1.概念陈述
成法,即为已经存在的方法,他是经过时间的洗礼、先哲们千锤百炼而流传下来的具有解决已知问题成效的方法.
改法,即为在已经存在的方法之上加以修改,使之成为具备解决普遍问题的方法,此即为改法.
新法,即具备解决未知问题的方法.
开法,即具备解决未知的一类问题的一般方法.
2.例子
lim(x->0)(x^2*e^(1/x^2))
=lim(x->0) e^(1/x^2)/(1/x^2)
=lim(t->∞) e^t/t
=lim(t->∞) e^t
=∞
洛必达法则,结果为∞,此处,洛必达法则即为成法.
接下来,谈改法
例如,完全有理三角和为如下形式的和:
S(ψ,q)=∑eq(ψ(x)),x∈(1,q),x∈N+.
其中,ψ(x)是整系数的多项式,许多作者得到了关于S(ψ,q)的估计的结果,在此基础之上,我们可以改进该方法,形式如下:
S(R,q)=∑eq(R(x)),x∈(1,q),x∈N+.
其中,R(x)是有理函数,于是,得到了关于S(R,q)的上界的一些新结果.
接下来,谈新法
分数阶积分估计不等式
假设

那么

其中

此即为新法.
接下来,谈开法
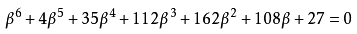
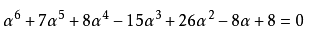
举例来说,设y为方程y+y+6=0的根,则扩域中的整数环为,即所有a+by形式的数,其中,a和b为一般的整数,环中一个非主理想的例子是,但这个理想的立方为主理想,实际上,这个环的理想类群是一个3阶的循环群,与此对应的类域是添加方程w−w−1=0的根w,从而获得的扩域:非主理想2a+yb的一个理想数是ι =(−8−16y−18w+12w+10yw+yw)/23,由于,满足ι−2ι+13ι−15ι+16ι+28ι+8=0,它是一个代数整数,类域的整数环中的所有乘以ι会得到中元素的元素都具有aα+bβ的形式,其中:
α=(−7+9y−33w−24w+3yw−2yw)/23,β=(−27−8y−9w+6w−18yw−11yw)/23.
α和β也是代数整数,满足:
和
同时,将aα+bβ乘以理想数ι后就会得到非主理想2a+by.
此即为开法.
3.小结
在关于方法理论问题的研究中,如果,在前人的基础之上,能够改进前人的方法(哪怕一点点),那么,你就步入科研之路了.
来源:oschina
链接:https://my.oschina.net/u/4385489/blog/4033986