MultiBox
算法背景
MultiBox之前所有的检测算法都是使用传统方法来提取候选框,而MultiBox则是使用了神经网络来提取候选框,并且MultiBox的loss函数很好的解决了定位和分类的loss分配问题,并且提出了prior的思想。
MultiBox结构
候选框生成
作者使用了两个alexnet来组成整个网络,其中一个alexnet用来做候选框的回归,另一个则负责分类。
下面来讲一下用来做候选框回归的alexnet。首先alex会生成k个框,原论文中k=100,其中每个框的格式为: 
其中x1,y1为左上角的点,x2,y2为右下角的点,c为置信度,取值范围为0到1,置信度为前景对背景的概率,作者在使用的时候,会将生成的k=100个框按置信度进行排序,只取前10个使用,如果想要速度更快可以使用nms进行筛选。
分类
作者使用1000万个iou>0.5的正样本和2000万个iou<0.2的负样本(背景)
损失函数
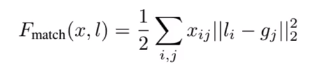
优化定位框:
Li是预测框,gj是真是框,Xij取值为0或者1,表示当前预测框是否命中待预测目标,并且Xij对i的求和必定为1,例如100个预测框只有一个框是匹配的,
优化置信度:
使用的为二值交叉熵损失函数
损失函数:
alpha的值作者在论文中取得是0.3,用来平衡置信度和边界框回归的值
来源:oschina
链接:https://my.oschina.net/u/4256309/blog/4816807