席南华院士:数学的意义

Deadly 提交于 2020-11-16 08:39:14

量与形是物质和事物的基本属性。它们是数学研究的对象,这决定了数学的价值和意义。

>>>>

数学其实关注的是量与形的数学规律,是现实世界的一个反映。数学的规律是物质和事物的基本属性的规律,是自然规律和社会规律中最实质的一部分

数学的意义和价值看起来已无需多说,但是数学的语言是抽象的,而抽象的面目基本上是人见人不爱,也常常被误认为远离现实世界和人间烟火,挺冤的。抽象的价值后面会说到。

1. 遥远的过去,数学是什么样子

 

数学有很长的历史。一般认为数学作为独立的有理论的学科出现于公元前600年至公元前300年期间,欧几里得的《原本》(约公元前300年)是一个光辉的典范。

它采用公理化体系系统整理了古希腊人的数学成就,其体系、数学理论的表述方式和书中体现的思维方式对数学乃至科学的发展影响深远。纵观数学发展史,《原本》是最有影响的数学书。

古希腊另一部伟大的数学著作是阿波罗尼奥斯的《圆锥曲线》,时间上它稍后于《原本》。这本书除了综合前人的成就,还有独到的创新,材料组织出色,写得灵活巧妙。这本书称得上圆锥曲线方面的巅峰之作,后人几乎对这个主题至少在几何上都说不出什么新东西。

几乎同时,就有数学史的研究了。亚里士多德(公元前384-322)的学生欧德摩斯(Eudemus,约公元前370-300)写有数学史的著作。

    

人类的文明史又要长得多。约一万年前人类开始定居在一个地区,靠农牧业生活。文字的出现却要晚得多,大约在公元前3200年左右。在此之前,人类在数学上的进展是极其的缓慢,原因在于发展水平低下,对数学的需求极低,抽象的数学概念从无到有的形成极不容易。

       

数学最基础的概念,数和直线,的形成经过了漫长的时间。

      

刚开始,人们对数的观念是与具体的物品联系在一起的,如一棵树,一块石头,两个人,两条鱼,等等。时光,在不停地流逝,…。逐渐地,人们领悟到一棵树,一块石头等具体物体的共同的数字属性,数的抽象概念形成了。

       

同样,刚开始,人们对线的观念和树,树枝,绳子,物体的边沿等具体的线形状联系在一起。时光,在不停地流逝…逐渐地,人们意识到直的树,拉紧的绳子,某些物体的笔直的边沿等具体物体的共同的形状属性,直线的抽象概念就形成了。

       

和直线概念的形成是人类认识自然的一个飞跃。

 

数学的产生与发展是实际生活推动的。最初产生的是算术与几何。

现实的需要产生了数之间的计算(如分配食物、交换物品,到指定日期前的天数等)。于是需要给数以名称,并能记下来告诉别人。

从文字产生之初就开始引进的数字符号在算术的发展上起了巨大的作用。

这是引进一般数学符号和公式的第一步。下一步,引进算术运算符号和未知数符号是很晚完成的,并不断改进,比如,我们熟悉的加减乘除的符号是在十五世纪至十八世纪间才开始使用。

算术最早是在巴比伦和埃及那儿发展起来,由于税收、丈量土地、贸易、建筑、天文等的实际需要。但这里主要是针对具体问题的计算和解答。 算术的这种形式并不是数学理论,因为其中没有关于数的一般性质(或说规律)。

向理论算术的过渡是逐渐进行的。古代中国、巴比伦、埃及,已经知道百万以上数的可能。这里已经显示出数列无限延续下去的可能性。但人们不是很快就明确意识到这一点。

阿基米德(公元前287-212)在《数砂法》中指明了命名大量砂粒的数目的方法。这是一件当时需要详细解释的事情。在今天其实也不是一件容易的事情。

公元前三世纪希腊人明确意识到两种重要思想:数列可以无限地延续下去;不但可以运用具体的数,还可以讨论一般的数,建立和证明关于数的一般性质。

例如《原本》中证明素数有无穷多个,后面会提到这个结论和证明。算术就这样发展成理论算术。

理论算术其实是数的理论,对具体的局部的问题的计算不是其主要内容,用概念和推理建立数的规律和一般性质是其主要的内容。当然,这会反过来在更高层次对具体的计算有帮助。

理论算术令人信服的根源:它的结论是从概念中运用逻辑方法得出,而逻辑方法和算术概念都是以数千年的实践为基础,以世界的客观规律为基础。

理论算术的概念和结论反映了事物的量的性质和关系,概括了大量的实践经验,在抽象的形式中表现出现实世界的那些经常和到处碰到的关系,对象可以是动物、农产品、星球……。

所以,算术的抽象性不是空洞的,而是通过长期的实践,概括了某些普遍的性质,从而具有广泛的应用性。对于全部数学,对于任何抽象概念和理论也都是这样的。理论应用广泛的可能性取决于其中所概括的原始材料的广泛性。

抽象自有它的局限性:应用到具体对象时仅反映了对象的一方面,常常仅有量是不够的。不能无限制地到处应用抽象概念。一只羊和一头狼加在一起,一升水和一把泥土混在一起都不是算术一加一应用的地方。真理是具体的,数学是抽象的。抽象应用到具体常常是一种艺术和技术。

     

数的发展历程也是很有意思的。最初是与具体对象相联的数,然后是抽象的数,进而是一般的数。每一阶段都依赖先前的概念和积累的经验。这也是数学概念形成的基本规律之一。

几何的起源与发展类似于算术的情形。测量,计算土地的面积和容器的体积,谷仓的容积,水利工程等的实际需要导致了几何的产生和发展,包括长度,面积,体积等概念。对于农民,知道土地的面积,对预计收成是很有益的。对于水利工程,知道土方量对工程需要多长时间完工是重要的。

巴比伦人和埃及人在几何发展的初始岁月(大约是公元前三千多年至公元前七百年期间)是领先者。刚开始,几何就是从经验总结出来的一些公式,包括求三角形,长方形,梯形,圆等的面积公式,长方体,球等的体积公式。

