1.对数源于指数,是指数函数反函数
因为:y = ax
所以:x = logay
2. 对数的定义
【定义】如果 N=ax(a>0,a≠1),即a的x次方等于N(a>0,且a≠1),那么数x叫做以a为底N的对数(logarithm),记作:
其中,a叫做对数的底数,N叫做真数,x叫做 “以a为底N的对数”。
2.1对数的表示及性质:
1.以a为底N的对数记作:logaN
2.以10为底的常用对数:lgN = log10N
3.以无理数e(e=2.71828...)为底的自然对数记作:lnN = logeN
4.零没有对数.
5.在实数范围内,负数无对数。 [3]在虚数范围内,负数是有对数的。
-------------------------------------------------------------------------------------------------------------------------------------
注: 自然对数的底数 e :https://www.guokr.com/article/50264/
细胞分裂现象是不间断、连续的,每分每秒产生的新细胞,都会立即和母体一样继续分裂,一个单位时间(24小时)最多可以得到多少个细胞呢?答案是:

当增长率为100%保持不变时,在单位时间内细胞种群最多只能扩大2.71828倍。 数学家把这个数就称为e,它的含义是单位时间内,持续的翻倍增长所能达到的极限值。
-----------------------------------------------------------------------------------------------------------------------------------
3.对数函数
4.对数运算法则(rule of logarithmic operations)
对数运算法则,是一种特殊的运算方法。指 积、商、幂、方根 的对数的运算法则
由指数和对数的互相转化关系可得出:
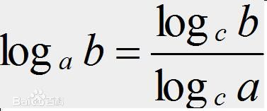
5.对数公式
5.1基本知识
①
;
5.2恒等式及证明

==================================================================











来源:oschina
链接:https://my.oschina.net/u/4323225/blog/3495865