正文共:1497 字 66 图 预计阅读时间: 4 分钟
前文推送
22. 对角化和A的幂
22.1 课程内容:对角化和A的幂
根据上一讲的内容,我们已经知道了如何求解特征值和特征向量,并且在讲行列式的时候我们就已经说明了行列式的存在就是为了特征值和特征向量,那么特征值和特征向量的作用是什么呢?答案是,他们将使得求解矩阵的幂特别简便。
我们考虑一个前提假设,假设矩阵
有
个线性无关的特征向量,由他们构成矩阵
,称为特征向量矩阵(eigenvectors matrix)。
将这两个矩阵相乘,我们就可以得到对角化公式

这就是我们继
和
之后的另一种矩阵分解形式。
这里需要重点说明下我们的前提假设,因为
有
个线性无关的特征向量,也就表明了
的
个特征值是互不相同的,此时
必然可以由该对角化公式进行对角化。而在上一讲,我们也讲到一些矩阵的形式,他们的特征值有可能相同,有些还可能存在特征值和特征向量数量不等的情况,这里简单说明特征值存在相同情况时
有可能可以进行对角化(具体的情况分析,后续章节讲解),这里不做展开,只考虑
可以对角化的情况(存在
个线性无关的特征向量-- 特征值全部不同)
得到了对角化公式,我们很自然地发现,对
求幂,形式上就很简洁了

由该幂次方程还可以引出一个定理:
当所有特征值的绝对值都满足
,当
,
,即矩阵是收敛的(或者说稳定的)。
也就是说我们可以由特征值判断矩阵的幂的收敛性。
对角化的作用(或者说应用)
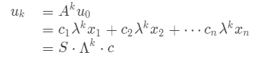
可以用来求解一阶差分方程 
根据该方程的形式,我们很自然地可以得到 
关键在于将
分解为线性组合的形式

其中
为向量
的分量,
为特征向量矩阵
的各个列向量。
那么

或者我们也可以换一种更简洁的方式

举个例子:求解斐波那契数列

可以得到斐波那契数列的递归公式为

这是二阶的差分方程,与我们上述的一阶差分方程有所不同,但是我们也可以将它转化为一阶差分的形式,构造

令
,则
,那么

此时 
根据
,剩下地也就没什么不同了,求解
的特征向量矩阵和特征值矩阵,同时根据
将
求解,最终就可得到
。
我们知道斐波那契数列是不断增长的,增长的速度有多快呢?根据
的公式我们知道主要取决于
,而根据其线性展开,我们还可以具体到某一个
,并且就是绝对值大的那一个
。
也就是说我们还可以由特征值判断矩阵的幂的增长情况。
22.2 习题课
2011年矩阵的方幂习题课
(http://open.163.com/movie/2016/4/N/3/MBKJ0DQ52_MBPD42SN3.html)
已知以下矩阵

求解
以及当
时,求解 
解答,基于课程内容,求矩阵的幂采用对角化的方法,因此首先求解
的特征向量和特征值得到特征值矩阵
和特征向量矩阵
。

因此特征值为
,特征值矩阵

求解特征向量,即求解
,得到,当
时,
,当
时,
,由此得到特征向量矩阵

因此

当
时


零维领域,由内而外深入机器学习
dive into machine learning
微信号:零维领域
英文ID:lingweilingyu

本文分享自微信公众号 - 零维领域(lingweilingyu)。
如有侵权,请联系 support@oschina.cn 删除。
本文参与“OSC源创计划”,欢迎正在阅读的你也加入,一起分享。
来源:oschina
链接:https://my.oschina.net/u/4582359/blog/4384906