前言
一次模拟赛的$T3$:传送门
只会$O(n^2)$的我就$gg$了,并且对于题解提供的$\text{dsu on tree}$的做法一脸懵逼。
看网上的其他大佬写的笔记,我自己画图看了一天才看懂(我太蒻了),于是就有了这篇学习笔记。
概念篇/基础运用
算法简介
现在考虑这样一类树上统计问题:
-
无修改操作,询问允许离线
-
对子树信息进行统计(链上的信息在某些条件下也可以统计)
树上莫队?点分治?
$\text{dsu on tree}$可以把它们吊起来打!
$\text{dsu on tree}$运用树剖中的轻重链剖分,将轻边子树信息累加到重链上进行统计,拥有$O(nlogn)$的优秀复杂度,常数还贼TM小,你值得拥有!
//虽说是dsu on tree,但某个毒瘤@noip说这是静态链分治
//还有其他的数据结构神du仙liu说它可以被看成是静态的树剖(因为其在树上有强大的统计信息的能力,但不能支持修改操作),与正常的树链剖分相对
//所以我同时保留这几种说法,希望数据结构神du仙liu们不要喷我这个juruo
算法实现
-
遍历所有轻儿子,递归结束时消除它们的贡献
-
遍历所有重儿子,保留它的贡献
-
再计算当前子树中所有轻子树的贡献
-
更新答案
-
如果当前点是轻儿子,消除当前子树的贡献
那么这里有人可能就要问了,为什么不保留求出的所有答案呢?这样复杂度就更优了啊
如果这样的话,当你处理完一颗子树的信息时,再递归去求解另一颗子树时,
已有的答案就会与当前子树信息相混淆,就会产生错误答案。
所以,从这我们看出,一个节点只能选择一个子节点来保留答案
其它的都要去暴力求解
那么选择哪一个节点能使复杂度最优呢?
显然,我们要尽量均衡答案被保留的子树和不被保存的子树的大小
这是不是就很像树链剖分划分轻重儿子了呢?
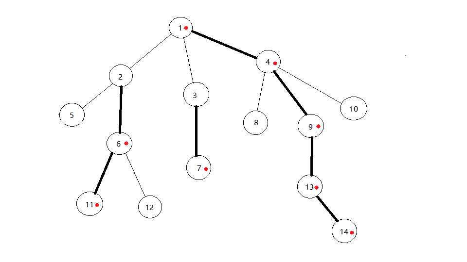
人工图解
因为窝太蒻了一开始没怎么理解它,所以有了图解这个环节23333。
- 比如现在有一个已经剖好的树(粗边为重边,带红点的是重儿子):

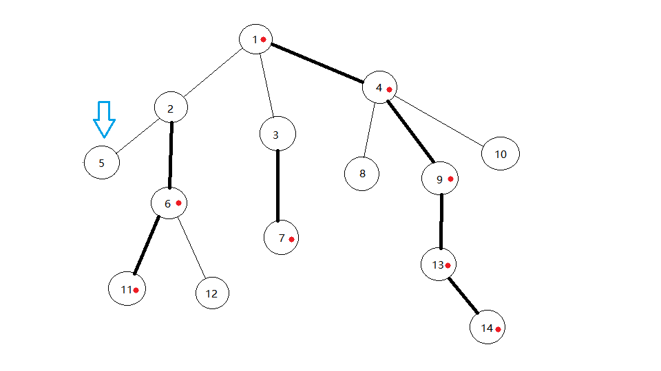
- 首先,我们先一直跳轻儿子跳到这个位置:

- 记录它的答案,并撤销影响,一直往轻儿子上跳

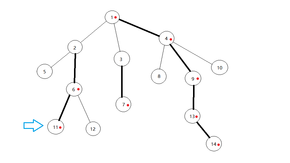
- 然后发现下一步只能跳到一个重儿子上,就记录他的答案并保存(下文图中被染色的点即为目前保存了答案的点)

