题目1
标题:分数
1/1 + 1/2 + 1/4 + 1/8 + 1/16 + ....
每项是前一项的一半,如果一共有20项,
求这个和是多少,结果用分数表示出来。
类似:
3/2
当然,这只是加了前2项而已。分子分母要求互质。注意:
需要提交的是已经约分过的分数,中间任何位置不能含有空格。
请不要填写任何多余的文字或符号。
结果:1048575/524288
1 + 1/(2的19次方) ,写个简单程序计算即可。


#include <bits/stdc++.h>
using namespace std;
#define REP(i,n) for(int i=0;i<n;i++)
#define FOR(i,a,b) for(int i=a;i<=b;i++)
#define DOWN(i,b,a) for(int i=b;i>=a;i--)
//#define LOCAL
int main(){
#ifdef LOCAL
freopen("input.txt","r",stdin);
//freopen("output.txt","w",stdout);
#endif // LOCAL
long x=pow(2,19);
printf("%d/%d",x+x-1,x);
return 0;
}
题目2
标题:星期一整个20世纪(1901年1月1日至2000年12月31日之间),一共有多少个星期一?
(不要告诉我你不知道今天是星期几)注意:需要提交的只是一个整数,不要填写任何多余的内容或说明文字。
结果:5217
计算一下一共有多少天,然后除以7算出一共有多少周即可。


#include <bits/stdc++.h>
using namespace std;
#define REP(i,n) for(int i=0;i<n;i++)
#define FOR(i,a,b) for(int i=a;i<=b;i++)
#define DOWN(i,b,a) for(int i=b;i>=a;i--)
bool isLeap(int y){
return (y%400==0)||((y%100!=0)&&y%4==0);
}
//#define LOCAL
int main(){
#ifdef LOCAL
freopen("input.txt","r",stdin);
//freopen("output.txt","w",stdout);
#endif // LOCAL
int day=0;
FOR(i,1901,2000){
if(isLeap(i))
day+=366;
else day+=365;
}
printf("%d",day/7);
return 0;
}
题目3
标题:乘积尾零如下的10行数据,每行有10个整数,请你求出它们的乘积的末尾有多少个零?
5650 4542 3554 473 946 4114 3871 9073 90 4329
2758 7949 6113 5659 5245 7432 3051 4434 6704 3594
9937 1173 6866 3397 4759 7557 3070 2287 1453 9899
1486 5722 3135 1170 4014 5510 5120 729 2880 9019
2049 698 4582 4346 4427 646 9742 7340 1230 7683
5693 7015 6887 7381 4172 4341 2909 2027 7355 5649
6701 6645 1671 5978 2704 9926 295 3125 3878 6785
2066 4247 4800 1578 6652 4616 1113 6205 3264 2915
3966 5291 2904 1285 2193 1428 2265 8730 9436 7074
689 5510 8243 6114 337 4096 8199 7313 3685 211注意:需要提交的是一个整数,表示末尾零的个数。不要填写任何多余内容。
结果:31
如果将最终的乘积分解因数,末尾的零只能由 2 x 5 产生。 而2的个数远远比5多,所以我们只要统计 含有因数 5 的个数就可以啦。


#include <bits/stdc++.h>
using namespace std;
#define REP(i,n) for(int i=0;i<n;i++)
#define FOR(i,a,b) for(int i=a;i<=b;i++)
#define DOWN(i,b,a) for(int i=b;i>=a;i--)
bool isLeap(int y){
return (y%400==0)||((y%100!=0)&&y%4==0);
}
#define LOCAL
int main(){
#ifdef LOCAL
freopen("input.txt","r",stdin);
//freopen("output.txt","w",stdout);
#endif // LOCAL
int x;
int cnt=0;
while(scanf("%d",&x)!=EOF){
while(x%5==0){
x/=5;
cnt++;
}
}
printf("%d",cnt);
return 0;
}
题目4
标题:第几个幸运数到x星球旅行的游客都被发给一个整数,作为游客编号。
x星的国王有个怪癖,他只喜欢数字3,5和7。
国王规定,游客的编号如果只含有因子:3,5,7,就可以获得一份奖品。我们来看前10个幸运数字是:
3 5 7 9 15 21 25 27 35 45
因而第11个幸运数字是:49小明领到了一个幸运数字 59084709587505,他去领奖的时候,人家要求他准确地说出这是第几个幸运数字,否则领不到奖品。
