以下是对文章内容的理解,在这里做个笔记,便于回顾,没有什么技术含量,就是一个学习日记笔记,嘻嘻。
文章内容的思路:
一、框架包括:
1.改进的集合经验模式分解 modified ensemble empirical mode decomposition (CEEMD),CEEMD全称为 complete ensemble empirical mode decomposition,完全集合经验模式分解。
2.短期时间特征提取
3.基于决策规则的噪声噪声监测和分类
二、框架的处理步骤:
1.首先使用修改的CEEMD算法分解ECG信号,区分ECG分量与噪声和伪像。
2.根据提取的高频HF和低频LF信号计算诸如最大绝对幅度,零交叉数,和自相关函数的局部最大峰值幅度的短期时间特征。
3.提出了一种基于决策规则的算法,用于检测噪声的存在,并将处理后的ECG信号分为六个信号组:
(1)无噪声心电图 noise-free ECG,
(2)基线漂移心电图 ECG+BW,
(3)肌肉伪迹心电图 ECG+MA,
(4)电力线干扰心电图 ECG+PLI
(5)基线漂移电力线干扰心电图 ECG+BW+PLI
(6)基线漂移 肌肉伪迹心电图ECG+BW+MA
该框架简化了单个和组合ECG噪声的检测和分类流程,如下图(文献原图):

上图说明了该框架的主要组成部分,用于检测和分类的单一和组合心电图的声音。本节提出了一种改进的具有新的停止准则的完全集成经验模态分解(complete ensemble empirical mode decomposition, CEEMD)算法,并讨论了与传统的CEEMD算法相比,所提出的停止准则在显著降低计算负荷方面的优势。
然后,描述了该框架的主要组成部分,包括(一)心电信号和噪声分离;(二)短期时间特征提取;和(三)基于噪声检测与分类的决策规则。
当然为了方便理解,我还搜索了网上的资料,然后看到了大神的智慧的结晶,如下图(为表尊重,附上大神的博客链接,方便以后看 https://blog.csdn.net/Couragebelief/article/details/75339460):

