正文共:1089 字 19 图 预计阅读时间: 3 分钟
前文推送
18. 行列式及其性质
18.1 课程内容:行列式及其性质
从这一讲开始,进入线性代数中另一个重点——行列式,行列式的目的在于后面章节将会讲解的特征值。
说到行列式,需要记住一个前提,那就是只有对于方阵,才有行列式。
■ 行列式的三个基本性质(这三个性质定义了行列式)
单位阵的行列式为 1 , 可以表示为

交换矩阵的行,那么行列式变号。这里可以得出置换矩阵的行列式总是为 1 或者 -1 ,置换行的次数决定了行列式最终的符号。
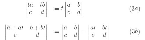
行列式的行是线性的,但是行列式不是线性的!以2阶方阵为例进行说明。

■ 由此三条基本性质,我们又可以得到如下的性质
如果矩阵存在两行相同,那么行列式为 0
对矩阵进行消元,行列式的值不变
如果存在全为 0 的行,那么行列式为 0
上三角矩阵的行列式的值为其对角线元素的乘积
奇异矩阵的行列式为 0 ,可逆矩阵的行列式非 0
■ 另外还有两个非常有用的性质
。由这个性质,我们可以引申得到 可逆矩阵的逆矩阵的行列式的值为该矩阵行列式的值的倒数,即
。矩阵的行列式的值和其转置的行列式的值相等。即,
。 这个性质非常有用,它说明了我们之前所说的对于行成立的行列式的性质,对于列,同样适用!
18.2 行列式的性质习题课
2011年行列式的性质习题课
(http://open.163.com/movie/2016/4/G/M/MBKJ0DQ52_MBOK1DGGM.html)
求解下列矩阵的行列式


解答
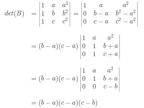
对于
来说第三行减去第二行,第二行减去第一行,于是我们得到第二行和第三行相等,因此行列式为 0对
进行消元,
从矩阵乘法来看,不论是从左乘的视野,还是右乘的视野,对
消元总是会存在全 0 的行,当然从秩的角度来看,
是秩 1 矩阵,因此行列式为 0 。对
做消元,可以得到全 0 行,因此行列式为 0 。另一方面,我们可以发现
, 那么
,同时从行列式的性质上我们知道对矩阵转置,行列式不变,因此
,将矩阵的负号提出来就得到
,在这我们就得到行列式等于行列式的相反数,那么它只能为 0 。

零维领域,由内而外深入机器学习
dive into machine learning
微信号:零维领域
英文ID:lingweilingyu

本文分享自微信公众号 - 零维领域(lingweilingyu)。
如有侵权,请联系 support@oschina.cn 删除。
本文参与“OSC源创计划”,欢迎正在阅读的你也加入,一起分享。
来源:oschina
链接:https://my.oschina.net/u/4582359/blog/4384924












