一、垃圾回收机制
Python中的垃圾回收是以引用计数为主,分代收集为辅。引用计数的缺陷是循环引用的问题。
-
Python语言默认采用的垃圾收集机制是『引用计数法
Reference Counting』,该算法最早George E. Collins在1960的时候首次提出,50年后的今天,该算法依然被很多编程语言使用。 -
『引用计数法』的原理是:每个对象维护一个
ob_ref字段,用来记录该对象当前被引用的次数,每当新的引用指向该对象时,它的引用计数ob_ref加1,每当该对象的引用失效时计数ob_ref减1,一旦对象的引用计数为0,该对象立即被回收,对象占用的内存空间将被释放。 -
它的缺点是需要额外的空间维护引用计数,这个问题是其次的,不过最主要的问题是它不能解决对象的“循环引用”,因此,也有很多语言比如Java并没有采用该算法做来垃圾的收集机制。
在Python中,如果一个对象的引用数为0,Python虚拟机就会回收这个对象的内存。
引用计数案例(1)
class ClassA():
def __init__(self):
print('object born,id:%s' % str(hex(id(self))))
def __del__(self):
print('object del,id:%s' % str(hex(id(self))))
def f1():
c1 = ClassA()
del c1
f1()
执行f1()会循环输出这样的结果,而且进程占用的内存基本不会变动
object born,id:0x18f89b9b320
object del,id:0x18f89b9b320
c1=ClassA()会创建一个对象,放在0x1fa8a63d1d0内存中,c1变量指向这个内存,这时候这个内存的引用计数是1 del c1后,c1变量不再指向0x1fa8a63d1d0内存,所以这块内存的引用计数减一,等于0,所以就销毁了这个对象,然后释放内存。
引用计数案例(2)
import sys
class A():
def __init__(self):
'''初始化对象'''
print('object born id:%s' %str(hex(id(self))))
def f1():
'''循环引用变量与删除变量'''
while True:
c1=A()
del c1
def func(c):
print('obejct refcount is: ',sys.getrefcount(c)) #getrefcount()方法用于返回对象的引用计数
if __name__ == '__main__':
#生成对象
a=A()
func(a)
#增加引用
b=a
func(a)
#销毁引用对象b
del b
func(a)
执行结果:
object born id:0x19f5ebad1d0
obejct refcount is: 4
obejct refcount is: 5
obejct refcount is: 4
-
导致引用计数+1的情况
-
对象被创建,例如
a=23 -
对象被引用,例如
b=a -
对象被作为参数,传入到一个函数中,例如
func(a) -
对象作为一个元素,存储在容器中,例如
list1=[a,a]
-
-
导致引用计数-1的情况
-
对象的别名被显式销毁,例如
del a -
对象的别名被赋予新的对象,例如
a=24 -
一个对象离开它的作用域,例如f函数执行完毕时,func函数中的局部变量(全局变量不会)
-
对象所在的容器被销毁,或从容器中删除对象
def func(c,d): print 'in func function', sys.getrefcount(c) - 1 print 'init', sys.getrefcount(11) - 1 a = 11 print 'after a=11', sys.getrefcount(11) - 1 b = a print 'after b=1', sys.getrefcount(11) - 1 func(11) print 'after func(a)', sys.getrefcount(11) - 1 list1 = [a, 12, 14] print 'after list1=[a,12,14]', sys.getrefcount(11) - 1 a=12 print 'after a=12', sys.getrefcount(11) - 1 del a print 'after del a', sys.getrefcount(11) - 1 del b print 'after del b', sys.getrefcount(11) - 1 # list1.pop(0) # print 'after pop list1',sys.getrefcount(11)-1 del list1 print 'after del list1', sys.getrefcount(11) - 1输出:
init 24 after a=11 25 after b=1 26 in func function 28 after func(a) 26 after list1=[a,12,14] 27 after a=12 26 after del a 26 after del b 25 after del list1 24问题:为什么调用函数会令引用计数+2
-
-
查看一个对象的引用计数
sys.getrefcount(a)可以查看a对象的引用计数,但是比正常计数大1,因为调用函数的时候传入a,这会让a的引用计数+1
二、循环引用导致内存泄露
# 接上案例(1)
def f2():
while True:
c1=ClassA()
c2=ClassA()
c1.t=c2
c2.t=c1
del c1
del c2
执行f2(),进程占用的内存会不断增大。
object born,id:0x1fa8a63d160
object born,id:0x1fa8a63d1d0
object del,id:0x1fa8a63d160
object del,id:0x1fa8a63d1d0
创建了c1,c2后,0x1fa8a63d160(c1对应的内存,记为内存1),0x1fa8a63d1d0(c2对应的内存,记为内存2)这两块内存的引用计数都是1,执行c1.t=c2和c2.t=c1后,这两块内存的引用计数变成2. 在del c1后,内存1的对象的引用计数变为1,由于不是为0,所以内存1的对象不会被销毁,所以内存2的对象的引用数依然是2,在del c2后,同理,内存1的对象,内存2的对象的引用数都是1。 虽然它们两个的对象都是可以被销毁的,但是由于循环引用,导致垃圾回收器都不会回收它们,所以就会导致内存泄露。
三、垃圾回收
def f3():
c1 = ClassA()
c2 = ClassA()
c1.t = c2
c2.t = c1
del c1
del c2
# 增加垃圾回收机制
print(gc.garbage)
print(gc.collect) # 显式执行垃圾回收
print(gc.garbage)
print(gc.collect())
time.sleep(10)
if __name__ == '__main__':
gc.set_debug(gc.DEBUG_LEAK) # 设置gc模块的日志
f3()
输出:
object born,id:0x182a607d208
object born,id:0x182a608d160
[]
<built-in function collect>
[]
gc: collectable <ClassA 0x00000182A607D208>
gc: collectable <ClassA 0x00000182A608D160>
gc: collectable <dict 0x00000182A5E04D38>
gc: collectable <dict 0x00000182A60739D8>
object del,id:0x182a607d208
object del,id:0x182a608d160
4
-
垃圾回收后的对象会放在gc.garbage列表里面
-
gc.collect()会返回不可达的对象数目,4等于两个对象以及它们对应的dict -
有三种情况会触发垃圾回收: 1.调用
gc.collect(), 2.当gc模块的计数器达到阀值的时候。 3.程序退出的时候
四、gc模块常用功能解析
Garbage Collector interface gc模块提供一个接口给开发者设置垃圾回收的选项。上面说到,采用引用计数的方法管理内存的一个缺陷是循环引用,而gc模块的一个主要功能就是解决循环引用的问题。
常用函数:
-
gc.set_debug(flags) 设置gc的debug日志,一般设置为gc.DEBUG_LEAK
-
gc.collect([generation]) 显式进行垃圾回收,可以输入参数,0代表只检查第一代的对象,1代表检查一,二代的对象,2代表检查一,二,三代的对象,如果不传参数,执行一个full collection,也就是等于传2。 返回不可达(unreachable objects)对象的数目
-
gc.set_threshold(threshold0[, threshold1[, threshold2]) 设置自动执行垃圾回收的频率。
-
gc.get_count() 获取当前自动执行垃圾回收的计数器,返回一个长度为3的列表
gc模块的自动垃圾回收机制