三、相关工作和动机:
本文已采用各种策略来处理由于噪声和伪影引起的高误报率问题:
(1)基于ECG去噪的方法来抑制ECG记录中的噪声和伪影
(2)基于信号质量指数SQI的方法来评估记录的ECG信号的临床可接受性
具体内容如下:
(1) 基于心电图去噪的策略:
为了降低误报率,基于移动平均值和中值滤波器,频率选择滤波器,自适应滤波器,维纳滤波器,多项式滤波器,奇异值分解,提出了各种心电图去噪方法SVD,离散余弦变换DCT,离散小波变化DWT,切换卡尔曼滤波器,经验模式分解EMD,非线性贝叶斯滤波器NBF,数学形态学算子MM,主成分分析PCA,独立成分分析VMD,和EMD小波方法,用于出去单个组合的县点图噪声源。
评估结果表明,由于ECG信号的低频分量衰减,基线漂移消除方法可能会使ST段失真。结果进一步表明,简单的滤波器不足以消除严重的EMD噪声,而不会扭曲ECG信号的幅度、持续时间、间隔和形状特征。基于EMD的去噪方法在QRS波群的开始和结束时,引入显著的失真,这可能导致QRS波群扩大。
(2)基于信号质量评估的策略:
除降噪策略外,还采用信号质量评估SQA策略来解决误报问题。文献中简要介绍了用于评估ECG信号质量的特征提取方法如下(这里只是列举,文章没有扩展,我的日记当然我会在后面添加,尽量的做到我自己满意吧,菜鸟上到,前方高能,啊哈哈。):
1】基于频谱信号表示和相关性提出了基于调制频谱的ECG质量指数
2】基于心率,RR期间特征和末班匹配的信号质量指标
3】基于连导,决策树和SVM分类之间的互相关的ECG质量估计方法
4】使用七个SQI研究了ECG质量评估方法,这七部分是:
1]峰度 kSQI
2]偏度 sSQI
3]QRS波群中的相对功率 pSQI
4]基线中的相对功率 basSQI
5]wqrs检测到的节拍与eplimited (bSQI)检测到的节拍匹配的比例
6]eplimited与wqrs (rSQI)检测到的拍数之比
7]由与五个主成分相关的特征值之和与经时向心电图周期(pcaSQI)主成分分析得到的所有特征值之和和SVM分类器构成的比率
5】基于检测到的PQRST复合波的集合平均和来自ECG信号的每个PQRST复合波的平均PQRST复数减去的ECG信号质量分析
6】七种信号质量指数(iSQI,bSQI,fSQI,sSQI,kSQI,pSQI,basSQI)和多层感知器(MLP)和SVM分类器,用于确定ECG信号的临床可接受性
7】不依赖于特定形态特征的多通道自适应滤波的点到点信号质量指数(SQI)心电图beat-by-beat分析
8】一种改进的基于相关性和多样性的心电信号质量测量方法
9】一种基于阈值的噪声检测系统,该系统采用6个并行滤波器分支对不同频段的心电图振幅和斜率进行分析
10】基于QRS特征与心率相关性均值和中值的心电信号质量测量方法。
11】一种利用时间特征(转折点、动态范围和预测误差)进行心电信号质量评估和电极放置的方法
12】基于鲁棒最优子集线性预测特征的心电图质量评估方法
小结:
大多数方法都是基于QRS复合物检测器和心电图形态学和间期特征开发的,这些特征依赖于使用两个开源QRS检测器准确可靠地测定心电图信号中的r峰(eplimited和wqrs)。
由于ECG频谱与噪声显著重叠,因此某些ECG局部波和复合波的提取特征模型可能类似于噪声和伪像的特征模型。
基于机器学习的SQA方法高度需要大量的ECG信号和噪声数据库,以充分捕捉不同心电图节拍模式和各种噪声和伪像的独特特征。
四、目标和主要贡献:
本文献研究表明,单一信号处理技术不足以消除ECG信号中的不同类型的噪声和伪影。
实验去噪结果表明,每种滤波技术都可能引入不同类型的波形失真。
重要的是确定局部噪声ECG部分的边界,以标记为不可靠的测量值或者从特征提取中丢弃有噪声的ECG段。
静息、走动和运动心电图记录条件下的实时ECG信号分析和诊断系统而言是非常重要的设计考虑因素。
本研有四个主要目标:
(1)与过去的SQA研究不同,我们的目标是提出统一的心电噪声检测,定位和分类框架,(据我们所知,没有系统框架可以对ECG信号中存在的噪声和伪像进行自动检测,定位,和分类),在减少误报率和选择噪声特定信号处理(或噪声模型)技术有效去除噪声方面具有巨大的潜力心电信号。
(2)为了减少常用CEEMD算法的计算负荷,我们在迭代过程中引入了新的停止准则,如零交叉数(NZC)和最大绝对振幅(MAA)。
(3)探索短期时间特征提取,用于基线漂移(BW)、肌肉伪影(MA)和电力线干扰(PLI)的检测、定位和分类。
(4)建立了基于决策规则的分类算法心电图信号分为6组:无噪声心电图、心电图+BW、ECG+MA, ECG+PLI, ECG+BW+PLI, ECG+BW+MA。
评价结果表明,该框架在检测和分类心电信号中存在的噪声和伪影方面具有较高的灵敏度、正预测性和准确性。
五、结果:
所提出的的框架在五个基准ECG数据库和实际ECG信号上进行了严格的评估,所提出的的框架不仅比当前最先进的方法实现了更好的噪声监测和分类,而且还准确的定位了具有低端点描绘误差的短脉冲噪声。
六、意义:
对基准数据库的广泛研究表明,所提出的框架更适合于降低误报率并在自动ECG分析应用中选择适当的噪声特定去噪技术。
文献主要内容整理:
A.修改CEEMD算法:
有几种技术可以将心电图信号分解成几个子信号。经验模态分解(EMD)是一种自适应时频分析技术,被广泛应用于将复杂的多分量信号分解成若干个快速和缓慢的振荡,称为固有模态函数(IMFs)。
为了克服基本EMD和集成EMD (EEMD)技术的不足,提出了完整的集成EMD技术。例如基本EMD的模态混合问题,在同一个IMF中存在不同的振荡,或者在相似振荡中存在的类似的不同的IMFs。产生不同数目的固有模式函数IMF;
在信噪比较低的情况下,重构信号分解后含有残余噪声。Torres等人提出了CEEMD算法,该算法在提取后续固有模态函数后,将高斯噪声的不同实现方式加入到剩余信号中。
经证明,CEEMD算法对原始信号进行了精确的重构,并对模式进行了改进的谱划分,其所需的筛选迭代次数不到EEMD算法的一半,从而降低了计算成本。
通过应用CEEMD算法,信号自适应分解为有限的固有模式函数(或振荡模式)和残留,在分解过程直到获得被分解残留不再是可行的(一个常数或单调的斜坡,或只有一个极值)或达到预定的阈值。
低阶IMFs捕获肌肉伪影、电源线干扰和记录仪器噪声引起的高频噪声的快速振荡模式,而高阶IMFs通常捕获基线漂移的慢振荡模式。
最后的残差表示信号的趋势分量。为了减少传统CEEMD算法的计算量,本研究拟探讨IMF提取过程中残差的零阶数和慢振荡模式的大小。
在改进的CEEMD算法中,当满足以下任一停止准则时,即当前残差的大小小于预先设定的阈值,或当前残差的零点个数(NZC)小于预先设定的NZC值时,分解过程终止。改进的CEEMD算法的结果产生了有限的IMFs集和基线漂移的残差。根据基线漂移慢振荡的最大绝对振幅和零点个数等时间参数,选择预先设定的停止准则阈值。通过考虑频率小于1 Hz的基线漂移和严重基线漂移的大小,选取NZC为10,MAA为0.1 mV,将基线漂移与心电图分量、MA、PLI噪声进行区分。
对于给定的输入ECG信号x[n],改进的具有新的停止准则的CEEMD算法可以总结为:
1)获得不同的体现形式的信号加上标准偏差为
的指数误差的高斯白噪声
:


2)分解信号加噪声的实现 
使用EMD得到第一个IMF,然后计算第一个IMF 为:

3)计算第一残差(residue)为:

4)分解实现
从而的得到第一次EMD模式,得到第二种模式:

5)寻找第 i 个模式,分解实现第 i 个残渣,
得到它们的第一个EMD模态,得到第(i + 1)个模态为:

当 i 表示模式和,
是第 i 个模式的残渣模式。
6)计算
的NZC和MAA[n]。
7)继续下一模态的步骤5,直到得到的残差不满足所提出的停止条件:
为真。
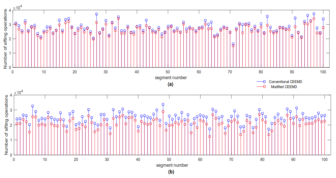
本研究的目标之一是提高CEEMD算法的计算负载。对于10秒心电信号的处理,图2给出了改进的CEEMD算法和传统CEEMD算法在筛选操作次数方面的计算负荷。初步评价结果表明,改进的CEEMD算法可以显著降低不同基线漂移和无噪声心电信号的计算负荷。与传统的CEEMD算法相比,改进的CEEMD算法在筛选操作方面的计算负载提高了12.77%到39.33%。从结果表明,与传统的CEEMD算法相比,改进的CEEMD算法平均节省了22.18%的计算时间。
图2:

图2所示。改进的CEEMD算法和传统CEEMD算法在筛选(a)无噪声心电信号(b)基线漂移损坏的心电信号方面的计算负载。
B.信号与噪声分离:
改进的CEEMD算法分解结果如图3所示。结果表明,低阶IMFs和高阶IMFs分别捕获了心电信号的细尺度(或高频(HF)分量)和粗尺度(或低频(LF)分量)。对于无噪声的心电图信号,低阶IMFs,或图3(a)中的模式M1和M2,捕获QRS波复合物的快速变化分量和高阶IMFs,或图3(a)中的模式M8和M9,捕获局域波的极低频分量。

