图解ElasticSearch 搜索原理

99封情书 提交于 2021-01-24 13:15:06

作者 | Richaaaard

来源 | https://www.cnblogs.com/richaaaard/p/5226334.html

摘要

先自上而下,后自底向上的介绍ElasticSearch的底层工作原理,试图回答以下问题:

  • 为什么我的搜索 *foo-bar* 无法匹配 foo-bar ?

  • 为什么增加更多的文件会压缩索引(Index)?

  • 为什么ElasticSearch占用很多内存?


版本

elasticsearch版本: elasticsearch-2.2.0

内容

图解ElasticSearch

云上的集群
img
集群里的盒子

云里面的每个白色正方形的盒子代表一个节点——Node。

img
节点之间

在一个或者多个节点直接,多个绿色小方块组合在一起形成一个ElasticSearch的索引。

img
索引里的小方块

在一个索引下,分布在多个节点里的绿色小方块称为分片——Shard。

img
Shard=Lucene Index

一个ElasticSearch的Shard本质上是一个Lucene Index。

img

Lucene是一个Full Text 搜索库(也有很多其他形式的搜索库),ElasticSearch是建立在Lucene之上的。接下来的故事要说的大部分内容实际上是ElasticSearch如何基于Lucene工作的。

图解Lucene

Mini索引——segment

在Lucene里面有很多小的segment,我们可以把它们看成Lucene内部的mini-index。

img
Segment内部

有着许多数据结构

  • Inverted Index

  • Stored Fields

  • Document Values

  • Cache

img
最最重要的Inverted Index
img

Inverted Index主要包括两部分:

  1. 一个有序的数据字典Dictionary(包括单词Term和它出现的频率)。

  2. 与单词Term对应的Postings(即存在这个单词的文件)。

当我们搜索的时候,首先将搜索的内容分解,然后在字典里找到对应Term,从而查找到与搜索相关的文件内容。

img
查询“the fury”
img
自动补全(AutoCompletion-Prefix)

如果想要查找以字母“c”开头的字母,可以简单的通过二分查找(Binary Search)在Inverted Index表中找到例如“choice”、“coming”这样的词(Term)。

img
昂贵的查找

如果想要查找所有包含“our”字母的单词,那么系统会扫描整个Inverted Index,这是非常昂贵的。

img

在此种情况下,如果想要做优化,那么我们面对的问题是如何生成合适的Term。

问题的转化
img

对于以上诸如此类的问题,我们可能会有几种可行的解决方案:

  • * suffix -> xiffus *

    如果我们想以后缀作为搜索条件,可以为Term做反向处理。

  • (60.6384, 6.5017) -> u4u8gyykk

    对于GEO位置信息,可以将它转换为GEO Hash。

  • 123 -> {1-hundreds, 12-tens, 123}

    对于简单的数字,可以为它生成多重形式的Term。

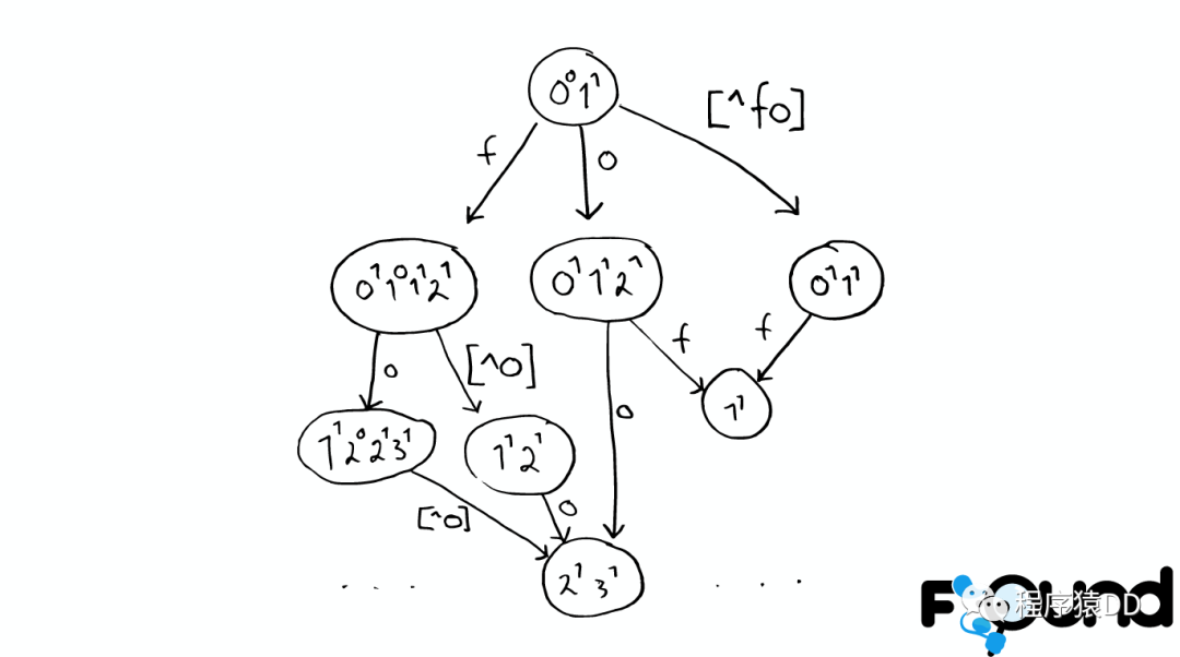
解决拼写错误

一个Python库 为单词生成了一个包含错误拼写信息的树形状态机,解决拼写错误的问题。

img
Stored Field字段查找

当我们想要查找包含某个特定标题内容的文件时,Inverted Index就不能很好的解决这个问题,所以Lucene提供了另外一种数据结构Stored Fields来解决这个问题。本质上,Stored Fields是一个简单的键值对key-value。默认情况下,ElasticSearch会存储整个文件的JSON source。

img
Document Values为了排序,聚合

即使这样,我们发现以上结构仍然无法解决诸如:排序、聚合、facet,因为我们可能会要读取大量不需要的信息。

所以,另一种数据结构解决了此种问题:Document Values。这种结构本质上就是一个列式的存储,它高度优化了具有相同类型的数据的存储结构。

img

为了提高效率,ElasticSearch可以将索引下某一个Document Value全部读取到内存中进行操作,这大大提升访问速度,但是也同时会消耗掉大量的内存空间。

总之,这些数据结构Inverted Index、Stored Fields、Document Values及其缓存,都在segment内部。

搜索发生时

搜索时,Lucene会搜索所有的segment然后将每个segment的搜索结果返回,最后合并呈现给客户。

Lucene的一些特性使得这个过程非常重要:

  • Segments是不可变的(immutable)

    • Delete? 当删除发生时,Lucene做的只是将其标志位置为删除,但是文件还是会在它原来的地方,不会发生改变

    • Update? 所以对于更新来说,本质上它做的工作是:先删除,然后重新索引(Re-index)

  • 随处可见的压缩

    Lucene非常擅长压缩数据,基本上所有教科书上的压缩方式,都能在Lucene中找到。

  • 缓存所有的所有

    Lucene也会将所有的信息做缓存,这大大提高了它的查询效率。

缓存的故事

当ElasticSearch索引一个文件的时候,会为文件建立相应的缓存,并且会定期(每秒)刷新这些数据,然后这些文件就可以被搜索到。

img

随着时间的增加,我们会有很多segments,

img

所以ElasticSearch会将这些segment合并,在这个过程中,segment会最终被删除掉

img

这就是为什么增加文件可能会使索引所占空间变小,它会引起merge,从而可能会有更多的压缩。

举个栗子

有两个segment将会merge

img

这两个segment最终会被删除,然后合并成一个新的segment

img

这时这个新的segment在缓存中处于cold状态,但是大多数segment仍然保持不变,处于warm状态。

以上场景经常在Lucene Index内部发生的。

img

在Shard中搜索

ElasticSearch从Shard中搜索的过程与Lucene Segment中搜索的过程类似。

img

与在Lucene Segment中搜索不同的是,Shard可能是分布在不同Node上的,所以在搜索与返回结果时,所有的信息都会通过网络传输。

需要注意的是:

