目录
前言
根据公司要求,搭建个前后端分离的权限系统,根据目前技术技术水平,采用以下技术栈开发,以此写一份博客记录下构架的系统框架,同时希望能帮助因搭建系统架构不怎么会的小伙伴们,废话不多说,直接列出技术栈:
前端项目: Vue2.x+element全家桶+webpack+node+vue-admin ,开发工具:HBuilderx
后端项目 :Springboot2.x+shiro+mybatis-plus+mysql, 开发工具:IDEA

一、后端项目
1、系统架构设计
采用主流分层多模块开发,如下图所示


2、技术细节
1)、构建模块分层
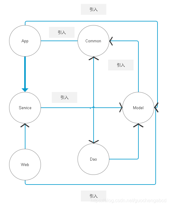
App(app请求接口全部在这里),Web(web请求接口全部在这里)、Dao(数据层)、Model(抽象数据层)、Service(业务层)、Common(所有通用工具在这里,任何模块接口访问)
2)、模块之间引用
如下图所示:

3)、mybatis-plus配置和引入
Model模块引入maven,然后再web模块resources资源文件下的application.yml文件
spring:
# 环境 dev:开发环境|test:测试环境|prod:生产环境
profiles:
active: dev #激活的配置文件
mybatis-plus:
global-config:
db-config:
id-type: auto
field-strategy: not_empty
table-underline: true
db-type: mysql
logic-delete-value: 1 # 逻辑已删除值(默认为 1)
logic-not-delete-value: 0 # 逻辑未删除值(默认为 0)
mapper-locations: classpath*:mapper/*Mapper.xml
#实体扫描,多个package用逗号或者分号分隔
typeAliasesPackage: com.xxhj.dao
server:
port: 8798
然后在生产环境和开发环境配置如下
spring:
datasource:
url: jdbc:mysql://103.205.39.182:3306/xxhjj_new?useUnicode=true&characterEncoding=UTF-8&allowMultiQueries=true&serverTimezone=Asia/Shanghai
username: root
password: xiaoxi()2109
Model模块pom文件配置如下
<dependency>
<groupId>com.baomidou</groupId>
<artifactId>mybatis-plus-boot-starter</artifactId>
<version>3.0.7.1</version>
</dependency>
<dependency>
<groupId>com.baomidou</groupId>
<artifactId>mybatis-plus-generator</artifactId>
<version>3.0.7</version>
</dependency>
<dependency>
<groupId>mysql</groupId>
<artifactId>mysql-connector-java</artifactId>
<version>8.0.11</version>
</dependency>
<!-- beetl 模板引擎 -->
<dependency>
<groupId>com.ibeetl</groupId>
<artifactId>beetl</artifactId>
<version>2.9.8</version>
</dependency>
4)、mybatis-plus分页插件
@EnableTransactionManagement
@Configuration
@MapperScan("com.xxhj.dao")
public class MybatisPlusConfig {
private final static Logger logger = LoggerFactory.getLogger(MybatisPlusConfig.class);
/**
* @description: 配置分页插件
*
* @author: gradual
* @date: 2019/1/15 10:17
* @param: []
* @return: com.baomidou.mybatisplus.extension.plugins.PaginationInterceptor
*/
@Bean
public PaginationInterceptor paginationInterceptor() {
logger.debug("注册分页插件");
return new PaginationInterceptor();
}
/**
* @description: SQL执行效率插件
*
* @author: gradual
* @date: 20-12-229 下午8:59
* @param: []
* @return: com.baomidou.mybatisplus.extension.plugins.PerformanceInterceptor
*/
@Bean
@Profile({"test"})// 设置 dev test 环境开启
public PerformanceInterceptor performanceInterceptor() {
return new PerformanceInterceptor();
}
/**
* 逻辑删除用,3.1.1之后的版本可不需要配置该bean,但项目这里用的是3.1.0的
*
* @author Guo Cheng
*
* @return com.baomidou.mybatisplus.core.injector.ISqlInjector
*/
@Bean
public ISqlInjector sqlInjector() {
return new LogicSqlInjector();
}
}
5)、代码生成器,代码里有注释
/**
* MyBatis-plus 代码生成器
*/
@Configuration
public class CodeGenerator {
public static boolean isTable = false;//true指定表名,false查询所有表
// 数据库连接配置
private static final String DB_URL = "jdbc:mysql://103.205.39.182:3306/xxhjj_new";