- 接着回溯到父节点上,往下计算答案

- 因为重儿子保存了答案被标记,往下暴力计算的时候只会经过轻边及轻儿子(即$6 \rightarrow 12$这条边和$12$号节点)

-
同理,$2$号点也可进行类似操作,因为它的重儿子$6$号节点已保存了这颗子树的答案,只需上传即可,
不用再从$6$这个位置再往下走统计答案,唯一会暴力统计答案的只有它的轻儿子$5$号节点

- 然后继续处理根节点另一个轻儿子$3$,一直到叶子节点收集信息

- 最后,对根节点的重儿子进行统计,如图,先对箭头所指的两个轻儿子进行计算

- 接着对每一个重儿子不断保存答案,对轻儿子则暴力统计信息,将答案不断上传

- 然后,对于根节点的处理同上即可
大致代码:
inline void calc(int x,int fa,int val)
{
......................
/*
针对不同的问题
采取各种操作
*/
for(rg int i=0;i<(int)G[x].size();++i)
{
int v=G[x][i];
if(vis[v] || v==fa) continue;
calc(v,x,val);
}
}
inline void dfs(int x,int fa,int keep)//keep表示当前是否为重儿子
{
for(int i=0;i<(int)G[x].size();++i)
{
int v=G[x][i].v;
if(v==fa || v==son[x]) continue;
dfs(v,x,0);
}
if(son[x]) dfs(son[x],x,1),vis[son[x]]=true;//标记重儿子
calc(x,fa,1);vis[son[x]]=false;//计算贡献
ans[x]=....;//记录答案
if(!keep) calc(x,fa,-1);//不是重儿子,撤销其影响
}
如果是维护路径上的信息,大概还可以这么写:(如果有错,请大佬指出)
ps:关于$\text{dsu on tree}$对路径上信息进行维护的精彩应用,可以看最后$3$道例题
inline void dfs(int x,int fa)
{
siz[x]=1,dep[x]=dep[fa]+1,nid[rev[x]=++idx]=x;
//再次借助树剖的思想,子树内节点顺序转为线性
for(rg int i=0;i<(int)G[x].size();++i)
{
int v=G[x][i].v,w=G[x][i].w;
if(v==fa) continue;
dfs(v,x),siz[x]+=siz[v];
if(!son[x] || siz[v]>siz[son[x]]) son[x]=v;
}
}
inline void calc(int x,int val)
{//对x这一节点进行单独处理
if(val>0) //计算贡献
else //撤销影响
}
inline void dfs2(int x,int fa,int keep)
{
for(rg int i=0;i<(int)G[x].size();++i)
{
int v=G[x][i].v;
if(v==fa || v==son[x]) continue;
dfs2(v,x,0);
}
if(son[x]) dfs2(son[x],x,1);
for(rg int i=0;i<(int)G[x].size();++i)
{
int v=G[x][i].v;
if(v==fa || v==son[x]) continue;
for(rg int j=0;j<siz[v];++j)
{
int vv=nid[rev[v]+j];
..........
//更新答案
}
for(rg int j=0;j<siz[v];++j) calc(nid[rev[v]+j],1);
}
calc(x,1);
..........//更新答案
if(!keep) for(rg int i=0;i<siz[x];++i) calc(nid[rev[x]+i],-1);
}
复杂度证明
不感兴趣的大佬可以跳过这一段。(蒟蒻自己乱$yy$的证明,如果有错请大佬指出)
-