图3所示。说明了干净和噪声心电信号的固有模态分解函数(IMFs): (a)干净心电信号取自记录号100,(b)噪声心电信号,包括基线漂移和肌肉伪影,取自记录号104。
为了表征不同类型的心电噪声,我们首先构建三个子信号,如加入前三个IMFs得到的:
(一)高频信号h[n],其中可能包括MA、PLI和仪器噪声的分量以及QRS复合物的HF分量;
(二)低频信号b[n],包括基线漂移,为最终残差;
(三)加入剩余IMFs得到的心电图信号c[n], IMFs包括Pwave、QRS-complex和t波的主要成分。信号与噪声分离过程的初步评价结果如图4所示。图4(a2)和(b2)的结果表明,高频信号能够充分捕捉MA和PLI噪声。进一步指出,提取的高频信号可能包含QRS复合物的高频成分。由图4(a3)、(b3)可知,提取的信号c[n]含有局域波的主要分量。从图4(a4)和(b4)的结果可以看出,最终的残差信号b[n]捕获了基线的漂移。对提取的高频和低频信号h[n]和b[n]进行进一步处理,对不同类型心电图噪声进行检测、定位和分类。

图4所示。说明从心电信号中提取的三个候选子信号:
(a1)-(b1)被BW和MA破坏的心电信号,以及PLI噪声。
(a2)-(b2)高频(HF)信号,包括MA和PLI噪声。
(a3)- (b3)心电图信号包括p波、QRS波、t波。
(a4)-(b4)低频率(LF)信号,包括BW噪音。
C.短时特征提取:
心电图噪声和伪影的典型特征是峰间振幅、频率含量和持续时间[1]。本研究拟从提取的高频和低频信号h[n]和b[n]中,分别计算出最大绝对振幅(MAA)、零点个数(NZC)和自相关函数(ACF)等时间特征,对不同类型的噪声进行检测和分类。
1)最大绝对振幅:根据提取的HF和LF噪声信号h[n]和b[n]的峰间振幅,可以定义每种噪声和伪影的存在和严重程度。因此,从最终剩余信号b[n]中提取MAA特征,检测BW噪声的存在。根据p波、q波、QRS-complex、t波等局域波的幅值范围,本文选取0.1 mV的最大绝对幅值阈值。高频噪声的严重程度可以根据高频信号h[n]的MAA来确定。选择0.05 mV的最大绝对振幅阈值检测肌肉伪影和PLI噪声的存在。但是,可以根据特定应用的心电图分析系统可接受的最大噪声水平设置预定义的阈值。
2)零点包络数(NZC):分解结果表明,提取的高频信号可能包含QRS复合物的高频噪声或/及高频成分。对于无噪声心电图信号,提取的高频信号h[n]包括QRS波复合物的局域高频成分和非QRS波复合物部分的很小幅度噪声成分。在实际应用中,高频信号中QRS波复合体的振幅在不同类型的正常和异常心电图信号下是不可预测的。因此,简单的最大振幅阈值规则不适用于心电图信号中高频噪声的检测。因此,本研究探索了高频噪声检测与分类中具有显著噪声特异性的特征,如短时零噪声和自相关特征。首先将提取到的高频信号h[n]分为重叠帧,每帧移动一个样本。重叠过程实现为:

k = 0,1··M·L−−1。hk[n]为第k帧,M为帧大小。然后,计算每个HF信号h[n]帧的NZC。NZC特征包络线计算为:

对于干净噪声的心电信号,从高频信号h[n]中提取的NZC包络如图5(a3)和(b3)、6(a3)和(b3)所示。图5(a3)和(b3)的结果表明,NZC包络线由QRS波复段的局域短脉冲和无噪声和基线漂移心电图信号的小振幅噪声部分的零值组成。对于MA破坏的噪声心电图信号,图6(a3)中提取的NZC包络线包含更宽的杂散峰脉冲。为了检测高频噪声的存在,计算了门信号:

提取的门信号如图5(a4)所示,(b4)及6(a4)及(b4)为无噪音及有噪音的心电图信号。从图5(a4)和(b4)的栅极信号可以看出,QRS波的复数部分对应的局部脉冲持续时间一般在50 - 300 ms之间。同时,图6(a4)和(b4)中栅极信号对于MA和PLI噪声破坏的心电图信号,局部脉冲持续时间较短,持续时间较长。此外,局部脉冲的持续时间是不相等的。因此,QRS波宽持续时间(50- 200ms)和不应期(200- 300ms)的参数相同。

( a)心电图信号受基线漂移影响 (b)无噪声心电图信号
3)自相关最大振幅:
在本研究中当检测到高频噪声时,进行MA/PLI鉴别。对于MA/PLI区分,第一个IMF被划分为100 ms的重叠帧,帧位移为帧大小的20%。得到第k个坐标系为:

其中M为帧大小。对于第k个坐标系(zk[n])ACF序列计算为

其中rk(l)为信号帧zk[n]的ACF, l为ACF时滞数。对于每一帧,计算ACF的第一个局部最大值,提取局部最大值的ACF包络线。对于噪声ECG信号,提取的ACF包络线如图6(a6)和(b6)所示。从图6(a6)的ACF包络线可以看出,肌肉伪影帧的ACF值小于0.5,PLI噪声帧的ACF值大于0.7。初步评价结果表明,ACF特征更适合于MA/PLI识别任务。在本研究中,敏感性分析用于选择预先设定的阈值,以获得更好的敏感性(Se)和正预测性(Pp)性能。本研究结果如图7所示,选取最优ACF和持续阈值,可以显著影响MA/PLI识别和hf -噪声检测算法的性能。

(a)心电图信号受基线漂移和来自MIT-BIHA记录104的肌肉伪影影响。 (b)电力线干扰损坏的心电图信号。
图6所示。该框架在检测心电信号中存在的BW、MA和PLI噪声方面的有效性。
D.噪声检测与分类规则:
基于上述三个时间特征,我们构建了用于单噪声和组合噪声自动检测的噪声检测规则,总结如下:
1)基线漂移检测规则:利用以下时间特征检测基线漂移的存在MAA和NZC。定义BW噪声检测规则为:

检测结果如图5(a6)-(a7)和(b6)-(b7)所示。检测结果如图6(a6)-(a7)和(b6)-(b7)所示,分别为MA + BW噪声和PLI噪声破坏的噪声心电图信号。实验结果表明,该方法能够有效地检测单一噪声源和复合噪声源干扰的心电信号中BW噪声的存在。
2) MA/PLI噪声检测规则:
高频噪声的严重程度是根据高频信号h[n]的最大绝对振幅(MAA)来确定的。如果HF信号h[n]的MAA小于预先设定的0.05 mV阈值,则将ECG信号检测为无HF噪声的ECG信号。否则,对提取的高频信号h[n]进行进一步处理,从NZC包络线中得到门信号g[n],因为高频信号h[n]可能包含无噪声心电图信号的大振幅QRS分量。为高频信号h[n]获得的门信号g[n]可以包括脉冲持续时间相等/不等的局部脉冲。为了检测高频噪声的存在,将每个局部脉冲的持续时间与预先设定的上、下持续时间阈值进行比较。高频噪声检测规则定义为:
如果所有的局部脉冲都满足持续时间阈值,则检测为无高频噪声心电图信号。否则,从信号的第一个IMF中提取ACF包络线。MA/PLI噪声识别规则定义为:

