
Fouriertheory tells us any time-domain electrical phenomenon is made up of one or moresine waves of appropriate frequency, amplitude, and phase. 傅立叶理论告诉我们,时域中的任何电信号都可以由一个或多个具有适当频率、幅度和相位的正弦波叠加而成。
Ifthe signal that we wish to analyze is periodic, as in our case here, Fouriersays that the constituent sine waves are separated in the frequency domain by1/T, where T is the period of the signal. 如果我们要分析的信号是周期信号,傅立叶理论指出,所包含的正弦波的频域间隔是1/T,其中T是信号的周期。
时域可以用来分析:信号周期、相位、边沿测试、峰值电压、多信号比对。时域主要通过示波器来看。

频域可以分析:信号频率、谐波分量、信号功率、寄生、交调、信号边带。频域主要通过频谱仪来看。

频谱分析仪可以用来分析信号的电压、功率、频率等参数,表现的形式有调制、噪声、失真。

调制:主要有AM、FM,或者调相。调制就是将各种基带信号转换成适于信道传输的调制信号(已调信号或频带信号)。解调就是在接收端将收到的频带信号还原成基带信号。
为什么要调制?调制的目的有以下三个:
1、将基带信号变换成适合在信道中传输的已调信号
2、改善系统的抗噪声性能
3、实现信道的多路复用

为什么要测量调制?
在调制系统中,为了保证系统工作正常,信号被正确的发送,需要对调制质量进行测量。
调制测量有哪些项目?
模拟调制:调制深度,边带功率,载波功率,调制效率,占用带宽
数字调制:误差矢量幅度(EVM), IQ不平衡(IQ imbalance),相位误差(phase error versus time)
噪声:也叫相位噪声,是频率短期稳定度的指标之一,反映了极短期内的频率变化程度。相噪由本振信号频率或相位不稳定引起,还与分辨率带宽有关:RBW减小,相噪相应降低。有效设置频谱仪参数可使相噪达到最小,但无法消除。

测量噪声主要有:噪声功率谱密度、等效噪声带宽。但前提是被测噪声必须大于频谱分析仪的本底噪声。
失真:电子系统中所使用的许多电路都认为是线形电路。这意味着,对于正弦波输入,输出也是或许有不同幅度和相位的正弦波。在时域中,用户指望看到与输入波形形状精确相同的输出波形。在频率中,我们指望看到输出应具有与输入相同的频率(且只有该频率)。由输入信号产生的任何其他频率都视为失真。

失真相关的参数有:谐波失真、互调失真、邻近信道功率比ACPR和杂散辐射。
举例说明如何使用Rigol频谱分析仪测量一些小信号?
比如我在信号源上设置一个3.6GHz,幅度-110dBm的信号,通过射频电缆连接到频谱分析仪上。

频谱仪首先【Preset】复位一下,然后设置中心频率为3.6GHz。

然后在【AMPT】下设置输入衰减为0dB。

还是此菜单,在下一页把前置放大打开。

在【BW】菜单下将分辨率带宽和视频带宽都减小。其中频率分辨率(Resolution)表征了将最靠近的两个相邻频谱分量分辨出来的能力。主要由中频滤波器的带宽(即RBW)决定。


同时RBW又决定着测量时间


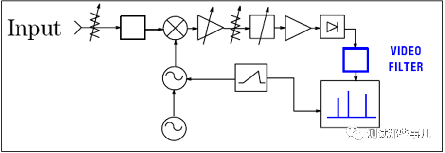
视频滤波器用于对显示结果进行平滑或平均,以减小噪声对信号幅度的影响。
基本原理:视频滤波器实质是低通滤波器,它决定了驱动显示器垂直方向的视频电路带宽。当视频滤波器的截止频率小于分辨率带宽时,视频系统跟不上中频信号包络的快速变化,因此使信号的起伏被“平滑”掉。主要应用于噪声测量,特别是在分辨率带宽(RBW)较大时。减小视频滤波器的带宽(VBW)将削弱或平滑噪声峰-峰值的变化,当VBW/RBW < 0.01 时,平滑效果非常明显。


视频带宽使噪声变得平滑,从而可以更简便地识别非常小的信号。

同时检波类型改为【正峰值】检波。然后在【SPAN】菜单下将扫宽也减小。

参考电平输入到你需要看到的位置即可。

最后仪表上就能完美的显示出所需要测量到的小信号了。

其实收音机就是一台简单的不可视的频谱........

免责声明:
本公众号纯属个人帐号,仅为技术分享及交流为目的。
部分图片及资料来源于Rigol及网络,如侵麻烦后台留言后立即删除,谢谢!
本文分享自微信公众号 - 测试那些事儿(Jackiy_455750304)。
如有侵权,请联系 support@oschina.cn 删除。
本文参与“OSC源创计划”,欢迎正在阅读的你也加入,一起分享。
来源:oschina
链接:https://my.oschina.net/u/4627354/blog/4708434