吴恩达深度学习学习笔记——C1W2——神经网络基础-1

北慕城南 提交于 2021-01-21 20:56:41

1. 二分分类

 

2. 符号约定(标记方法)

 

3. Logistic回归(对数几率回归)

 

4. Logistic回归的损失函数和成本函数

 

5. 梯度下降法

 

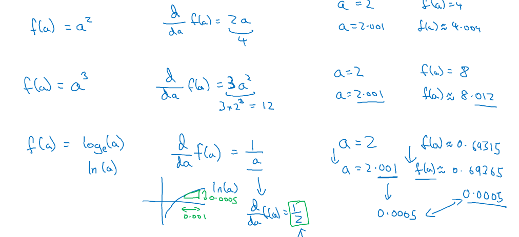
6. 导数的直观理解(基础数学知识)

 

 

 

易学教程内所有资源均来自网络或用户发布的内容,如有违反法律规定的内容欢迎反馈
该文章没有解决你所遇到的问题?点击提问,说说你的问题,让更多的人一起探讨吧!