请你帮小明计算一下,59084709587505是第几个幸运数字。
需要提交的是一个整数,请不要填写任何多余内容。
结果:1905
遍历一遍,统计可能比这个数小的“幸运数字”数量即可。


#include <bits/stdc++.h>
using namespace std;
#define REP(i,n) for(int i=0;i<n;i++)
#define FOR(i,a,b) for(int i=a;i<=b;i++)
#define DOWN(i,b,a) for(int i=b;i>=a;i--)
#define ll long long
ll getNum(int a,int b,int c){
ll num=1;
REP(i,a)num*=3;
REP(i,b)num*=5;
REP(i,c)num*=7;
return num;
}
#define LOCAL
int main(){
#ifdef LOCAL
freopen("input.txt","r",stdin);
//freopen("output.txt","w",stdout);
#endif // LOCAL
ll x;
scanf("%lld",&x);
int a,b,c;
a=b=c=0;
while(x%3==0){
x/=3;
a++;
}
while(x%5==0){
x/=5;
b++;
}
while(x%7==0){
x/=7;
c++;
}
x=getNum(a,b,c);
int cnt=0;
REP(i,a+2*(b+c)){
REP(j,a+b+2*c){
REP(k,a+b+c){
ll tmp=getNum(i,j,k);
if(tmp>=3&&tmp<=x)
cnt++;
}
}
}
printf("%d",cnt);
return 0;
}
题目5
标题:打印图形如下的程序会在控制台绘制分形图(就是整体与局部自相似的图形)。
当n=1,2,3的时候,输出如下:
请仔细分析程序,并填写划线部分缺少的代码。n=1时:
o
ooo
on=2时:
o
ooo
o
o o o
ooooooooo
o o o
o
ooo
on=3时:
o
ooo
o
o o o
ooooooooo
o o o
o
ooo
o
o o o
ooo ooo ooo
o o o
o o o o o o o o o
ooooooooooooooooooooooooooo
o o o o o o o o o
o o o
ooo ooo ooo
o o o
o
ooo
o
o o o
ooooooooo
o o o
o
ooo
o源程序:
#include <stdio.h>
#include <stdlib.h>void show(char* buf, int w){
int i,j;
for(i=0; i<w; i++){
for(j=0; j<w; j++){
printf("%c", buf[i*w+j]==0? ' ' : 'o');
}
printf("\n");
}
}void draw(char* buf, int w, int x, int y, int size){
if(size==1){
buf[y*w+x] = 1;
return;
}
int n = _________________________ ; //填空
draw(buf, w, x, y, n);
draw(buf, w, x-n, y ,n);
draw(buf, w, x+n, y ,n);
draw(buf, w, x, y-n ,n);
draw(buf, w, x, y+n ,n);
}int main()
{
int N = 3;
int t = 1;
int i;
for(i=0; i<N; i++) t *= 3;
char* buf = (char*)malloc(t*t);
for(i=0; i<t*t; i++) buf[i] = 0;
draw(buf, t, t/2, t/2, t);
show(buf, t);
free(buf);
return 0;
}
注意:只提交划线部分缺少的代码,不要抄写任何已经存在的代码或符号。
结果:size/3
题目6
标题:航班时间【问题背景】
小h前往美国参加了蓝桥杯国际赛。小h的女朋友发现小h上午十点出发,上午十二点到达美国,于是感叹到“现在飞机飞得真快,两小时就能到美国了”。小h对超音速飞行感到十分恐惧。仔细观察后发现飞机的起降时间都是当地时间。由于北京和美国东部有12小时时差,故飞机总共需要14小时的飞行时间。
不久后小h的女朋友去中东交换。小h并不知道中东与北京的时差。但是小h得到了女朋友来回航班的起降时间。小h想知道女朋友的航班飞行时间是多少。
【问题描述】
对于一个可能跨时区的航班,给定来回程的起降时间。假设飞机来回飞行时间相同,求飞机的飞行时间。【输入格式】
从标准输入读入数据。
一个输入包含多组数据。输入第一行为一个正整数T,表示输入数据组数。
每组数据包含两行,第一行为去程的 起降 时间,第二行为回程的 起降 时间。
起降时间的格式如下h1:m1:s1 h2:m2:s2
或
h1:m1:s1 h3:m3:s3 (+1)
或
h1:m1:s1 h4:m4:s4 (+2)
表示该航班在当地时间h1时m1分s1秒起飞,第一种格式表示在当地时间 当日 h2时m2分s2秒降落
第二种格式表示在当地时间 次日 h3时m3分s3秒降落。
第三种格式表示在当地时间 第三天 h4时m4分s4秒降落。对于此题目中的所有以 h:m:s 形式给出的时间, 保证 ( 0<=h<=23, 0<=m,s<=59 ).