然后对阈值化的ACF包络线的门信号进行进一步处理,确定心电信号中MA和PLI噪声部分的边界。从图5(a4)和(b4)的检测结果可以看出,所有的局部脉冲都满足一个预定义的宽度阈值。因此,心电图信号被检测为高频无噪声信号。高频噪声检测规则的输出结果如图5(a5)和(b5)所示,为无噪声心电图和只有BW噪声的噪声心电图信号。图6(a4)和图6(b4)的检测结果不符合脉宽判定规则。因此,心电图信号被检测为高频噪声的噪声心电图信号。高频噪声检测规则的输出如图6(a5)和(b5)所示,分别为MA和PLI噪声破坏的噪声心电图信号。噪声ECG信号的MA/PLI噪声识别结果如图6(a8)和(b8)所示。结果表明,ACF特征在区分MA噪声和PLI噪声方面是有效的。最后,结合上述三个决策结果,将处理后的心电信号分为6组:无噪声心电、心电+BW、心电+MA、心电+PLI、心电+BW+PLI、心电+BW+MA。

图7所示。说明了MA/PLI识别和HF噪声检测算法中预定义ACF和持续阈值的选择。
结果与讨论:
本节首先简要介绍用于评估该框架性能的不同基准ECG数据库和性能指标。在此基础上,提出了一种用于单噪声和复合噪声检测、局部化和分类的方法。
A:测试心电图数据库和性能指标:
在这项研究中,我们评估拟议的框架使用不同种类的无噪声的性能和嘈杂的ECG信号来自各种各样的基准心电图数据库,包括MIT-BIH心律失常(MIT-BIHA)数据库(34),MIT-BIH ST改变(MIT-BIHSTC)数据库(35),肺结核诊断心电图(PTBDECG)数据库(36),幻想曲数据库(37)和生理网/计算2011年心脏病的挑战(PCICC2011)数据库[38]。MIT-BIHA数据库包含48个两导联的动态心电图记录,每个半小时,来自47名受试者。这些录音以每秒360个样本的速度数字化,分辨率为11位。心跳、心跳类型和信号质量由专家标注。MIT-BIHA数据库包含15种不同类型的心跳、良好的心电图信号质量、信号丢失以及不同类型的噪音,如基线漂移和肌肉产物[34]。PCICC2011数据库包含2000条标准诊断带宽(0.05- 100hz)的12导联心电图记录(I, II, II, aVR, aVL,aVF, V1, V2, V3, V4, V5, V6)。同时记录引线至少10秒,并以每秒500个样本的速度进行数字化,分辨率为16位。由于电极错位、外界干扰、皮肤电极接触不良以及患者运动产生的伪影,心电图信号表现出不同程度的噪声和伪影。心电图信号被专家标注为“可接受”或“不可接受”。PTBDECG数据库包含290个受试者的549条高分辨率记录。每条记录由15条引线组成,包括12条引线和3条Frank引线ECGs (vx, vy, vz)。信号以每秒1000个样本的速度数字化,分辨率为16位[36]。MIT-BIHSTC数据库包括28个不同长度的双导联心电图记录,这些记录是在运动应激测试[35]期间记录的。Fantasia数据库包含20名年轻受试者和20名老年受试者120分钟连续仰卧休息心电图信号。每个信号以250hz的分辨率数字化,分辨率为12/16位。心电图信号显示明显的基线漂移和快速运动伪影噪声。
(a)用坐姿记录静息心电图 (b)广泛的活动条件和站立位置
图8所示。实时记录心电图信号的实验装置allenger Virgo多导联心电/脑电图数据采集系统
在本研究中,我们也使用Allengers Virgo多导联心电图/脑电图数据采集系统实时记录心电图信号,评估了该框架的性能。记录50名正常受试者的心电图信号,每组10分钟(休息5分钟和广泛肌肉活动5分钟)。本研究的实验设置如图8所示。实时记录坐着和广泛的肌肉活动情况下的心电图信号如图9所示。在性能评估中,利用基线漂移、肌肉伪影、电极运动[33]等真实心电图噪声,生成具有时变噪声水平和复合噪声源的不同类型的噪声心电图信号。然后,生成PLI噪声,并将其添加到从基准数据库获取的心电图信号中。对于某些心电图数据库,无法对信号质量和噪声类型进行人工标注。然而,所有10秒持续时间的心电图信号均手动标记为“可接受”或“不可接受”心电图信号及噪声类,即无噪声心电图、心电图+BW、心电图+MA、心电图+PLI、心电图+BW+PLI、心电图+BW+MA。
心电图噪声的性能检测和分类评估使用基准指标,如灵敏度(Se)、积极predictivity (Pp),特异性(Sp)和整体精度(OA),从真阳性的数量计算(TP),真正的底片(TN),假阳性的数量(FP),和假阴性的数量(FN)通过交叉验证的检测和分类的结果。性能指标定义为:


在本研究中,我们使用Se、Sp和OA指标来评估噪声检测的性能。噪声分类使用Se、Pp和CA指标进行评估。
在第一个实验中,我们评估了该框架在检测心电信号中噪声存在的有效性。比较的目的,我们实现了五个方法,QRS波群特征和模板匹配等[5],高阶统计(HOS)特性和QRS complex-based特性之后,机器学习分类器[14],移动average-based过滤器和低级特征[31],相关性PQRST形态的心电图胜[13],QRS-detection和RR-interval特性和启发式规则[18]。测试ECG信号包括夏普和高P波和T波,小型和宽QRS复合物,不规则的心电图形态模式、室性心动过速、心室颤动,颤动,心房纤维性颤动,颤动,左束支阻滞,右束支块,不规则的心律,由于设备饱和突变,出现长时间的停顿和各种模式的BW,马英九和PLI噪音。这些测试心电图信号分为四组:(i)组:窦性心律正常的干净噪声心电图信号;(ii) b组:干净嘈杂的室性心律失常心电图信号;(iii) c组:清洁嘈杂的房颤心电图信号;(iv) d组:实时记录心电图信号。四组心电信号的噪声检测结果如表1所示。该方法检测无噪声心电图和噪声心电图段平均Se为99.12%,Sp为98.56%,OA为98.90%。此外,对于实时记录的心电信号,该方法平均Se为99.13%,Sp为98.20%,OA为98.67%。检测结果表明,该方法对四组测试心电信号均优于五种噪声检测方法。本研究证明了本文提出的局部脉冲持续时间阈值为50ms - 300ms的NZC包络线短时特征对于利用改进的CEEMD算法从提取的高频信号中有效鉴别QRS复合物高频成分与高频噪声存在的潜力。

图9所示。在(a)坐姿(b)广泛的体力活动条件下实时记录心电图信号。
在第二个实验中,我们评估了该方法对心电信号的分类性能,分为无噪声心电、心电+BW、心电+MA、心电+PLI、心电+BW+PLI、心电+BW+MA六大类。5个标准心电图数据库的心电图信号噪声分类结果如表二所示。结果表明,该方法平均Se为98.19%,Pp为96.61%,Se为99.18%Pp分别为98.02%、Se为99.76%、Pp为99.89%,用于鉴别ECG+BW、ECG+MA、ECG+PLI的存在。该方法在识别ECG+BW+MA和ECG+BW+PLI存在时,平均Se为98.74%,Pp为96.46%,Se为99.81%,Pp为99.81%。本研究的总体混淆矩阵如表3所示。混淆矩阵的对角线元素表示分类正确的无噪声心电信号和不同噪声的噪声心电信号。矩阵的非对角元素表示分类错误的心电信号。从评价结果可以看出,人工标注时,低幅值BW和MA噪声损坏的心电信号被错误标注为无噪声心电信号。评价结果表明,所提出的归一化ACF的局部最大峰值幅值特征在区分PLI和MA分量方面具有良好的效果。实验结果进一步证明了改进的CEEMD算法提取心电信号基线漂移的有效性。
表1噪声检测性能比较在本方法与现有方法[5]、[14]之间,[13][18][31]使用四个心电图信号组。

A:窦性心律正常无噪声噪声心电图信号;
B:无噪声、有噪声的心电图信号伴室性心律失常;
C:无噪声、有噪声的心电图信号伴房性心律失常;
D:本研究记录的实时心电图信号。
表二 该方法的分类结果