private static final String DB_USERNAME = "root";
private static final String DB_PASSWORD = "xiaoxi()2109";
private static final String PACKAGE_NAME = "com.xxhj.dao";
public static void main(String[] args) {
System.out.println(System.getProperty("user.dir"));
generateByTables(false, PACKAGE_NAME);
}
public static void generateByTables(boolean serviceNameStartWithI, String packageName) {
AutoGenerator mpg = new AutoGenerator(); // 代码生成器
// 全局配置
GlobalConfig gc = new GlobalConfig();
String projectPath = System.getProperty("user.dir");
gc.setOutputDir(projectPath + "/Dao/src/main/java");
//gc.setOutputDir(OUTPUT_DIR); // 输出位置
gc.setFileOverride(false); // 覆盖文件
gc.setAuthor("");
gc.setOpen(true);
// service 命名方式
gc.setServiceName("%sService");
// service impl 命名方式
gc.setServiceImplName("%sServiceImpl");
// 自定义文件命名,注意 %s 会自动填充表实体属性!
gc.setMapperName("%sMapper");
gc.setXmlName("%sMapper");
gc.setFileOverride(true);
gc.setActiveRecord(true);
//不覆盖之前的代码
gc.setFileOverride(false);
// XML 二级缓存
gc.setEnableCache(false);
// XML ResultMap
gc.setBaseResultMap(true);
// XML columList
gc.setBaseColumnList(false);
mpg.setGlobalConfig(gc);
// 数据源配置
DataSourceConfig dsc = new DataSourceConfig();
dsc.setUrl(DB_URL);
dsc.setDriverName("com.mysql.cj.jdbc.Driver");
dsc.setUsername(DB_USERNAME);
dsc.setPassword(DB_PASSWORD);
mpg.setDataSource(dsc);
// 包配置
PackageConfig pc = new PackageConfig();
pc.setParent(packageName);
pc.setMapper("mapper");
pc.setXml("mapper/xml/");
pc.setController("controller");
pc.setEntity("model");
mpg.setPackageInfo(pc);
// 策略配置
StrategyConfig strategy = new StrategyConfig();
strategy.setCapitalMode(true); // 大写命名
strategy.setEntityLombokModel(false); // lombok模型
strategy.setColumnNaming(NamingStrategy.underline_to_camel); // 表名映射策略
strategy.setNaming(NamingStrategy.underline_to_camel); // 字段映射策略
//strategy.setTablePrefix(TB_PREFIX); // 表前缀
if (isTable)
strategy.setInclude(scanner("请输入表名,多个用英文逗号分割").split(","));
mpg.setStrategy(strategy);
// 模板引擎
mpg.setTemplateEngine(new BeetlTemplateEngine());
try {
mpg.execute();
} catch (Exception e) {
}
}
public static String scanner(String tip) {
Scanner scanner = new Scanner(System.in);
StringBuilder help = new StringBuilder();
help.append("请输入" + tip + ":");
System.out.println(help.toString());
if (scanner.hasNext()) {
String ipt = scanner.next();
if (StringUtils.isNotEmpty(ipt)) {
scanner.close();
return ipt;
}
}
throw new MybatisPlusException("请输入正确的" + tip + "!");
}
}
6)、shiro框架引入
在Common模块,引入shiro,如下图所示
<dependency>
<groupId>org.apache.shiro</groupId>
<artifactId>shiro-spring</artifactId>
<version>1.5.3</version>
</dependency>
在这里面,Web模块配置shiro,主要用到三个类,
AjaxPermissionsAuthorizationFilter(过滤器)、ShiroConfiguration(配置)、UserRealm(权限验证),在这里面建议小伙伴们先了解下2篇文章:(shiro注解权限控制、UserRealm类重写isPermitted)

二、前端项目
1、系统架构设计
安装vue-admin框架,element-ui,如下图所示


2、技术细节
时间有限,后续再更新
来源:oschina
链接:https://my.oschina.net/u/4344916/blog/4873675