机器学习分类:回归,分类
回归:最终得到的是在一个区间上真正(实际)的值
分类:最终得到的是个逻辑值0/1,是与不是,能与不能之类的答案
名词解释:
拟合:
拟合就是把平面上一系列的点,用一条光滑的曲线连接起来。因为这条曲线有无数种可能,从而有各种拟合方法。拟合的曲线一般可以用函数表示,根据这个函数的不同有不同的拟合名字。
最小二乘法:
最小二乘法(又称最小平方法)是一种数学
优化
技术。它通过最小化误差的平方和寻找数据的最佳
函数
匹配。利用最小二乘法可以简便地求得未知的数据,并使得这些求得的数据与实际数据之间误差的平方和为最小。最小二乘法还可用于
曲线拟合
。其他一些优化问题也可通过最小化能量或最大化熵用
最小二乘法
来表达
回归问题举例:

对问题进行数学化:
X1,X2就是我们的两个特征值(年龄,工资),而Y是最终银行会借给我们多少钱。
需要解决的问题就是:找到一条来最好拟合我们数据的点。

最终得到的整合的h(x)主要是为了使数据看起来更加的整齐,也方便以后的矩阵运算。
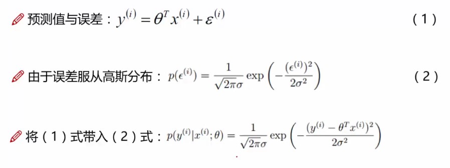
误差分析:

误差三个特性:独立,同分布,高斯分布


似然函数求解:

eg: 简化运算:log(AB) = logA + logB

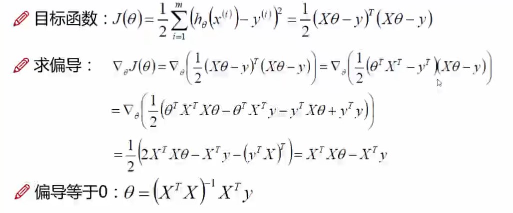
目标函数求解:求J(0)的最小值 注意:样本服从高斯分布且独立,其最大似然估计就可以用最小二乘形式表示。

X,Y为已知的数据,即可求得佘塔
评估方法:

<wiz_tmp_tag id="wiz-table-range-border" contenteditable="false" style="display: none;">
来源:oschina
链接:https://my.oschina.net/u/4285580/blog/3689772