埃及人用来计算圆面积的公式 A=(8d/9)2在当时是惊人的好,其中d是直径。这个公式等于在圆的面积公式中取π=3.1605. 几何问题在计算上也是算术问题。

巴比伦人和埃及人那时应该未意识到他们的算法和规则需要根据,或能够通过演绎从一些结论推出另一些结论。他们所得到的公式或法则都是互相没有联系的,从而不成系统。

这时,希腊人登场了。他们去埃及和巴比伦做贸易,游历,学习数学和科学。埃及人和巴比伦人的算术与几何就这样大约在公元前七世纪传到希腊。随后就是群星闪耀的时代,有众多的学派。有意思的是那时中国大致是春秋战国时期,百家争鸣,思想家辈出:老子、孔子、墨子、孟子、庄子、荀子、韩非子……。

希腊古典时期(公元前600年至公元前300年间)很有影响的学派有:爱奥尼亚学派,毕达哥拉斯学派,厄尼亚学派,巧辨学派,柏拉图学派,亚里士多德学派等。

古希腊人对数学的最重大的思想贡献包括:数学研究抽象概念,一切数学结果必须根据事先明确规定的公理用演绎法推出。

几何就这样朝着几何理论方向发展;引入概念,对经验得到结论阐明之间的关系,发现新的结论。这个过程中,抽象的思维发挥了极其重要的作用。在现实物体的空间形式中抽象产生了几何的概念:点(没有大小)、线(没有宽度厚度)、面(没有厚度)……。

与算术一样,几何产生于实践,逐步形成数学理论。几何理论研究的是空间的抽象形式和关系。

这是它有别于其他研究物体的空间形式和关系的科学,如天文、测量等,或艺术如绘画、雕塑等,的地方。抽象的空间形式是无法做实验的,只能用逻辑推理的方法建立结论之间的联系,从已知的结论导出新的结论。

几何概念的明显性,推理的方法,结论的令人信服都如同算术那样以数千年的实践和世界的客观规律为基础。

在我们今天强调学科交叉对科学发展的重要性时,回顾历史,会发现那是一个似是而非的提法。

学科的交叉在历史上一直十分活跃,是产生进一步的一般概念、方法和理论的重要来源,对人类文明和科学的发展产生巨大的影响。最伟大的科学家,如阿基米德、牛顿、莱布尼兹、欧拉、高斯、爱因斯坦等在多方面都做出伟大的贡献。

就说算术与几何,数学最早的两个分支,在一开始就是密不可分,互相影响的。简单的长度测量就已经是算术与几何的结合了。测量物体长度时,把某种长度单位置放在物体上面,然后数一数共置放多少次。第一步(放置)是几何的,背后的几何概念是全等或重合,第二步(数)是算术的。

测量的时候常常发现所选用的单位不能在被测的物体上放置整数次。这时必须把单位加以分割,以便利用单位的一部分来更准确地测量物体,就是说不仅用整数,还要加上分数来表示被测物体的长度。

分数就这样产生了。这是几何与算术合作的结果,产生了重要的新概念 -- 分数,引起了数的概念从整数到分数的推广。

无理数的发现同样来自几何与算术的结合,但无理数的发现却是不能通过测量实现的,因为在实际测量中精度总是有限的,而无理数是无限不循环小数。

勾股定理告诉我们单位边长的正方形的对角线的长度是2的平方根,它是一个无理数。这样,数的概念就进一步发展了。而且,逐渐地人们把数理解为某个量与被取做单位的量的比值。

无理数的发现是体现数学理论在揭示自然规律和现象的威力与深刻性的一个典型例子。没有数学,很多的现象和规律是无法认识的。

数的进一步发展就是实数的概念,然后是复数的概念。然后是代数结构。

已故的伟大数学家华罗庚对数与形的联系有过精辟的评述:数缺形时少直观,形缺数时难入微1

----------------------------

1.原诗: 数与形,本是相倚依,焉能分作两边飞;数缺形时少直观,形缺数时难入微;数形结合百般好,隔离分家万事休;切莫忘,几何代数统一体,永远联系,切莫分离!见《华罗庚诗文选》,中国文史出版社,1986.

 

2. 数(shŭ)数(shù)

       

说起来,数学应该是从数(shŭ)数(shù)开始的。我们有谁不会数数呢,在会说话后不久,父母就会告诉我们数数,到幼儿园后数数的本领肯定就更大了。我们数数一般是

1,  2,  3,  4,  5,  6,……

似乎一般人不会想到用正整数把所有的整数都数一数。其实这是可能的,一个数法是:

0,  1,-1,  2,-2,  3,-3,……

这样就用正整数把所有的整数都数出来了。

 

一般人应该更不会想到用正整数把有理数(分数)来数一下,直觉看这似乎是不可能的事情。出人意料,这也是可能。

分数都能写成整数的比:0,±p/q,其中p,q是不等于0的正整数,没有大于一的公因子。

先按p+q的值的大小分成若干部分排序,每一部分再数,所以一种数法是:

0,1,-1,1/2,2,-1/2,-2,1/3,3,-1/3,-3,

1/4,2/3,3/2,4, -1/4,-2/3,-3/2,-4,……

就这样,我们用正整数把有理数也数清楚了。

好奇心当然不能这样结束了。我们可能琢磨怎样用正整数来数实数。这一次真的是没办法了:正整数无法数清楚实数。可以严格证明这一点,但我们这里不去说此事,虽然并不难。

故事还没有结束。

这里产生了一个问题:在自然数全体和实数全体之间有没有数的集合,它没法用正整数去数(即不能与自然数集建立一一对应),同时实数也没法用这个集合去数?

