1.编写程序:从键盘上接受一个字母,若是大写字母按原样输出,若是小写字母则将 其转化为大写字母输出
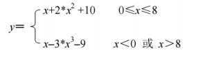
2.if 语句编程序求解下列式子,输入 x 后按下式计算 y 值并输出。

3. 用 if…else 语句编程实现:输入一个学生成绩(百分制),对成绩进行等级划分: 当成绩大于等于 90 分时输出“优秀”;当成绩大于等于 80 分且小于 90 分时输出“良 好”;当成绩大于等于 70 分且小于 80 分时输出“中等”;当成绩大于等于 60 分且小于 70 分时输出“及格”;当成绩小于 60 分时为“不及格”。
4.编写程序,计算数学表达式 e x + cos x 的值。编程要求如下:(1)x 的值从键盘输人。 (2)分别计算表达式 sinx.ln(x+1).ex.|cosx|的值,然后计算整个表达式的值。 (3)对被调用的标准库函数,必须加注释说明其功能5.编写一个程序,确定一个数的位数:6.编写一个程序,要求用户输入 24 小时制的时间,然后显示 12 小时制的格式7. (1)当股票经纪人进行买卖时,经纪人的佣金往往根据股票交易额采用某种变化的比 例进行计算。下面的表格显示了实际支付给经纪人的费用数量最低收费是 39 美元。程序要求用户录入交易额,然后显示佣金的数额8.下面是用于测量风力和蒲福风力等级的简化版本编写一个程序,要求用户输入风速(海里/每小时),然后显示相应的描述9.在美国的某个州单身居民需要担负下面表格列出的所得税编写一个程序,要求用户输入需纳税的收入,然后显示税金10.编写一个程序,从用户输入的 4 个整数中找到最大值和最小值11.下面表格给出了一个城市到另一个城市的每日航班信息编写一个程序,要求用户输入一个时间(用 24 小时制的时分表示)。程序选择起飞时(提示:把输入用从午夜开始的分钟数表示。将这个时间与表格里也用从午夜开始的 分钟数表示的起飞时间相比。例如,13 点 15 分从午夜开始是 13*60+15=795 分钟,与下午 12 点 47 分从午夜开始是 767 分钟最接近)12.编写一个程序,提示用户输入两个日期,然后显示哪一个日期更早 间与用户输入最接近的航班显示出相应的起飞时间和抵达时间13.利用 switch 语句编写一个程序,把用数字表示的成绩转化为字母表示的等级使用下面的等级评定规则:A 为 90-100,B 为 80-89,C 为 70 至 79,D 为 60 之 69,F 为 0 至 59。如果成绩高于 100 或低于 0 显示出错信息。提示:把成绩拆分为 2 个数字,然 后使用 switch 语句判定十位上的数字14.编写写一个程序,要求用户输入一个两位数,然后显示该数的英文单词: Enter a two-digit提示:把数分解为 2 个数字。用一个 switch 语句显示第一位数字对应的单词 (“twenty”、”thirty”等),用第 2 个 switch 语句显示第 2 位数字对应的单词。不要忘记 11-19 需要特殊处理。来源:oschina
链接:https://my.oschina.net/u/4741326/blog/4873995