
这是一篇研究在何种情况下成为Uniswap上某交易对的LP是有利可图的状态的文章。
问题有点拗口,打个比方,你有3个以太坊,同时也拥有等价值的USDT,那么是将这笔资金就这么放在钱包里面有更多的收益,还是投入到Uniswap上的ETH交易池中赚取更多的固定收益?
本文做了很多的数学推导,但是结论是简单的:
- 如果波动性带来的损失超过其平均回报的200%,Uniswap的再平衡将不能消除足够的波动性影响,这种情况最好还是持有现金。
- 如果波动性带来的损失低于其平均回报的66%,那么通过Uniswap进行再平衡来抵消波动性影响的代价将是不值得的,此时最好只是持有资产。
- 在此范围内,成为Uniswap的LP可以创造收益。
波动性损失是金融数学术语,描述的是大额投资损失复合回报。以下是该术语的发明者马克·斯皮茨纳热尔的解释:
激进的投资组合损失会破坏长期的复合年增长率(CAGR)。从低得多的起点恢复需要很长时间:损失50%,你需要做到100%才能恢复到原来的状态。在这种情况下,我称这种成本将投资组合的+ 25%的平均算术回报转化为零CAGR(因此使投资组合的利润为零)称为“波动性损失”:这是一种隐性的,欺骗性的费用,投资者因为市场波动的负面影响而需要额外付出的成本。
<center>Uniswap LP“被迫”致富</center>
1 问题
10月14日,Charlie Noyes在Twitter上发布了一个他和Dan Robinson一直在辩论的问题:对于任何Uniswap的交易对,最佳费用是多少?这种最佳费用能否超过未重新平衡的投资组合实现“无暂时性亏损”甚至是超预期的增长?
1.1 基础规则
自动化的做市商AMM是一种去中心化的交易机制,可以让用户在交易像USDC、ETH等的链上资产。
Uniswap是以太坊上最受欢迎的AMM。像大多数AMM一样,Uniswap通过持有两种资产的储备来实现交易对之间的兑换。并储备量确定交易价格,使价格与大盘保持一致。
为“资金池”提供流动性的人称为“LP”,LP为其他用户提供了流动资产以进行交易。LP需要同时注入两种资产,承担了交易风险以换取一部分Uniswap的收益。
1.2 问题设定
问题在于,资金池是在资金和另一种价格会随机波动的资产之间提供流动性。更残酷的假设是,所有的交易几乎都是套利交易—只有当AMM的价格超出市场水平时才会发生。
换句话说,每笔交易都会导致资金池中的资金亏损。
1.3 一般情况
乍一看,这种情况会成为Uniswap的LP的代价高昂的错误。
因为做市商要求的买入价低于卖出价,所以当资产价格不动时,做市商直接获利,他们得到的买入和卖出量大致平衡。这些交易通常被称为“不知情”交易,因为它们与短期价格变动没有关联。
另一方面,做市商在价格下跌之前买入,或在上涨之前卖出,都会亏损。因此,做市商最担心的交易对手之一就是套利者,套利者只有在价格发生变化时才进行交易。套利者的每笔交易对其来说都是纯利润,对于做市商来说则纯亏损。
由于Uniswap中没有不知情的交易(实际上每笔交易都是套利交易),因此LP显然会损失惨重。
甚至可以怀疑,对于一些潜在的价格波动,作为Uniswap的LP在每一笔交易中都会被套牢。
2 解决方案
如果一项资产相对于其平均回报率的波动性足够高,那么随着时间的推移,Uniswap上的LP将比HODLer收益更好,即使进场的只有套利交易。
这是由于一种称为“波动性收益”的现象造成的:在某些条件下,通过周期性地对两种资产进行再平衡,它们的表现有可能超过任何静态投资组合。在这种情况下,“再平衡”是指通过交易使每项资产中持有的比例返回到固定的50/50。