集合论(数学的一个分支)的创始人康托猜想:这样的集合不存在。这就是著名的连续统假设。希尔伯特在1900年国际数学家大会上作报告,列出了二十三个问题,连续统假设是第一个问题。由此可见这个问题的重要性。这二十三个问题对以后数学的发展产生了重大的影响。

哥德尔是伟大的数理逻辑学家,他在一九四〇年证明了连续统假设与我们平常用的公理体系是没有矛盾的。没有矛盾,并不意味着它是对的。

一九六三年科恩建立了强有力的方法——力迫法,用这个方法他证明了连续统假设之否与我们平常用的公理体系也是没有矛盾的。也就是说在我们常用的公理体系中,加入这个假设不会产生矛盾;加入这个假设之否,也不会产生矛盾。

这显然出乎常人的意料,一个重要而又自然的问题,竟在我们常用的公理体系里没法断定真假。逻辑的诡异由此可见一斑。科恩因在连续统假设上的工作获得1966年的菲尔兹奖。

连续统假设似乎已经弄明白了,但其实对这个问题的思考并没有停止, 仍在产生深刻的数学。

我们可以把连续统假设和平面几何的平行公理比较。对平行公理的思索和研究导致了双曲几何等非欧几何的产生。黎曼几何是非欧几何的一种,是广义相对论的数学框架。

好奇心,简单的好问题,总是能把我们带到很远,很远的地方。

3. 认识无限

在我们有限的生命中要认识无限似乎是一件困难的事情,甚至可能是一件让人不安的事情。古诗“生年不满百,常怀千岁忧”,又表明我们并不甘心局限于自己有限的时空。

但无限是令人敬畏的。帕斯卡说道“当我想到我生命的短暂逗留,被前后的永恒所吞噬,我所占据的小小空间,被我一无所知、对我一无所知的无限广阔的空间所淹没,我感到恐惧。这些无边无际的空间的永恒的寂静使我害怕2。”

整数有无限个,实数也有无限个。在数数的游戏中我们知道这两个无限是有本质差别的。

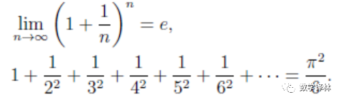
唯有数学能研究无限,揭示神奇的无限世界,并利用无限研究有限。例子包括极限,级数,无限集合…… 

下面两个等式就能让人感受数学利用无穷的神妙:

 

----------------------------

2.When I consider the short duration of my life, swallowed up in an eternity before and after, the little space I fill engulfed in the infinite immensity of spaces whereof I know nothing, and which know nothing of me, I am terrified. The eternal silence of these infinite spaces frightens me.  Blaise Pascal, in “Pensées”(原文为法文,意为沉思),1670。

伟大的数学家希尔伯特对无限的认识是深刻的:“从未有其他的问题能如此深刻地触动人的心灵;没有其他的思想能如此富有成果地激发人的思维逻辑领悟力;然而,也没有其他的概念比无限的概念更需要澄清3。”

4.一些观点

伟人们从不吝啬他们对数学的敬畏和赞美之词:

 

数学是现实的核心。

——毕达哥拉斯学派、柏拉图学派

我们常常听到的观点“万物皆数”源自毕达哥拉斯,他(的学派)还有类似的表述:数统治着宇宙;数是万物的本质。柏拉图学派深受毕达哥拉斯学派的影响,把数学摆在至高的位置:纯粹思想的最高形式是数学。

在柏拉图学园的大门上写着“无几何学识者勿入此门”。

柏拉图的《理想国》第七篇中有很长的对话讨论算术与几何的重要性,结论是算术迫使灵魂使用纯粹理性通向真理,几何是认识永恒事物的,把算术与几何作为青年人必需学习的第一门和第二门功课。

数学是自然界真实的本质。

——古希腊

有这样的认识,古希腊能在数学上取得开天辟地的成就似乎也就不奇怪了。

物理写在宇宙这本大书里,它持续地打开在我们眼前。但在我们学会书写宇宙的字符和语言之前,是无法读懂这本书的。它是用数学语言写成的,字符是三角形,圆以及其它的几何图形。没有(明白)这些意味着人力理解这本书的一个单词都是不可能的。没有这些,人就只能在黑暗的迷宫里徘徊4。

——伽利略

----------------------------

3.“Das Unendliche hat wie keine andere Frage von jeher so tief das Gemüt der Menschen bewegt; das Unendliche hat wie kaum eine andere Idee auf den Verstand so anregend und fruchtbar gewirkt; das Unendliche ist aber auch wie kein anderer Begriff so der Adfklärung bedürftig.” David Hilbert: In address (4 Jun 1925), at a congress of the Westphalian Mathematical Society in Munster, in honor of Karl Weierstrass. First published in Mathematische Annalen (1926), 95, 161-190 with title Über das Unendliche.

伽利略是近代实验科学与机械唯物主义的奠基人之一。他建立了落体定律,发现了惯性定律,确定了"伽利略相对性原理"等,是经典力学和实验物理学的先驱。也是利用望远镜观察天体取得大量成果的第一人。伽利略对数学的观点可以看做古希腊人的观点的一个发展。

 

数学是科学的皇后5。

——高斯

高斯被称为十九世纪的数学王子,是十九世纪最伟大的数学家,也是杰出的物理学家,天文学家,大地测量学家。他的这句话常被人引用,只是不知道高斯把皇帝弄哪儿去了。

 

在自然科学中,数学是不可思议地有效。

——尤金·维格纳

     

维格纳提出原子核吸收中子的理论并发现维格纳效应,因此1963年获诺贝尔物理学奖。

这个引言是维格纳1959年5月11日在纽约大学库朗数学研究所的报告的题目,文章1960年2月发表在库朗数学研究所主办的杂志《Communications in Pure and Applied Mathematics》上。维格纳的这个观点影响很大,问世后对这个观点的讨论和引申就一直没有停过。

 

----------------------------

 4.Philosophy (i.e. physics) is written in this grand book, the universe, which stands continually open to our  gaze. But the book cannot be understood unless one first learns to comprehend the language and read the letters in which it is composed. It is written in the language of mathematics, and its characters are triangles, circles, and other geometric figures without which it is humanly impossible to understand a single word of it; without these, one wanders about in a dark labyrinth.”  Galileo Galilei, The Assayer (Il Saggiatore (in Italian)), as translated by Stillman Drake (1957), Discoveries and Opinions of Galileo pp. 237-8.

