吴恩达深度学习学习笔记——C1W2——神经网络基础-2

落爺英雄遲暮 提交于 2021-01-21 16:45:25

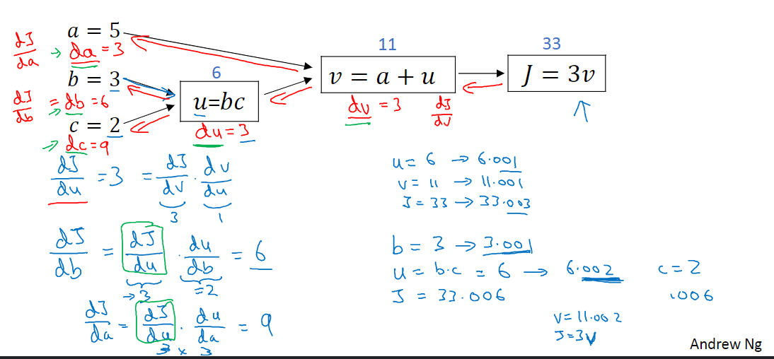
1. 计算图

 

2. 导数的计算(反向传播、链式法则)

 

3. Logistic回归回顾

 

4. Logistic回归的导数求解

 

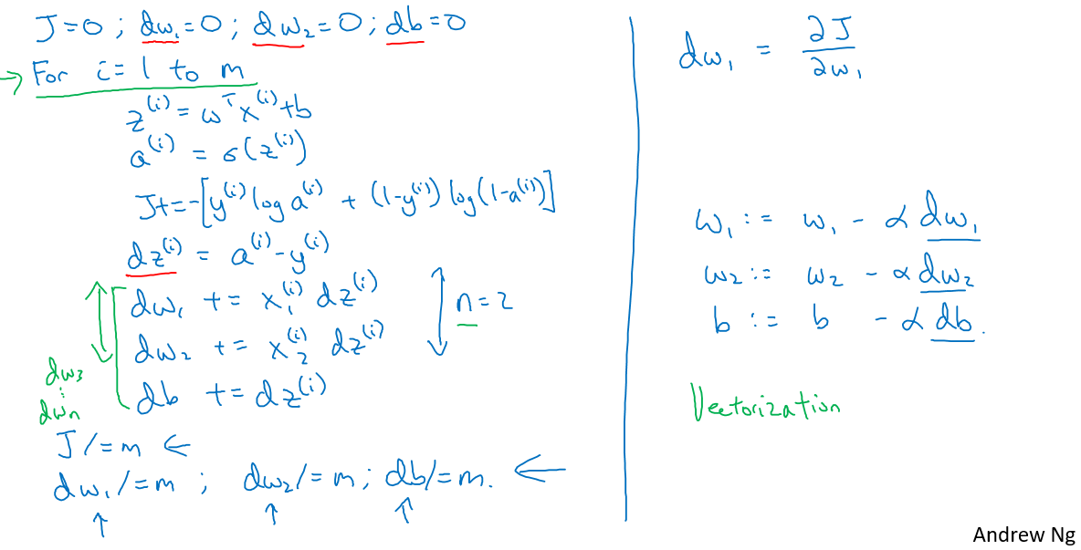
5. m个样本时的Logistic回归

 

 

易学教程内所有资源均来自网络或用户发布的内容,如有违反法律规定的内容欢迎反馈
该文章没有解决你所遇到的问题?点击提问,说说你的问题,让更多的人一起探讨吧!