图像梯度
我们知道一阶导数可以用来求极值。把图片想象成连续函数,因为边缘部分的像素值与旁边的像素明显有区别,所以对图片局部求极值,就可以得到整幅图片的边缘信息。不过图片是二维的离散函数,导数就变成了差分,这个查分就变成了图像梯度。
1. 垂直边缘提取
滤波是应用卷积来实现的,卷积的关键就是卷积核。我们来考察下面这个卷积核:

这个核是用来提取图片中的垂直边缘的,怎么做到的呢?看下图:

当前列左右两侧的元素进行差分,由于边缘的值明显小于(或大于)周边像素,所以边缘的差分结果会明显不同,这样就提取出垂直边缘。同理,把上面的那个矩阵转置一下,就是提取水平边缘。这种差分操作就成为图像的梯度计算:

import cv2
import numpy as np
img = cv2.imread('sudoku.jpg', 0)
# 自己进行垂直边缘提取
kernel = np.array([[-1, 0, 1],
[-2, 0, 2],
[-1, 0, 1]], dtype=np.float32)
dst_v = cv2.filter2D(img, -1, kernel)
# 自己进行水平边缘提取
dst_h = cv2.filter2D(img, -1, kernel.T)
# 横向并排对比显示
cv2.imshow('edge', np.hstack((img, dst_v, dst_h)))
cv2.waitKey(0)

2. Sobel算子
上面这种差分方法就叫Sobel算子,它先在垂直方向上计算梯度 Gx = k1 x src,再在水平方向计算梯度Gy = k2 x src,最后求出总梯度:

我们可以把前面的代码用Sobel算子更简单的实现:
sobelx = cv2.Sobel(img, -1, 1, 0, ksize=3) # 只计算x方向
sobely = cv2.Sobel(img, -1, 0, 1, ksize=3) # 只计算y方向
# 横向并排对比显示
cv2.imshow('edge', np.hstack((img, sobelx, sobely)))
cv2.waitKey(0)
还有其他算子,比如只利用领域间的原始差值来检测边缘的Prewitt算子

还有比Sobel更好用的Scharr算子
这些算法都是一阶边缘检测的代表。
3. Laplacian算子
高数中用一阶导数求极值,在这些极值的地方,二阶导数为0,所以也可以求二阶导计算梯度:

一维的一阶和二阶差分公式分别为:

提取前面的系数,那么一维的Laplacian的滤波核是:

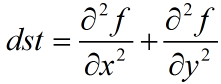
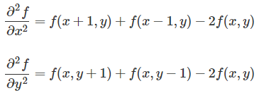
对于二维函数f(x,y),两个方向的二阶差分分别是:

合在一起:

同样提取前面的系数,那么二维的Laplacian滤波核就是:

这就是 Laplacian 算子的图像卷积模板,有些资料在此基础上考虑斜对角情况,将卷积核扩展为:

laplacian = cv2.Laplacian(img, -1)
# 横向并排对比显示
cv2.imshow('edge', np.hstack((img, laplacian)))
cv2.waitKey(0)

Laplacian算子是二阶边缘检测的典型代表。
参考地址:http://ex2tron.wang/opencv-python-extra-image-gradients/
来源:oschina
链接:https://my.oschina.net/u/4398028/blog/3574636