 5.“Die Mathematik ist die Königin der Wissenschaften und die Zahlentheorie ist die Königin der Mathematik”, Wolfgang Sartorius von Waltershausen: Gauss zum Gedächtnis (高斯传), 1856. p.79.

上帝是等级非常高的数学家,构建宇宙时他用了十分高级的数学。我们在数学上气力不足的尝试使得我们能够理解宇宙的一点点。当我们继续发展越来越高级的数学时,可以希望我们能更好地理解宇宙6。 

——狄拉克

狄拉克发现了原子理论的富有成效的新形式,因此于1933年与薛定谔一起获得诺贝尔物理奖。他提出的狄拉克方程被誉为石破天惊之作,预言了正电子的存在,后被实验证实。他提出的δ函数极富创造性,惊世骇俗,当时的数学理论无法接纳,但在物理上很有用。

后来广义函数理论出现,数学理论才能解释和处理δ函数,原来它是一个广义函数。

数学必须驾驭我们理智的飞翔;数学是盲人的拐杖,没有它寸步难行, 物理中一切确实无疑的都应归功于数学和经验7。

——伏尔泰

伏尔泰是十八世纪法国哲学家和作家,法国资产阶级启蒙运动的泰斗。他的思想代表了整个启蒙运动的思想,启迪了民众的心智,影响了整整一代人。

法国数学的强大不仅是法国数学家的功绩,还有深刻的文化因素。

数学的发展与完善和国家的繁荣富强紧密相关8。 

——拿破仑

拿破仑是十九世纪法国伟大的军事家、政治家,法兰西第一帝国的缔造者。人们一般都关注他的军政成就,其实他在科教方面的成就对法国以后的发展也同样是至关重要的。

在法兰西第一帝国期间,法国制定了保留至今的国民教育制度,成立了公立中学和法兰西大学来培养人才,鼓励科学研究与技术教育事业的兴起。

----------------------------

6. “God is a mathematician of a very high order, and He used very advanced mathematics in constructing the universe. Our feeble attempts at mathematics enable us to understand a bit of the universe, and as we proceed to develop higher and higher mathematics we can hope to understand the universe better.” P. A. M. Dirac: The Evolution of the Physicist's Picture of Nature. Scientific American, May 1963, Volume 208, Issue 5.

7. “Mathematics must subdue the flights of our reason; they are the staff of the blind; no one can take a step without them; and to them and experience is due all that is certain in physics.” Francois Marie Arouet Voltaire, Oeuvres Completes, 1880, t. 35, p. 219.

8. “The advancement and perfection of mathematics are intimately connected with the prosperity of the State.” Napoléon Bonaparte: Correspondance de Napoléon, t. 24 (1868), p.112.

拿破仑对科学和文化事业极为关注。掌权后,他定时出席法兰西科学院的会议,邀请院士们报告科学进展,将许多奖赏授予科学家,包括外国的科学家。

拿破仑的关注促进了法国科学的繁荣,出现了拉普拉斯、拉格朗日、蒙日、萨迪·卡诺、傅立叶、盖·吕萨克、拉马克、居维叶等一大批耀眼的科学明星。

数学科学呈示了一个最辉煌的例子,不借助经验,纯粹理性就能成功地扩大其疆域9。

—— 康德

康德是十八世纪德国哲学家,被认为是所有时代最伟大的哲学家之一。他拥有渊博的自然科学知识,对道德有着深刻的理解。他的哲学对德国古典哲学和西方哲学具有深远影响,对马克思主义哲学的诞生也具有深刻影响。《纯粹理性批判》是其最有名的著作。

 

也许听起来奇怪,数学的力量在于它躲避了一切不必要的思考和它令人愉快地节省了脑力劳动10。

——马赫

马赫是十九世纪至二十世纪初奥地利物理学家和哲学家。高速飞行的马赫数就是以他命名。他最重要成就是在研究物体在气体中的高速运动时,发现了激波。马赫的《力学》曾对爱因斯坦产生深刻的影响。马赫也多次被多人提名为诺贝尔物理奖的候选人。

马赫的上述观点是一个似非而是的真理,后面我们会用哥尼斯堡七桥问题和晶体的分类加以说明。

----------------------------

9. “The science of mathematics presents the most brilliant example of how pure reason may successfully enlarge its domain without the aid of experience.” Immanuel Kant and F. Max Müller (trans.), 'Method of Transcendentalism', Critique of Pure Reason (1881), Vol. 2, p. 610. 还可参见:《纯粹理性批判》,p.575,  康德著,王玖兴主译,商务印书馆。

10. “Strange as it may sound, the power of mathematics rests on its evasion of all unnecessary thought and on its wonderful saving of mental operations.” Ernst Mach:  in E.T. Bell, Men of Mathematics (1937), Vol. 1, l (Roman numeral 'l')).

如果我感到忧伤,我会做数学变得快乐;如果我正快乐,我会做数学保持快乐11。 

——雷尼

雷尼(Alfréd Rényi)是二十世纪杰出的匈牙利数学家,主要研究概率论,也研究组合数学,图论和数列。雷尼告诉我们,做数学多好!

纯粹的数学构造使我们能够发现概念和联系这些概念的规律,这些概念和规律给了我们理解自然现象的钥匙12。

——爱因斯坦

为什么数学享有高于其他一切科学的特殊尊重,一个理由是因为他的命题是绝对可靠和无可争辩的,而其它一切科学的命题在某种程度上都是可争辩的,并且经常处于被新发现的事实推翻的危险之中。…数学之所以有高声誉,还有另一个理由,那就是数学给予精密自然以某种程度的可靠性,没有数学,这些科学是达不到这种可靠性的13。 

——爱因斯坦

爱因斯坦是二十世纪最伟大的科学家,妇孺皆知。其科学成就改变了人们对世界的认知。

他不仅是一位伟大的科学家,还是一位伟大的哲人,社会活动家,深切关注人类的命运。对自然,对社会,对人类的深刻认识让人惊叹其超人的才智和伟大的心灵。

----------------------------

11. “If I feel unhappy, I do mathematics to become happy. If I am happy, I do mathematics to keep happy.”  Alfréd Rényi: In P. Turán, 'The Work of Alfréd Rényi', Matematikai Lapok (1970), 21, pp.199-210.