因此,当他们被套利时,LP会向市场支付一笔费用,为他们重新平衡投资组合。在这个特殊的数字设置中,这种再平衡是有益的,可以希望尽可能多地这样做。这意味着LP应将其费用(决定发生再平衡的价格敞口)设置为尽可能低而不为零。
这对于Uniswap来说是个好消息,因为这意味着即使在套利交易占主导的情况下,低费用仍然是有意义的,这使Uniswap在链上订单不断增加并开始提供更小的价差时保持竞争力。
也就是说,值得强调的是,这些结果适用于非常特殊的程式化数字设置,其中涉及的假设与Black-Scholes期权定价模型的假设非常相似。
2.1 比较标准
我们通过比较不同策略的“渐近财富增长率”来评估它们,这些“渐进财富增长率”衡量了它们在很长一段时间内增值(或贬值)的速度。
我们将所有策略与“非再平衡投资组合”进行比较,“非再平衡投资组合”一半是现金形式,一半是持有风险资产形式,并保持不变。这意味着,在最坏的情况下,当风险资产丧失其全部价值时,“非再平衡资产组合”将几乎全部由现金组成,从长远来看其增长率为零。另一方面,如果风险资产呈指数增长,它将很快在“非再平衡投资组合”中占据主导地位,因此其增长率与风险资产相同。
值得注意的是,两种资产可以共享相同的“渐近财富增长率”,但表现的差异也很大。例如,如果风险资产的增长率为零,那么享有零手续费的Uniswap价值将始终低于“非再平衡投资组合”,但由于预期两者都不会随着时间复合增长或亏损,两者的财富增长率都将为零。
2.2 波动阻力
<center>波动阻力对于50%损失/ 75%收益的作用过程</center>
要理解这些结果,首先要理解波动阻力的概念。假设每年我们的风险资产价格要么下跌75%要么上涨50%,两者发生的概率相等。
在任何特定年份,如果我们投资 $100,“期望值”是 50/2+175/2=$112.5。如果只是购买并持有,投资组合预期将每年增加12.5%—这似乎是一笔不错的交易。
不幸的是,在现实世界中,我们的利润其实无法实现。如果我们购买并持有此组合,最终将失去一切。这是因为,随着时间的流逝,财富增加将带来巨大的损失。
如果第一年损失 50% ,第二年增值 75% ,第二年期末余额将只有50%∗175%=87.5%。同样,如果第一年收益75%,第二年亏损50%,第二年期末余额依旧是175%∗50%=87.5%。随着时间推移,大数定律下的内部收益率将是年化 -12.5%,将不可避免地破产。
2.3 怎么回事儿?
你可能会觉得上面的结论很奇怪甚至是错误的。
实际上,期望值是一个理论量,用于衡量我们在“同时”复制给定的“赌博”行为会发生什么情况。但其实,每次“赌博”是依次进行的,结果会随时间推移而形成。
带入数字,当我们按照“-50%/+75%”的赢率一遍又一遍地赌博,每次都将资金再投资,期望值就会大幅增长,这主要是因为只有很少几条路径都能完全正确,从而带来天文数字般的回报。但随着时间的推移,这些路径在所有可能路径中所占的比例越来越小,而我们实际看到其中一条路径实现的几率也缩小到零。
2.4 再平衡的价值
面对波动的影响,即使期望值可能是正的投资决策,也有必要保留部分资金。这样,当出现问题时,可以减少损失,从长远来看会带来复合收益。
当价格上涨时,平仓部分头寸以锁定利润,以防价格再次下跌。当价格下跌时,有时有必要低价买入获得预期的未来回报。
在某些情况下,最佳策略是不断调整投资组合,以使将固定比例的财富投资到每个头寸上,例如一半现金,一半风险资产。但这并不总是最佳的平衡,一般来说,你希望投资组合中的风险资产越多,其回报率相对于其波动性越高。