【输出格式】
输出到标准输出。对于每一组数据输出一行一个时间hh:mm:ss,表示飞行时间为hh小时mm分ss秒。
注意,当时间为一位数时,要补齐前导零。如三小时四分五秒应写为03:04:05。【样例输入】
3
17:48:19 21:57:24
11:05:18 15:14:23
17:21:07 00:31:46 (+1)
23:02:41 16:13:20 (+1)
10:19:19 20:41:24
22:19:04 16:41:09 (+1)【样例输出】
04:09:05
12:10:39
14:22:05【限制与约定】
保证输入时间合法,飞行时间不超过24小时。
资源约定:
峰值内存消耗(含虚拟机) < 256M
CPU消耗 < 1000ms
请严格按要求输出,不要画蛇添足地打印类似:“请您输入...” 的多余内容。注意:
main函数需要返回0;
只使用ANSI C/ANSI C++ 标准;
不要调用依赖于编译环境或操作系统的特殊函数。
所有依赖的函数必须明确地在源文件中 #include <xxx>
不能通过工程设置而省略常用头文件。提交程序时,注意选择所期望的语言类型和编译器类型。
题目7
标题:三体攻击【题目描述】
三体人将对地球发起攻击。为了抵御攻击,地球人派出了 A × B × C 艘战舰,在太空中排成一个 A 层 B 行 C 列的立方体。其中,第 i 层第 j 行第 k 列的战舰(记为战舰 (i, j, k))的生命值为 d(i, j, k)。三体人将会对地球发起 m 轮“立方体攻击”,每次攻击会对一个小立方体中的所有战舰都造成相同的伤害。具体地,第 t 轮攻击用 7 个参数 lat, rat, lbt, rbt, lct, rct, ht 描述;
所有满足 i ∈ [lat, rat],j ∈ [lbt, rbt],k ∈ [lct, rct] 的战舰 (i, j, k) 会受到 ht 的伤害。如果一个战舰累计受到的总伤害超过其防御力,那么这个战舰会爆炸。地球指挥官希望你能告诉他,第一艘爆炸的战舰是在哪一轮攻击后爆炸的。
【输入格式】
从标准输入读入数据。第一行包括 4 个正整数 A, B, C, m;
第二行包含 A × B × C 个整数,其中第 ((i − 1)×B + (j − 1)) × C + (k − 1)+1 个数为 d(i, j, k);
第 3 到第 m + 2 行中,第 (t − 2) 行包含 7 个正整数 lat, rat, lbt, rbt, lct, rct, ht。【输出格式】
输出到标准输出。输出第一个爆炸的战舰是在哪一轮攻击后爆炸的。保证一定存在这样的战舰。
【样例输入】
2 2 2 3
1 1 1 1 1 1 1 1
1 2 1 2 1 1 1
1 1 1 2 1 2 1
1 1 1 1 1 1 2【样例输出】
2【样例解释】
在第 2 轮攻击后,战舰 (1,1,1) 总共受到了 2 点伤害,超出其防御力导致爆炸。【数据约定】
对于 10% 的数据,B = C = 1;
对于 20% 的数据,C = 1;
对于 40% 的数据,A × B × C, m ≤ 10, 000;
对于 70% 的数据,A, B, C ≤ 200;
对于所有数据,A × B × C ≤ 10^6, m ≤ 10^6, 0 ≤ d(i, j, k), ht ≤ 10^9。
资源约定:
峰值内存消耗(含虚拟机) < 256M
CPU消耗 < 2000ms
请严格按要求输出,不要画蛇添足地打印类似:“请您输入...” 的多余内容。注意:
main函数需要返回0;
只使用ANSI C/ANSI C++ 标准;
不要调用依赖于编译环境或操作系统的特殊函数。