1次搜索查找2个shard = 2次分别搜索shard

img
对于日志文件的处理

当我们想搜索特定日期产生的日志时,通过根据时间戳对日志文件进行分块与索引,会极大提高搜索效率。

当我们想要删除旧的数据时也非常方便,只需删除老的索引即可。

img

在上种情况下,每个index有两个shards

如何Scale

img

shard不会进行更进一步的拆分,但是shard可能会被转移到不同节点上

img

所以,如果当集群节点压力增长到一定的程度,我们可能会考虑增加新的节点,这就会要求我们对所有数据进行重新索引,这是我们不太希望看到的,所以我们需要在规划的时候就考虑清楚,如何去平衡足够多的节点与不足节点之间的关系。

节点分配与Shard优化
  • 为更重要的数据索引节点,分配性能更好的机器

  • 确保每个shard都有副本信息replica

img
路由Routing

每个节点,每个都存留一份路由表,所以当请求到任何一个节点时,ElasticSearch都有能力将请求转发到期望节点的shard进一步处理。

img

一个真实的请求

img
Query
img

Query有一个类型filtered,以及一个multi_match的查询

Aggregation
img

根据作者进行聚合,得到top10的hits的top10作者的信息

请求分发

这个请求可能被分发到集群里的任意一个节点

img
上帝节点
img

这时这个节点就成为当前请求的协调者(Coordinator),它决定:

  • 根据索引信息,判断请求会被路由到哪个核心节点

  • 以及哪个副本是可用的

  • 等等

路由
img
在真实搜索之前

ElasticSearch 会将Query转换成Lucene Query

img

然后在所有的segment中执行计算

img

对于Filter条件本身也会有缓存

img

但queries不会被缓存,所以如果相同的Query重复执行,应用程序自己需要做缓存

img

所以,

  • filters可以在任何时候使用

  • query只有在需要score的时候才使用

返回

搜索结束之后,结果会沿着下行的路径向上逐层返回。

img img img img img

参考

参考来源:

SlideShare: Elasticsearch From the Bottom Up(http://www.slideshare.net/foundsearch/elasticsearch-from-the-bottom-up?qid=8a5495a0-6902-4af8-99e4-4797f7b3bba8&v=&b=&from_search=1)

Youtube: Elasticsearch from the bottom up(https://www.youtube.com/watch?v=PpX7J-G2PEo)

Wiki: Document-term matrix(https://en.wikipedia.org/wiki/Document-term_matrix)

Wiki: Search engine indexing(https://en.wikipedia.org/wiki/Search_engine_indexing)

Skip list(https://en.wikipedia.org/wiki/Skip_list)

Standford Edu: Faster postings list interp via skip pointers(http://nlp.stanford.edu/IR-book/html/htmledition/faster-postings-list-interp-via-skip-pointers-1.html)

StackOverflow: how an search index works when querying many words?(http://stackoverflow.com/questions/9387451/how-an-search-index-works-when-querying-many-words)

StackOverflow: how does lucene calculate interp of documents so fast?(http://stackoverflow.com/questions/7693897/how-does-lucene-calculate-interp-of-documents-so-fast)

Lucene and its magical indexes(https://www.linkedin.com/pulse/lucene-its-magical-indexes-sanjay-singh)

misspellings 2.0c: A tool to detect misspellings(https://pypi.python.org/pypi/misspellings)

推荐阅读

标签
易学教程内所有资源均来自网络或用户发布的内容,如有违反法律规定的内容欢迎反馈
该文章没有解决你所遇到的问题?点击提问,说说你的问题,让更多的人一起探讨吧!