显然,根据上面的图解,一个点只有在它到根节点的路径上遇到一条轻边的时候,自己的信息才会被祖先节点暴力统计一遍
-
而根据树剖相关理论,每个点到根的路径上有$logn$条轻边和$logn$条重链
-
即一个点的信息只会上传$logn$次
-
如果一个点的信息修改是$O(1)$的,那么总复杂度就是$O(nlogn)$
几道可爱的例题
例题$1$:$$\color{#66ccff}{\texttt{-> 树上数颜色 <-}}$$
此题来自洛咕日报第$65$篇作者$\text{codesonic}$。
-
我们可以维护一个全局数组$cnt$,代表正在被计算的子树的每种颜色的数量
-
每次计算子树贡献的时候,把节点信息往里面加就行了,如果一个颜色第一次出现,则颜色种类数$top++$
-
对于需要撤销影响的子树,把信息从里面丢出来即可,如果被删除的颜色只有这一个,则颜色种类数$top--$
$Code$
例题$2$:$$\color{#66ccff}{\texttt{-> CF600E Lomsat gelral <-}}$$
公认的$\text{dsu on tree}$模板题,相比于上题只是增加了对每种数量的颜色和的统计。
-
我们可以维护$cnt$数组,表示某个颜色出现的次数;再维护一个$sum$数组,表示当前子树出现了$x$次的颜色的编号和
-
对节点信息统计时,先把它在$sum$数组里的贡献删掉,更新了$cnt$数组后再添回去
-
然后别忘了开$long , long$(血的教训)
$Code$
应用篇/各种灵活运用
CF570D Tree Requests
$$\color{orange}{\texttt{-> 原题传送门 <-}}$$
窝太菜了,不会二进制优化,只会$O(26*nlogn)$
-
首先,因为要形成回文串、又可以对字符进行任意排列,所以最多只能有一种字母的出现次数为奇数
-
然后我们维护一个$cnt$数组,统计每个深度所有字母的出现次数:
cnt[dep[x]][s[x]-'a']+=val;
- 最后再$check$一下就好了
$Code$
CF246E Blood Cousins Return
$$\color{orange}{\texttt{-> 原题传送门 <-}}$$
-
首先用$map$把给的所有名字哈希成$1$到$n$的数字
-
题目就可以转化为求出每个深度有多少不同的数
-
同样,对每个深度开个$set$去重并统计
-
然后就是套板子的事情了
$Code$
CF208E Blood Cousins
$$\color{orange}{\texttt{-> 原题传送门 <-}}$$
-
显然原问题可以转化为求该点的$k$级祖先有多少个$k$级儿子(如果没有$k$级祖先,答案就是0)
-
而一个点$x$的$k$级儿子即为在以$x$为根节点的子树中有多少点的$dep$为$dep[x] + k$
-
把所有询问读进来,求出相关的点的$k$级祖先(可以离线$O(n)$处理,也可以倍增$O(nlogn)$搞;如果时空限制比较紧,就采取前者吧)
-
然后因为是统计节点数,所以开一个普通的$cnt$数组维护即可。最后答案别忘了$-1$,因为算了自己
扔一个加强版的($N \le 10^6$,$128MB,1s$):$\color{#66ccff}{\texttt{-> 传送门 <-}}$
友情提醒:上面这道良心题不仅卡空间,还卡时间(如果你用dsu on tree)
$Code$
IOI2011 Race
$$\color{orange}{\texttt{-> 原题传送门 <-}}$$
点分治的题怎么能用点分治呢?而且这还是dsu on tree学习笔记
-
首先,这道题是对链的信息进行统计,就不能再像对子树的统计方法去搞♂了,所以需要一些奇技淫巧
-
思路与点分治一样,对于每个节点$x$,统计经过$x$的路径的信息
-
注意到这道题链上的信息是可加减的,所以我们可以不保存$x$的子孙$\rightarrow x$的信息,而是保存每个节点到根节点的信息,在统计的时候在减去$x \rightarrow$根节点的信息
-
然后我们考虑如何统计,我们可以在每个节点维护一个桶$cnt$,记录从这个点$x$往下走的所有路径中,能形成的每种路径权值和以及其所需要的最少的边的数量:

-
对于$v_{ij}$,计算出其到$x$的距离$dis$及深度差$d$(可以看成路径上的节点数),并用$d$ $+$ $cnt[$k−dis$]$来更新答案。
-
然后用刚才得到的$dis$对应的$d$来更新$cnt[dis]$的值。
-
这样就相当于,用每个$v_{ij}$到$x$的链,与之前桶中所保存某条链的路径权值和之和恰为$k$的拼成一条路径,并更新答案。然后,再把它也加入桶中
-
再套上$\text{dsu on tree}$的板子,每个节点保存它的重儿子的 桶的信息即可
虽然是$O(nlog^2n)$的,但常数小,咱不慌
但是窝太菜了,用$map$作桶不开$O2$会$T , 3$个点(毕竟用了$STL$,还有两只$log$),有空再重写一遍233
貌似用$unodered_{}map$不开$O2$也卡得过去。。
$Code$
NOIP2016 天天爱跑步
$$\color{orange}{\texttt{-> 原题传送门 <-}}$$
- 首先,我们可以把$S \Rightarrow T$这条路径拆成$S \rightarrow lca(S,T)$ 和 $lca(S,T) \rightarrow T$两段来考虑

-
考虑在第一段路径上一点$u$能观测到该玩家的条件是:$dep[S] - dep[u] = w[u]$
-
同理,在第二段路径上一点$u$能观测到该玩家的条件是:$dep[T] - dep[u] = dis(S,T) - w[u]$,即$dep[S] - 2 \times dep[lca(S,T)] = w[u] - dep[u]$
-
然后可以用差分的思想,对每个节点开两个桶$up$、$down$进行统计
-
在$S$的$up$中插入$dep[S]$
-
在$T$的$down$中插入$dep[S] - 2 \times dep[lca(S,T)]$
-
因为$lca(S,T)$会对$S \rightarrow T$和$T \rightarrow S$都进行统计,所以在其$up$中删除$dep[S]$
-
同理,在$fa[lca(S,T)]$的$down$中删除$dep[S] - 2 \times dep[lca(S,T)]$
-
然后用$\text{dsu on tree}$统计即可,答案为$up[w[u]+dep[u]] + down[w[u] - dep[u]]$
注意到$w[u] - dep[u]$可能小于零,为了避免负数下标、又不想套$map$,我们可以使用如下$trick$
int up[N],CNT[N<<1],*down=&CNT[N];
//把donw[0]指向CNT[N],这样就可以给负数和正数都分配大小为N的空间
跑的虽然没有普通的差分快,不过吊打线段树合并还是绰绰有余的
$Code$
[Vani有约会]雨天的尾巴
$$\color{orange}{\texttt{-> 原题传送门 <-}}$$
跟天天爱跑步差不多,就不画图了(~懒)
-
同上题,用差分的思想,对每个节点的增加和删除开两个桶统计
-
同时,这题要维护每个点出现的最多物品的种类,直接开个线段树维护就好了
$O(nlog^2n)$,常数应该和树剖差不多,不过因为每个点都要进行增加删除两个操作,常数大了一倍,而且还用了线段树,所以$\cdots$
不过依然比部分线段树合并跑的快2333
$Code$
由以上三题,我们可以看出,在一定条件下,$\text{dsu on tree}$也是可以在链上搞♂事情的
比如$Race$满足链上信息可加减性,后两道题可以用差分将链上的修改/询问转化为点上的修改/询问
但$\text{dsu on tree}$可以应用的条件肯定不止以上两种,因为窝太蒻了,只见识了这些题,以后看到其他类型的也会补上来
射手座之日
$$\color{orange}{\texttt{-> 提交地址 <-}}$$
现在终于可以回过头来解决这个题了
留给大家思考吧,要代码的话可以私信我
虽然有很多大佬会线段树合并或虚树上$dp$秒切这道题,不过还是希望用$dsu ; AC$
参考资料/总结
参考资料
总结
以后还会不定期地添加$\text{dsu on tree}$的相关题目~
如果有需要,我会把最后那道题的代码贴出来
来源:oschina
链接:https://my.oschina.net/u/4303162/blog/3365420