所有依赖的函数必须明确地在源文件中 #include <xxx>
不能通过工程设置而省略常用头文件。提交程序时,注意选择所期望的语言类型和编译器类型。
题目8
标题:全球变暖
【题目描述】
你有一张某海域NxN像素的照片,"."表示海洋、"#"表示陆地,如下所示:.......
.##....
.##....
....##.
..####.
...###.
.......其中"上下左右"四个方向上连在一起的一片陆地组成一座岛屿。例如上图就有2座岛屿。
由于全球变暖导致了海面上升,科学家预测未来几十年,岛屿边缘一个像素的范围会被海水淹没。具体来说如果一块陆地像素与海洋相邻(上下左右四个相邻像素中有海洋),它就会被淹没。
例如上图中的海域未来会变成如下样子:
.......
.......
.......
.......
....#..
.......
.......请你计算:依照科学家的预测,照片中有多少岛屿会被完全淹没。
【输入格式】
第一行包含一个整数N。 (1 <= N <= 1000)
以下N行N列代表一张海域照片。照片保证第1行、第1列、第N行、第N列的像素都是海洋。
【输出格式】
一个整数表示答案。【样例输入】
7
.......
.##....
.##....
....##.
..####.
...###.
.......【样例输出】
1
资源约定:
峰值内存消耗(含虚拟机) < 256M
CPU消耗 < 1000ms
请严格按要求输出,不要画蛇添足地打印类似:“请您输入...” 的多余内容。注意:
main函数需要返回0;
只使用ANSI C/ANSI C++ 标准;
不要调用依赖于编译环境或操作系统的特殊函数。
所有依赖的函数必须明确地在源文件中 #include <xxx>
不能通过工程设置而省略常用头文件。提交程序时,注意选择所期望的语言类型和编译器类型。
题目9
标题:倍数问题【题目描述】
众所周知,小葱同学擅长计算,尤其擅长计算一个数是否是另外一个数的倍数。但小葱只擅长两个数的情况,当有很多个数之后就会比较苦恼。现在小葱给了你 n 个数,希望你从这 n 个数中找到三个数,使得这三个数的和是 K 的倍数,且这个和最大。数据保证一定有解。【输入格式】
从标准输入读入数据。第一行包括 2 个正整数 n, K。
第二行 n 个正整数,代表给定的 n 个数。【输出格式】
输出到标准输出。
输出一行一个整数代表所求的和。【样例入】
4 3
1 2 3 4【样例输出】
9【样例解释】
选择2、3、4。【数据约定】
对于 30% 的数据,n <= 100。
对于 60% 的数据,n <= 1000。
对于另外 20% 的数据,K <= 10。
对于 100% 的数据,1 <= n <= 10^5, 1 <= K <= 10^3,给定的 n 个数均不超过 10^8。
资源约定:
峰值内存消耗(含虚拟机) < 256M
CPU消耗 < 1000ms
请严格按要求输出,不要画蛇添足地打印类似:“请您输入...” 的多余内容。注意:
main函数需要返回0;
只使用ANSI C/ANSI C++ 标准;
不要调用依赖于编译环境或操作系统的特殊函数。
所有依赖的函数必须明确地在源文件中 #include <xxx>
不能通过工程设置而省略常用头文件。提交程序时,注意选择所期望的语言类型和编译器类型。
题目10
标题:付账问题【题目描述】
几个人一起出去吃饭是常有的事。但在结帐的时候,常常会出现一些争执。现在有 n 个人出去吃饭,他们总共消费了 S 元。其中第 i 个人带了 ai 元。幸运的是,所有人带的钱的总数是足够付账的,但现在问题来了:每个人分别要出多少钱呢?