重新平衡长期财富增长的好处可能是巨大的,并且可能意味着盈利与破产之间的区别。即使每笔再平衡交易的价格都不利,并造成瞬时损失,结果也是如此。
2.5 炼金术
<center>费用从0%起的资产增长率</center>
在上面的设定中,以最小的成本更频繁的进行再平衡,将对LP有益。因此需要将费用设置为>0%,以降低价格波动率就可以触发再平衡。但是当费用恰好=0%时,再平衡的所有好处就会消失,并且大概率,LP要比持有非再平衡组合时的收益更差。
Uniswap使用“常数乘积”不变,这意味着在没有费用的情况下,每笔交易必须保持储备金余额的乘积不变。本文表示为Rα Rβ=C ,尽管已经熟悉Uniswap的读者可能更习惯于x*y=k。
但是,事实证明这个 C 必须是数量增加的,才能使再平衡为我们提供财富增长。在免费的情况下, C会保持不变,就没有财富增长的引擎。
在Uniswap或前文的设置中实施的非0%的费用,可确保C每笔交易都增加。C随时间推移增加,意味着储备金余额不仅在增长,而且还在保持着平衡,从而提供了收益。
3 数学
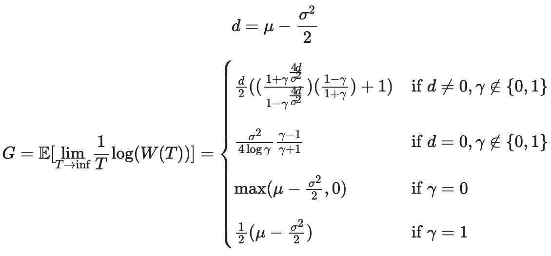
综上所述,现在可以准确地回答Charlie Noyes提出的问题。重复说明一下,他们关注的是Uniswap一类的AMM的财富增长率,这种AMM收取 1−γ 百分比的费用,在现金和一种资产之间形成市场,而这种资产的价格以几何布朗运动的形式变动,带有参数 μ (偏移)和 σ (波动率).。
3.1 LP资产的增长率
3.2 最优费用与超额收益
当且仅当μ>0 和时,成为LP比持有一半现金和一半代币的非再平衡投资组合有更多收益。
在这种情况下,LP应将他们的费用设置为尽可能低的值而不是0%,他们的资产增长率将约为 μ/2 - σ²/8。
3.3 解释
由于“几何布朗运动”模拟复合增长,因此它们也会受到波动阻力的影响,在数学上可以将GBM的资产增长率表示为 -σ²/2:
<center>G=μ-σ²/2</center>
这意味着在范围内,Uniswap上的LP对应于资产增长率为 -μ<G<μ/3。
这个结果显示,再平衡能够抵消部分基础资产波动性的影响。
另一方面,如果没有波动性影响的平均收益为正:
- 如果波动性带来的损失超过其平均回报的200%,Uniswap的再平衡将不能消除足够的波动性影响,这种情况最好还是持有现金。
- 如果波动性带来的损失低于其平均回报的66%,那么通过Uniswap进行再平衡来抵消波动性影响的代价将是不值得的,此时最好只是持有资产。
- 在此范围内,成为Uniswap的LP可以创造收益。
关于
UBI.city - 关于未来组织结构的协议,我们将与近日陆续发布更多关于UBI.city的构想与设计机制,欢迎感兴趣的区块链技术爱好者、社区发起者、研究分析人与Gavin、Iris联系,共同探讨UBI未来的可能性。
ChinaDeFi - ChinaDeFi.com 是一个研究驱动的DeFi创新组织,每天从全球超过<span style='color:#BB8719'>500个优质信息源</span>的近<span style='color:#BB8719'>900篇内容</span>中,寻找<span style='color:#BB8719'>思考更具深度、梳理更为系统</span>的内容,以最快的速度同步到中国市场提供决策辅助材料。
来源:oschina
链接:https://my.oschina.net/u/4698760/blog/4776414