12. “pure mathematical construction enables us to discover the concepts and the laws connecting them, which gives us the key to understanding nature.” Albert Einstein, In Herbert Spencer Lecture at Oxford (10 Jun 1933), 'On the Methods of Theoretical Physics'. Printed in Discovery (Jul 1933), 14, 227. Also reprinted in Philosophy of Science, Vol. 1, No. 2, (Apr., 1934), pp. 163-169. 中文翻译可见《爱因斯坦文集》第一卷,许良英等译,商务印书馆,2010. p.448.

13.“One reason why mathematics enjoys special esteem, above all other sciences, is that its propositions are absolutely certain and indisputable, while those of all other sciences are to some

extent debatable and in constant danger of being overthrown by newly discovered facts. ... But there is another reason for the high repute of mathematics, in that it is mathematics which affords the exact natural sciences a certain measure of certainty, to which without mathematics they could not attain.” Albert Einstein: Geometry and Experience, Published 1921 by Julius Springer (Berlin), also reprinted in “The Collected Papers of Albert Einstein”, Translation Volume 7, Princeton University Press, 2002. 中文翻译可见《爱因斯坦文集》第一卷,许良英等译,商务印书馆,2010. p.217.

宇宙之大,粒子之微,火箭之速,化工之巧,地球之变,生物之谜,日用之繁,无处不用数学14。 

——华罗庚

对于数学之用,华罗庚的评说是极其精辟的。

 

5. 探索世界的精灵

在实践中,通过感性和思考,获得了知识。进而,通过抽象的思维,建立了知识之间的联系,形成了科学。至此,理性和思维就有了自己的自由王国。

     

在自己的王国里,思维常常超出实际的需求很远。比如,十亿或百亿这样一些大数在计算的基础上产生,运用它们的实际需要是以后的事情;虚数是通过解方程x2+1=0产生的,后来才发现广泛的应用。

数学关注的是量与形的数学规律,是探索世界的一个精灵。在思维的自由王国里,它灵巧,有很大的自由空间飞翔,很多成果在完成后要过很久很久才得到应用。著名的例子包括:

l 两千多年前希腊人关于圆锥曲线的研究在17世纪被用于描写天体的运动。

l 黎曼几何是广义相对论的数学框架。

l 纤维丛理论在规范场理论中的作用。

l 矩阵和无限维空间在量子力学中的作用。

l 概率论在统计力学、生物和金融中的应用。

l ……

我国的文化和传统都是实用主义的,主要关注眼前的利益。在这儿,我愿意引用哲学家怀特海德的忠告:

“对那些只把知识和研究局限于明显有用的那些人,不会有比如下示例给出更深印象的告诫了:圆锥曲线只是作为抽象科学(的内容),被研究了一千八百年,除了满足数学家的求知欲外,没有任何实用的考虑,然而在这漫长的抽象研究的最后,它们被发现是获得最重要的自然规律之一的知识所必不可少的钥匙15。”

----------------------------

14.华罗庚:“大哉数学之为用”, 原载《人民日报》1959年5月28日。转载于《大哉数学之为用》(华罗庚科普著作选集),上海教育出版社

6. 数学的智慧

一般人对数学都是愿意敬而远之的,可是马赫却说数学能令人愉快地节省脑力(见前面的第4节:一些观点),这真是让人困惑的一个说法。可能马赫说的是数学的智慧。我们用两个例子说明这一点。

第一个例子是哥尼斯堡七桥问题。这个问题发生在18世纪,那时哥尼斯堡是普鲁士的城市,现在为俄罗斯的加里宁格勒。城市有一条河穿过,把城市分成四部分,有七座桥把这四部分连接起来,如下图16

 

据说,当时市民周末的一个很受欢迎的消遣是,能否设计一条路线,通过每一座桥正好一次。没人成功过,但这并不意味着不可能。1735年,丹茨溪(在哥尼斯堡西面约140公理)的市长受当地一个数学家之托,找到欧拉。欧拉是十八世纪最伟大的数学家,当时28岁,已经很有名了。

----------------------------

15. “No more impressive warning can be given to those who would confine knowledge and research to what is apparently useful, than the reflection that conic ps were studied for eighteen hundred years merely as an abstract science, without a thought of any utility other than to satisfy the craving for knowledge on the part of  mathematicians, and that then at the end of this long period of abstract study, they were found to be the necessary key with which to attain the knowledge of one of the most important laws of nature.” A. N. Whitehead, Introduction to Mathematics, London WILLIAMS \& NORGATE, pp110-111.

16.本图来源:https://plus.maths.org/content/bridges-k-nigsberg

欧拉是这样考虑问题的。河流把城市分成四部分,每一部分的大小不重要,重要的是过桥的路线设计。于是可以把陆地抽象成点,桥抽象成点之间的连线17。

       

从而问题就成为在上面的右图设计一条路线,经过每条连线(桥)正好一次。

假设有这样的路线。如果一个点不是起点,也不是终点,那么走到这个点的线路(即桥)和离开这个点的线路是不一样的。这要求,连接这个点的线路的数量必然是偶数。

上面的图有四个点,一条线路的起点和终点合起来至多两个。这是说,不管怎样设计路线,四个点中至少有两个点既非起点也非终点,连接这样的点的线路的数量必然是偶数。可是上面的图连接四个点的线路(即桥)都是奇数,分别是5, 3, 3, 3. 这意味着,对上面的图,不可能设计一条路线,经过每条连线(桥)正好一次。