为了公平起见,我们希望在总付钱量恰好为 S 的前提下,最后每个人付的钱的标准差最小。这里我们约定,每个人支付的钱数可以是任意非负实数,即可以不是1分钱的整数倍。你需要输出最小的标准差是多少。
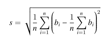
标准差的介绍:标准差是多个数与它们平均数差值的平方平均数,一般用于刻画这些数之间的“偏差有多大”。形式化地说,设第 i 个人付的钱为 bi 元,那么标准差为 : [参见p1.png]
【输入格式】
从标准输入读入数据。第一行包含两个整数 n、S;
第二行包含 n 个非负整数 a1, ..., an。【输出格式】
输出到标准输出。输出最小的标准差,四舍五入保留 4 位小数。
保证正确答案在加上或减去 10^−9 后不会导致四舍五入的结果发生变化。【样例1输入】
5 2333
666 666 666 666 666【样例输出】
0.0000【样例解释】
每个人都出 2333/5 元,标准差为 0。再比如:
【样例输入】
10 30
2 1 4 7 4 8 3 6 4 7【样例输出】
0.7928【数据说明】
对于 10% 的数据,所有 ai 相等;
对于 30% 的数据,所有非 0 的 ai 相等;
对于 60% 的数据,n ≤ 1000;
对于 80% 的数据,n ≤ 10^5;
对于所有数据,n ≤ 5 × 10^5, 0 ≤ ai ≤ 10^9。
资源约定:
峰值内存消耗(含虚拟机) < 256M
CPU消耗 < 1000ms
请严格按要求输出,不要画蛇添足地打印类似:“请您输入...” 的多余内容。注意:
main函数需要返回0;
只使用ANSI C/ANSI C++ 标准;
不要调用依赖于编译环境或操作系统的特殊函数。
所有依赖的函数必须明确地在源文件中 #include <xxx>
不能通过工程设置而省略常用头文件。提交程序时,注意选择所期望的语言类型和编译器类型。
递归实现了一个... 精度可能会存在问题。据说可以直接贪心,更简单。


#include <bits/stdc++.h>
using namespace std;
#define REP(i,n) for(int i=0;i<n;i++)
#define FOR(i,a,b) for(int i=a;i<=b;i++)
#define DOWN(i,b,a) for(int i=b;i>=a;i--)
const int maxn = 5e5+10;
int N,S;
int a[maxn];
double QAQ(int *a,int n,double remain,double AVG){
double avg=remain/(double)n;
double sqr_sum=0;
REP(i,n){
if(a[i]<avg){
sqr_sum+=(a[i]-AVG)*(a[i]-AVG);
remain-=a[i];
}else{
if(i==0){
REP(j,n){
sqr_sum+=(avg-AVG)*(avg-AVG);
remain-=avg;
}
break;
}
else sqr_sum+=QAQ(a+i,n-i,remain,AVG);//
break;
}
}
return sqr_sum;
}
void TAT(){
REP(i,N){
scanf("%d",&a[i]);
}
sort(a,a+N);
printf("%f\n",sqrt(QAQ(a,N,S,(double)S/(double)N)/N));
}
#define LOCAL
int main(){
#ifdef LOCAL
freopen("input.txt","r",stdin);
//freopen("output.txt","w",stdout);
#endif // LOCAL
while(scanf("%d %d",&N,&S)!=EOF){
TAT();
}
return 0;
}
来源:oschina
链接:https://my.oschina.net/u/4304641/blog/4024335

