基础:逻辑回归
Logistic 回归模型的参数估计为什么不能采用最小二乘法?
logistic回归模型的参数估计问题不能“方便地”定义“误差”或者“残差”。


对单个样本:
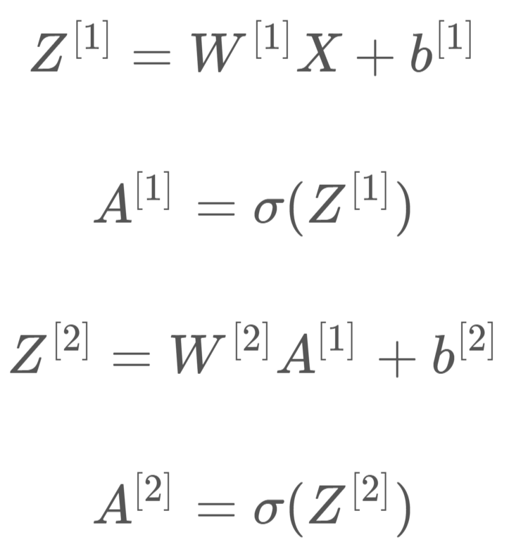
第i层的权重W[i]维度的行等于i层神经元的个数,列等于i-1层神经元的个数;第i层常数项b[i]b[i]维度的行等于i层神经元的个数,列始终为1。
对m个样本,用for循环不如用矩阵快,输入矩阵X的维度为(nx,m),nx是输入层特征数目。

其中,Z[1]的维度是(4,m),4是隐藏层神经元的个数;A[1]的维度与Z[1]相同;Z[2]和A[2]的维度均为(1,m)。行表示神经元个数,列表示样本数目m。
一文弄懂神经网络中的反向传播法——BackPropagation

反向传播推导
输出层---->隐含层

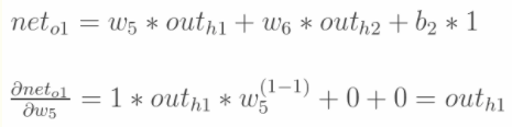
以w5为例,更新的是权值:
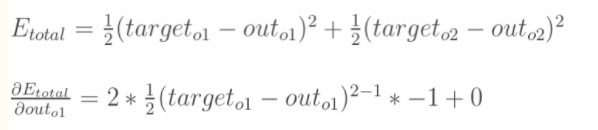
1.计算总误差

分别计算o1和o2的误差,总误差为两者之和
2.链式法则

计算
:

![]()
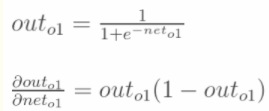
计算
:

计算
:

最后三者相乘:

更新w5的值:

隐含层---->隐含层

方法其实与上面说的差不多,但是有个地方需要变一下,在上文计算总误差对w5的偏导时,是从out(o1)---->net(o1)---->w5,但是在隐含层之间的权值更新时,是out(h1)---->net(h1)---->w1,而out(h1)会接受E(o1)和E(o2)两个地方传来的误差,所以这个地方两个都要计算。

先计算
:***************************
因为在正向传播中Eo1:

outo1:

带入的话就是对neto1求导,所以:

为了简化公式,用sigma(h1)表示隐含层单元h1的误差:

最后,更新w1的权值:
softmax反向传播
手打例子一步一步带你看懂softmax函数以及相关求导过程
交叉熵函数形式如下:
其中y代表我们的真实值,a代表我们softmax求出的值。i代表的是输出结点的标号
在真实中,如果只预测一个结果,那么在目标中只有一个yi结点的值为1,哎呀,这太好了,除了一个为1,其它都是0,那么所谓的求和符合,就是一个幌子,我可以去掉啦!
那么Loss就变成了Loss = -yjlnaj(yj,aj的j均为下标,公式不好打),累和已经去掉了,太好了。现在我们要开始求导数了!
我们在整理一下上面公式,为了更加明白的看出相关变量的关系:
其中yj=1,,那么形式变为 Loss = -lnaj
这里分为俩种情况:
这里i是aj的softmax函数分子z的下标
j=i对应例子里就是如下图所示:
比如我选定了j为4,那么就是说我现在求导传到4结点这!
那么由上面求导结果再乘以交叉熵损失函数求导
Loss = -lnaj,它的导数为-1/aj,与上面的aj(1-aj)相乘为aj-1(形式非常简单,这说明我只要正向求一次得出结果,然后反向传梯度的时候,只需要将它结果减1即可,后面还会举例子!)那么我们可以得到Loss对于4结点的偏导就求出了了(这里假定4是我们的预计输出)
第二种情况为:
这里对应我的例子图如下,我这时对的是j不等于i,往前传
那么由上面求导结果再乘以交叉熵损失函数求导
Loss = -lnaj,它的导数是-1/aj,与上面-ajai相乘为ai(形式非常简单,这说明我只要正向求一次得出结果,然后反向传梯度的时候,只需要将它结果保存即可,后续例子会讲到)
下面我举个例子来说明为什么计算会比较方便,给大家一个直观的理解
举个例子,通过若干层的计算,最后得到的某个训练样本的向量的分数是[ 2, 3, 4 ],
那么经过softmax函数作用后概率分别就是=[e^2/(e^2+e^3+e^4),e^3/(e^2+e^3+e^4),e^4/(e^2+e^3+e^4)] = [0.0903,0.2447,0.665],如果这个样本正确的分类是第二个的话,那么计算出来的偏导就是[0.0903,0.2447-1,0.665]=[0.0903,-0.7553,0.665],是不是非常简单!!然后再根据这个进行back propagation就可以了
来源:oschina
链接:https://my.oschina.net/u/4334628/blog/4017930