欧拉解决这个问题的方式显示了抽象的价值和数学思维的智慧。欧拉的这项工作也标志了一个数学分支 -- 图论的诞生。图论在信息科学(包括网络和芯片设计)中非常有用。

 

第二个例子是晶体的分类。钻石和雪花都是晶体,非常的美。晶体具有很好的对称性。晶体的对称性其实对晶体种类带来很强的约束。数学中研究对称的分支是群论。于是数学在晶体的研究中就发挥了很大的作用。1830年德国人赫塞尔 (J. F. Ch. Hessel, 1796-1872) 确定晶体外形的对称形式共有32种(称为32种点群)。

----------------------------

17.两个图来源:https://plus.maths.org/content/bridges-k-nigsberg

确定了外形的对称形式后,人们转向晶体的内部结构。十九世纪德国人弗兰根海姆 (M.L. Frankenheim,1801-1869) 提出晶体内部结构应以点为单位,这些点在三维空间周期性地重复排列。

稍后法国人布拉维 ( A. Bravais, 1811-1863) 提出了空间格子理论,认为晶体内物质微粒的质心分布在空间格子的平行六面体单位的顶角、面心或体心上,微粒在三度空间中周期性地重复排列。他们确定了空间点阵的14种形式。

舍弃晶体的所有物理性质,仅从几何对称性的角度考虑晶体,在1885-1890 年间,俄国晶体学家费多洛夫确定了晶体的微观的对称形式是230种,即晶体的内部的空间(对称)群只有230种。

费德洛夫的工作是后来晶体实验工作的数学理论基础,对晶体的内部结构的确定发挥了巨大的作用。在实验中这230种对称都被发现。1912年德国人劳厄(M.V.Laue) 首次通过X射线揭示了晶体内部的周期性结构,证实了晶体构造的几何理论。

此后,英国人布拉格父子 ( William Henry Bragg,1862-1942; William Lawrence Bragg,1890—1971) 和俄国的乌尔夫 (Георгий (Юрий) Викторович Вульф,George (Yuri Victorovich)  Wulff , 或 G. V. Wulff,1863-1925) 相继得到晶体X射线衍射的基本方程,并测量了大量的晶体结构。特别,他们测到了一些原来费德洛夫认为是虚的晶体对称性(即认为仅理论上存在的对称性)。

劳厄,布拉格父子先后于1914年和1915年获得诺贝尔物理奖。以后关于晶体研究还有多项的工作获得诺贝尔奖。

7. 数学的美

数学家,还有一些物理学家,对数学之美的感受是强烈的,对数学之美的追求也是无尽的:

 

我的工作总是设法把真与美统一起来,但如果只能选择这个或另一个时,我常常选择美18。 

——外尔

外尔可能是二十世纪继庞加莱和希尔伯特之后最伟大的数学家,物理上的规范场理论亦是他提出。他写的《群论与量子力学》1928年首次出版。

据说,当时的理论物理学家都会把这本书放在书架上,但都不看,因为其中的数学太难了。外尔似乎相信美是更高层次的真实,因为我们所见所悟应该都只是真实的一部分,

而美常常能把我们带到更全面的真实。

美是(数学的)第一道检验:难看的数学在这个世界上没有长驻之地19。 

——哈代

哈代是二十世纪杰出的分析学家,也是他所在的时代英国最杰出的数学家。他的《一个数学家的独白》表达了他对数学的看法,影响颇广。

 

上帝用美丽的数学创造了这个世界。研究人员在尝试用数学表达自然界的基本定律时,应当主要力求数学美20。 

——狄拉克

----------------------------

18. “My work has always tried to unite the true with the beautiful and when I had to choose one or the other, I usually chose the beautiful.” Hermann Weyl, In Obituary by Freeman J. Dyson, 'Prof. Hermann Weyl, For. Mem. R.S.', Nature (10 Mar 1956), 177, p. 458. Dyson notes that this was told to him personally, by Weyl who was “half joking”.

19.Beauty is the first test: there is no permanent place in the world for ugly mathematics. — G. H. Hardy: In \it A Mathematician’s Apology (1940). First Electronic Edition, Version 1.0, March 2005, Published by the University of Alberta Mathematical Sciences Society, Available on the World Wide Web at http://www.math.ualberta.ca/mss/. 有中译本:《一个数学家的辩白》。

20. “God used beautiful mathematics in creating the world.” “The research worker, in his efforts to express the fundamental laws of Nature in mathematical form, should strive mainly for mathematical beauty.” Paul A. M. Dirac: in Paul Adrien Maurice Dirac: Reminiscences about a Great Physicist (1990), Preface, xv; p.110.

狄拉克对数学美的感受是独特的。狄拉克方程的产生就是实验与数学美的完美结合,仅凭当时的结果实验结果得出的方程在狄拉克看来不具有数学美,于是根据他自己对数学美的领悟,修改了方程,并根据修改后的方程预言了正电子的存在,后被实验证实。狄拉克的观点似乎和外尔的观点有相通之处。

狄拉克应该很喜欢自己的方程,他第一次与费曼相遇是在一次会议上,沉默良久后,狄拉克对费曼说:“我有一个方程,你也有么”。估计费曼当时是很郁闷的。

数学,如果正确地看,不但拥有真理,而且也具有至高的美21。 

——罗素

罗素是数学家,也是哲学家,获诺贝尔文学奖。他所写的《西方哲学史》从一个哲学家的角度而非哲学史家的角度看西方的哲学史,视角独特,脉络清晰,文笔流畅也不乏幽默。他对美的认识自然有着非常广阔的背景。

………

 

数学的美的含义无疑和其它的美如艺术等在形式美上有一些共性,但更多还是一种思维和逻辑的美,智慧的美,有自己的特质。每个人对数学的美的理解是不一样的,但下面的看法有助于把握数学的美的部分含义:

w 形式:清晰,简洁,简单,原创,新颖,优美,不同对象之间的联系

w 内涵:深刻,重要,基本,蕴意丰富

w 证明:清晰,干净利落,巧妙

 

我们用一些例子说明上面的观点。

第一个例子是勾股定理,西方称为毕达哥拉斯定理。勾三股四弦五是这个定理的一个特殊情况,由西周初年的商高提出。这个定理说直角三角形的两个直角边的平方和等于斜边的平方:

----------------------------

21. “Mathematics, rightly viewed, possesses not only truth, but supreme beauty.”  Bertrand Russell, Essay, `The Study of Mathematics' (1902), collected in Philosophical Essays (1910), pp.73-74.