表3 提出的方法的混淆矩阵为所有数据库

表4所提框架的短时突发噪声定位性能

在实际应用中,心电图信号经常被短脉冲噪声部分破坏,这种噪声不会持续很长时间。图10 (a)和(b)中的心电图信号显示存在高频噪声的短脉冲。在这种情况下,从心电信号中定位和提取短时突发噪声对鲁棒心电参数提取系统具有重要作用,在鲁棒心电参数提取系统中,不需进一步处理即可自动丢弃严重噪声部分。因此,我们研究了更适合该噪声定位任务的MAA、NZC和ACF特征的短期时间估计。为了评估性能,我们手工标记心电图信号中短脉冲噪声的端点。该方法的噪声定位性能如图10 (a)和(b)所示。噪声定位结果如表4所示。结果表明,该方法在定位持续时间为0.84 s - 5.56 s的噪声短时突发时,端点误差最大值为0.67 s,最小值为0 s。结果进一步表明,与BW噪声定位相比,该方法对高频噪声短脉冲定位具有更好的端点刻画性能。
基于广泛研究的五个标准心电图数据库,拟议的框架的关键优势总结如下:(i)它不需要QRS探测器仍是一个具有挑战性的任务甚至在无噪声的ECG信号由高P / T波达到高峰,小型和宽QRS复合物,时变心电图形态和不规则利率[2],[6];(二)产生最佳心电信号和噪声模型,不需要大量不同类型的心电信号和各种类型的单、组合心电噪声;(三)检测噪声的存在,识别噪声类型,提供心电信号中短时突发噪声部分的端点;(四)与现有的基于心电波形形态特征和区间特征的检测、定位和分类方法不同,它采用了三种时域特征对单个噪声和组合噪声进行检测、定位和分类,这对鲁棒QRS波检测器和心电波形描绘器的要求很高。该方法通过引入新的停止准则,大大降低了CEEMD算法的计算负荷。对单导联和多导联心电信号的评估结果表明,该框架在减少自动心电分析系统误报、提高心电去噪/压缩方法性能方面具有巨大的潜力。

图10所示。该方法在检测和定位不同QRS复杂形态学的心电图信号中肌肉噪声短脉冲的有效性。
本文提出了一种新的心电噪声自动检测、定位和分类的统一框架。提出了一种改进的CEEMD算法,给出了减少计算量的新的停止准则。我们探索了自相关函数的最大绝对振幅、零点个数、局部最大峰值等短时特征,用于识别BW、MA和PLI噪声。根据特征阈值规则,将处理后的心电片段分为6组:无噪声心电、心电+BW、心电+MA、心电+PLI、心电+BW+PLI、心电+BW+MA。该方法在5个标准心电图数据库中采集的大量单导联和多导联心电图信号上进行了验证。该方法在检测无噪声噪声心电信号时,平均Se为99.12%,Sp为98.56%,OA为98.90%。结果表明,在存在各种噪声和伪影的情况下,该方法对不同组心电信号的检测效果优于现有方法。分类结果表明,该方法将心电信号分为6组,平均Se为98.93%,Pp为98.39%,CA为97.38%。大量的评估结果表明,该方法的有效性和通用性上述时间特征与预定义的阈值在本研究中使用。与现有的方法不同,该统一框架不仅可以实现更好的心电噪声检测和分类率,而且可以准确定位心电信号中存在的短时突发噪声。
为了便于本论文的理解,记录下看过的觉得非常有价值的大神地址们,大神们的杰作不搬运,为了日后想看,整理如下:
1. https://wenku.baidu.com/view/3bba7029b4daa58da0114a9a.html
2. https://www.cnblogs.com/Dinging006/p/10282993.html
3. https://zhuanlan.zhihu.com/p/40005057
下一篇,是本论文的相关知识点补充。
原文出处:https://www.cnblogs.com/xubingkuai/p/10299584.html
来源:oschina
链接:https://my.oschina.net/u/4362704/blog/3270688