文章来自Microstrong的知乎专栏,仅做搬运。原文链接
1. 权重衰减(weight decay)
L2正则化的目的就是为了让权重衰减到更小的值,在一定程度上减少模型过拟合的问题,所以权重衰减也叫L2正则化。
1.1 L2正则化与权重衰减系数
L2正则化就是在代价函数后面再加上一个正则化项:

其中
代表原始的代价函数,后面那一项就是L2正则化项,它是这样来的:所有参数w的平方的和,除以训练集的样本大小n。λ就是正则项系数,权衡正则项与
项的比重。另外还有一个系数
,
经常会看到,主要是为了后面求导的结果方便,后面那一项求导会产生一个2,与
相乘刚好凑整为1。系数
就是权重衰减系数。
1.2 为什么可以对权重进行衰减
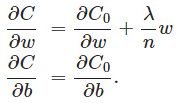
我们对加入L2正则化后的代价函数进行推导,先求导:

可以发现L2正则化项对b的更新没有影响,但是对于w的更新有影响:

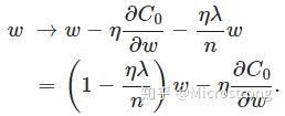
在不使用L2正则化时,求导结果中w前系数为1,现在w前面系数为
,因为η、λ、n都是正的,所以
小于1,它的效果是减小w,这也就是权重衰减(weight decay)的由来。当然考虑到后面的导数项,w最终的值可能增大也可能减小。
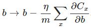
另外,需要提一下,对于基于mini-batch的随机梯度下降,w和b更新的公式跟上面给出的有点不同:


对比上面w的更新公式,可以发现后面那一项变了,变成所有导数加和,乘以η再除以m,m是一个mini-batch中样本的个数。
1.3 权重衰减(L2正则化)的作用
作用:权重衰减(L2正则化)可以避免模型过拟合问题。
思考:L2正则化项有让w变小的效果,但是为什么w变小可以防止过拟合呢?
原理:(1)从模型的复杂度上解释:更小的权值w,从某种意义上说,表示网络的复杂度更低,对数据的拟合更好(这个法则也叫做奥卡姆剃刀),而在实际应用中,也验证了这一点,L2正则化的效果往往好于未经正则化的效果。(2)从数学方面的解释:过拟合的时候,拟合函数的系数往往非常大,为什么?如下图所示,过拟合,就是拟合函数需要顾忌每一个点,最终形成的拟合函数波动很大。在某些很小的区间里,函数值的变化很剧烈。这就意味着函数在某些小区间里的导数值(绝对值)非常大,由于自变量值可大可小,所以只有系数足够大,才能保证导数值很大。而正则化是通过约束参数的范数使其不要太大,所以可以在一定程度上减少过拟合情况。

内容来自:正则化方法:L1和L2 regularization、数据集扩增、dropout
2. 学习率衰减(learning rate decay)
在训练模型的时候,通常会遇到这种情况:我们平衡模型的训练速度和损失(loss)后选择了相对合适的学习率(learning rate),但是训练集的损失下降到一定的程度后就不在下降了,比如training loss一直在0.7和0.9之间来回震荡,不能进一步下降。如下图所示:

遇到这种情况通常可以通过适当降低学习率(learning rate)来实现。但是,降低学习率又会延长训练所需的时间。
学习率衰减(learning rate decay)就是一种可以平衡这两者之间矛盾的解决方案。学习率衰减的基本思想是:学习率随着训练的进行逐渐衰减。
学习率衰减基本有两种实现方法:
- 线性衰减。例如:每过5个epochs学习率减半。
- 指数衰减。例如:随着迭代轮数的增加学习率自动发生衰减,每过5个epochs将学习率乘以0.9998。具体算法如下:
decayed_learning_rate=learning_rate*decay_rate^(global_step/decay_steps)
其中decayed_learning_rate为每一轮优化时使用的学习率,learning_rate为事先设定的初始学习率,decay_rate为衰减系数,decay_steps为衰减速度。
Reference:
(1)学习率衰减部分内容和图片来自: 学习率衰减(learning rate decay)
来源:oschina
链接:https://my.oschina.net/u/4414351/blog/3639141