 

证明是简单的。上图的大正方形的面积是斜边的平方c2, 它等于里面四个直角三角形的面积与小正方形的面积的和:

 

化简,展开,得

 

所以a2+b2=c2。

这个定理的形式与证明都能体现上面所说的数学美中形式与证明部分的含义。这个定理是基本的,其内涵深刻,蕴意丰富。

 

勾股定理的一个应用:在平面坐标上,一个点的坐标(x,y)满足方程

 

当且仅当这个点在半径为 r ,圆心在原点的圆周上。

勾股定理的应用非常广泛,这是它基本性的一个体现。其深刻内涵还在于从它那儿可以引申出很多的问题,比如:

Ø 什么样的正整数a,b,c 能成为直角三角形的边长?

Ø 边长都是整数的直角三角形的面积是不是整数?

Ø 如果直角三角形的边长都是有理数,什么情况下面积是整数(一个例子, 3/2,20/3,41/6是一个直角三角形的三个边长,面积是5。)这样的整数称为和谐数同余数

第三个问题和千禧年问题BSD猜想密切相关。谁能解决BSD猜想,除了荣誉,还能得到一百万美元。157是和谐数,以 157为面积的“最简单”的有理直角三角形的三边长是:

 

第三个问题和BSD猜想的复杂与困难由此可见一斑。

    

在谈到数学之美的含义时,里面有一条是"不同对象之间的联系"。这一点似乎和美扯不上,其实是思维、逻辑和智慧美的很重要的一点。我们从这个观点看勾股定理。

一般人们看勾股定理是这样的:知道直角三角形两个边的长,可以求出第三个边的长。这种实用主义的思维妨碍了我们的探索与创新。换一个角度看,勾股定理揭示了直角三角形三个边的联系。

这个角度一下子就给我们开阔的视野。比如说,三个数的平方有勾股定理的关系,也可以有高次幂的关系:

这就是数论中著名的费马方程。它们是否有不含零的整数解(即a,  b,  c是整数,但它们都不是0)是困扰数学家三百多年的问题。

为解决这个问题,产生了很伟大的数学:代数数论,现在是非常活跃的研究方向,名家辈出。费马方程问题最后上世纪90年代被外尔斯解决,这是上世纪一项伟大的数学成就,轰动一时,背后的故事也是不寻常的精彩。

第二个例子是出自欧几里得的《原本》,它断言:素数有无穷多个。在欧几里得的书中有一个优美的证明:如果结论不正确,那么只有有限个素数,设为p1,p2,…,pn 。把它们都乘起来,再加上1,得到一个数

m=1+ p1p2 …pn

那么p1,p2,…,p都不是m的因子,所以m的素因子和那n个素数都不同。这是一个矛盾,所以,素数有无穷多个。

这个证明干净利落,巧妙,能让人在心智上产生一种愉快的感觉。素数看上去很容易明白,但可能是数学里面最神秘最难以琢磨的对象了。对素数,很容易提出一些小学生都能明白的问题,但几百年来最有智慧的数学家也无法解决它们。

比如:素数在自然数中占有多少?

哥德巴赫猜想:每一个大于2的偶数都是两个素数的和。

孪生素数猜想:存在无穷多个素数p,使得p+2也是素数。

第一个问题的提法不够明确。我们可以让问题更加明确:对任意的自然数N,在1到N之间有多少个素数。这个问题谁也回答不了。不过数学家还是取得了很多的进展。

在十九世纪初,德国数学家高斯和法国数学家勒让德对于素数在自然数中的比例提出了一个著名的猜想,十九世纪末,阿达玛和德拉瓦勒-普森最先分别证明该猜想,这就是著名的素数定理。一九四九年赛尔伯格和厄尔迪斯分别给出素数定理的初等证明。这是赛尔伯格一九五〇年获菲尔兹奖的重要工作的一部分。

第二个问题很容易理解,也很容易举出例子,如

12=5+7,  88=5+83=17+71=29+59=41+47, ….

到目前为止,在哥德巴赫猜想上最好的工作依然是陈景润的结果。他在1973年发表的论文证明了每个充分大的偶数都可以写成一个素数加另一个数,另一个数的素数因子的个数不超过2(比如素数和6=2×3是这样的数,但12=2×2×3有三个素数因子,不合要求)。

陈景润的结果在世界上被誉为陈氏定理。在我国,它有一个误导的名称:陈景润证明了1+2,是徐迟那篇影响广泛的报告文学"哥德巴赫猜想"的一个副产品。

徐迟的这篇报告文学激励了一代人对数学的热情和对哥德巴赫猜想的敬意。陈景润也收到了巨量的敬仰、爱慕的信件。这种盛况对数学家后来再也没有出现过。

     

曾经有人和我说起陈景润的工作,他是完全字面上理解1+2. 我试图给他解释陈景润工作中1+2的含义。他听后斜乜了我一眼,说:"你不懂"。我登时无语,深叹做科普不易。

同时也发现有时人们是多么地执着于自己不合事实的理解,那似乎和自己的自尊心与心智安全感是分不开的。

第三个问题也是很容易理解的。如3, 5和41,  43都是相差2的素数对。问题就是这样的素数对是否有无限个。

2013年华裔数学家张益唐在这个问题上取得巨大的突破,他证明了存在无穷多对素数,每一对素数的差都不超过7千万。张益唐的结果轰动一时,他本人在逆境中保持对自己理想追求的故事也是非常励志的,感动了世界。

