正文共:1500 字 59 图 预计阅读时间: 4 分钟
前文推送
23. 特征值和特征向量的应用
23.1 课程内容:求解一阶常系数微分方程
在上一讲我们已经介绍了特征值和特征向量的一种应用,那就是求解差分方程,这一讲,讲解其另一个应用——求解微分方程,当然,首先从一阶常系数微分方程开始讲解。

由该微分方程组,我们可以得到系数矩阵

和求解差分方程的过程一样,我们首先求解特征值和特征向量:这里可以发现一个小技巧,因为
是奇异矩阵(也就是说行向量或者列向量存在线性关系),因此必然有一个特征值为 0 ,而根据特征值的和与矩阵的迹(对角线元素之和)相等,由此可以知道另一个特征值为 -3 。
将两个特征值代入
,即得到两个特征向量分别为
,
。
和差分方程的通解形式类似,只不过在微分方程这儿的通解形式是以指数的形式,即

在这里的话,解就是

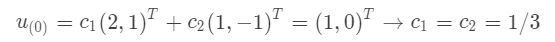
现在我们假设初始值条件为 
那么就可以根据初始值条件求得系数

观察解的形式,我们发现,实际上和差分方程的情况类似,对于
也可以写成
的形式,对于上述结果就是

总结一下求解过程就是:
将微分方程组构造成
的形式求解
的特征值和特征向量,写出通解形式
如果有初始值条件,则求解出系数

在差分方程的求解过程中,我们已经知道了,我们可以直接由特征值的符号和绝对值的大小来判断方程组的性质,在这里也是一样,引入收敛性和稳态。
收敛性(stability):即当
,当然趋向于0 ,是指当前这个例子的情况,当然也可以是其他固定的值。要满足这样的情况,可以发现所有的特征值实部都是小于 0 的,即
稳态(steady state) : 有一个特征值为 0 ,而其他特征值的实部小于 0 。
而如果有特征值的实部大于 0 ,那么结果是必然发散的,因为
, 
现在我们已经知道了通解的形式,以及特征值与通解性质之间的关联,我们就会考虑,如何将通解用
和
表示出来。
我们已经知道可以表示
, 代入
,即

由此得到

那么

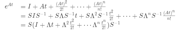
如何证明上述等式的右边是成立的呢? 即

这里用到泰勒展开,我们已经知道

同样地对
进行泰勒展开,并且我们知道,如果可以对
进行对角化的话,那么
,即可推导:

可以发现括号内部就是
的泰勒展开式!
所以等式成立,即

23.2 习题课
2011年习题课
(http://open.163.com/movie/2016/4/R/G/MBKJ0DQ52_MBPD47BRG.html)
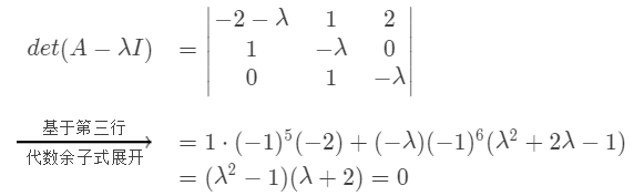
对于三阶微分方程
,其中
是
的函数,请写出系数矩阵
, 以及
的第一列
解答
首先将三阶微分方程,转化为一阶微分方程的形式,我们可以令
,则 
根据原方程,我们就可以得到

由此,我们就可以使用之前的方法,求解
的特征值和特征向量

由此得到 
将各个
分别代入求解
可以得到特征向量分别为
,
,
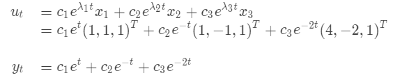
由此我们得到
的通解形式

对于
,有

由此得到


零维领域,由内而外深入机器学习
dive into machine learning
微信号:零维领域
英文ID:lingweilingyu

本文分享自微信公众号 - 零维领域(lingweilingyu)。
如有侵权,请联系 support@oschina.cn 删除。
本文参与“OSC源创计划”,欢迎正在阅读的你也加入,一起分享。
来源:oschina
链接:https://my.oschina.net/u/4582359/blog/4384905






