框架

1.11 TensorFlow
问题引入

Tensorflow代码示例

来源:oschina
链接:https://my.oschina.net/u/4411837/blog/4944384