必须要import gc模块,并且is_enable()=True才会启动自动垃圾回收。 这个机制的主要作用就是发现并处理不可达的垃圾对象。
垃圾回收=垃圾检查+垃圾回收
在Python中,采用分代收集的方法。把对象分为三代,一开始,对象在创建的时候,放在一代中,如果在一次一代的垃圾检查中,改对象存活下来,就会被放到二代中,同理在一次二代的垃圾检查中,该对象存活下来,就会被放到三代中。
gc模块里面会有一个长度为3的列表的计数器,可以通过gc.get_count()获取。 例如(488,3,0),其中488是指距离上一次一代垃圾检查,Python分配内存的数目减去释放内存的数目,注意是内存分配,而不是引用计数的增加。例如:
def f4():
'''垃圾自动回收'''
print(gc.get_count())
a=ClassA()
print(gc.get_count())
del a
print(gc.get_count())
执行结果
(129, 9, 6)
object born,id:0x1fc7332d198
(130, 9, 6)
object del,id:0x1fc7332d198
(129, 9, 6)
-
129指距离上一次一代垃圾检查,Python分配内存的数目减去释放内存的数目,注意:是内存分配,而不是引用计数的增加。 -
9指距离上一次二代垃圾检查,一代垃圾检查的次数。 -
6是指距离上一次三代垃圾检查,二代垃圾检查的次数。
自动回收阈值
gc模快有一个自动垃圾回收的阀值,即通过gc.get_threshold函数获取到的长度为3的元组,例如(700,10,10) 每一次计数器的增加,gc模块就会检查增加后的计数是否达到阀值的数目,如果是,就会执行对应的代数的垃圾检查,然后重置计数器 例如,假设阀值是(700,10,10):
-
当计数器从
(699,3,0)增加到(700,3,0),gc模块就会执行gc.collect(0),即检查一代对象的垃圾,并重置计数器为(0,4,0) -
当计数器从
(699,9,0)增加到(700,9,0),gc模块就会执行gc.collect(1),即检查一、二代对象的垃圾,并重置计数器为(0,0,1) -
当计数器从
(699,9,9)增加到(700,9,9),gc模块就会执行gc.collect(2),即检查一、二、三代对象的垃圾,并重置计数器为(0,0,0)
其他
-
如果循环引用中,两个对象都定义了
__del__方法,gc模块不会销毁这些不可达对象,因为gc模块不知道应该先调用哪个对象的__del__方法,所以为了安全起见,gc模块会把对象放到gc.garbage中,但是不会销毁对象。
五、应用
-
项目中避免循环引用
-
引入gc模块,启动gc模块的自动清理循环引用的对象机制
-
由于分代收集,所以把需要长期使用的变量集中管理,并尽快移到二代以后,减少GC检查时的消耗
-
gc模块唯一处理不了的是循环引用的类都有
__del__方法,所以项目中要避免定义`del方法,如果一定要使用该方法,同时导致了循环引用,需要代码显式调用gc.garbage里面的对象的del__`来打破僵局
六、标记清除
标记清除(Mark—Sweep)』算法是一种基于追踪回收(tracing GC)技术实现的垃圾回收算法。它分为两个阶段:第一阶段是标记阶段,GC会把所有的『活动对象』打上标记,第二阶段是把那些没有标记的对象『非活动对象』进行回收。那么GC又是如何判断哪些是活动对象哪些是非活动对象的呢?

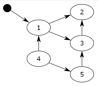
对象之间通过引用(指针)连在一起,构成一个有向图,对象构成这个有向图的节点,而引用关系构成这个有向图的边。从根对象(root object)出发,沿着有向边遍历对象,可达的(reachable)对象标记为活动对象,不可达的对象就是要被清除的非活动对象。根对象就是全局变量、调用栈、寄存器。 mark-sweepg 在上图中,我们把小黑圈视为全局变量,也就是把它作为root object,从小黑圈出发,对象1可直达,那么它将被标记,对象2、3可间接到达也会被标记,而4和5不可达,那么1、2、3就是活动对象,4和5是非活动对象会被GC回收。
标记清除算法作为Python的辅助垃圾收集技术主要处理的是一些容器对象,比如list、dict、tuple,instance等,因为对于字符串、数值对象是不可能造成循环引用问题。Python使用一个双向链表将这些容器对象组织起来。不过,这种简单粗暴的标记清除算法也有明显的缺点:清除非活动的对象前它必须顺序扫描整个堆内存,哪怕只剩下小部分活动对象也要扫描所有对象。
来源:oschina
链接:https://my.oschina.net/u/4311024/blog/3643077