     

素数是数学研究的最基本的对象之一,到目前为止,看上去人类并未显示有足够的智力去完全理解它们。数学中最有名的问题是黎曼假设,它与素数研究有非常密切的关系。实际上,当时黎曼提出这个猜想就是为了研究素数。黎曼假设现在还没有解决是一点也不奇怪的。

第三个例子是根号2的无理性,它在古希腊是带来很多困扰的一个数。定理:如果x2=2,那么x不是有理数。

我们同样可以给一个富有美感的证明。如果结论不正确,就会存在整数a和b使得x=a/b。可以假设a和b互素。对xb=a两边平方,得x2b2=a2。即2b2=a2,所以a是偶数,a=2p。

这样2b2=4p2,b2=2p2,所以b是偶数。于是,a和b都是偶数,有公因子2,矛盾。从而x不是有理数。

 

到这儿,或许我们会突然想到小学就学过的圆周率π是不是无理数呢?好像小学和中学都没有人说起此事。其实这是一个好问题,和古希腊的著名难题化圆为方密切相关。

这个问题说仅通过直尺(没有刻度)和圆规是否能作出一个正方形,其面积是给定圆的面积。这个问题直到1882年林德曼证明了π的超越性才知道答案是否定的。

林德曼的工作告诉我们,π其实是极其无理的数,称为超越数,比根号2要无理的多。超越数的研究也是很有意思的,是数论的重要组成部分。上个世纪贝克尔因为超越数的研究于1970年获得菲尔兹奖。

不谈数学的形美是不能完整认识数学美的。在几何中有很多重要的几何对象都是异常美丽的,让人惊艳22。

(1) 极小曲面: 极小曲面在微分几何中是很重要的。在丘成桐等人关于广义相对论中的正质量猜想的证明中,极小曲面是主要的工具。

 

 

(2) 分形几何:分形是上世纪研究海岸线发现的,后来成为重要的数学分支。

 

 

(3) 动力系统: 动力系统到处都有。数学中的动力系统的研究源于庞加莱关于天文中三体运动的研究,现在是数学中非常活跃的研究分支,有多人因动力系统的研究获菲尔兹奖。

----------------------------

22.下面四个彩图和下一节的图形均来自网络。

 

(4) 卡拉比-丘流形:卡拉比-丘流形是非常重要的流形,研究者众,在弦论中起基本的作用。

 

 

 

毫无疑问,我们可以把数学中的质美和形美无限地展示下去,但篇幅所限,应该打消这个念头,把更多的数学美留给读者去探索。

8. 数学家

数学家是一群有特殊天赋的人,其个性与轶事也是多姿多彩。

 

控制论创始人维纳要搬家了。搬家那天,他太太再三叮嘱下班后要到新地址。当然,和以往一样,维纳忘记了,下班后习惯性地回到旧址,发现有异。昏暗的光线下发现旁边有一个女孩,问:“对不起,也许你认识我。我是诺伯特·韦纳,我们刚搬家。你知道我们搬到哪里去了吗?”女孩回答说:“是的,爸爸,妈妈就知道你会忘记的。”

维纳曾在三十年代访问中国,在清华讲学,他很赏识华罗庚。

 

德林(Deligne)才气过人,因证明魏伊猜想获菲尔兹奖。他说:能否做数学难题只是心理问题。这颇有点说我行我就行,说我不行就不行的味道。这个说法也呼应了一个广为流传的真假莫辨的故事。

某日,某牛大学上课,一个学生因故迟到了,到教室时课已经结束了。黑板上留下七个题目,他认为是作业。他回去就做这些作业。一周后交作业的时间到了,这个学生感到非常的痛苦,他只做出来两道题,虽然他对第三道题有好的想法,但已经没有时间完成了。当他沮丧地把部分完成的作业扔到教授桌上时,

     

教授:是什么?

     

学生:作业啊。

   

教授:什么作业?

学生这时才搞清楚,上周课堂上教授在黑板上写的是该方向最重要的七个未解决的问题。据说,这个学生成为职业数学家后就再也没有做出这么优秀的工作。

匈牙利数学家厄尔迪斯有传奇色彩,无固定居所,总在旅行,到一处就与那儿的数学家合作,所以其合作者的数量是惊人的。他认为:数学家就是把咖啡变成定理的装置。

西格尔,德国数学家,获首届沃尔夫奖,他是很聪明又很努力的那类数学家。小平邦彦,日本数学家,获菲尔兹奖,常说自己天资不好,但做事一丝不苟,全身心投入,第一次学习范德瓦尔登的《代数学》,几乎学不懂,就开始抄书,直到抄懂。

一个数学家谈到他已故的同事:“他犯了很多错误,但都是朝着好的方向犯的。我试着这样做,但发现犯好的错误是很困难的。”

物理学家开尔文(开氏温度就是以他命名)这样看数学家:数学家是这样的人,他觉得下面这个公式很明显:

 

 

笛卡尔是数学家,也是哲学家。数学上他创立了解析几何,哲学上,他提出``我思故我在",引起人们对意识与存在的关系的深思。

有一个传言,说他与瑞典的公主克里斯蒂娜恋爱,文字传情因被皇室审查受阻,于是他用方程 r=a(1-sinθ) 表达他的炽情。公主看后很快明白了这独特的情书,这个方程是一个极坐标方程,其图像是

 

 

看来,数学不仅是描写大自然的语言,也是描写爱情的语言。


本文根据作者同名报告整理而成。文中绝大部分材料都是广为人知的。历史部分主要参考资料如下:

1. 数学,它的内容,方法和意义,第一卷,(俄)A.D. 亚历山大洛夫等著,科学出版社,2001.

2. 古今数学思想,第一卷,(美) M. 克莱因著,上海科技出版社,1979年.

其他的参考资料颇繁杂,包括网络资源,部分出处在文中的注释列出,还有很多参考资料难以一一列举。

—THE END—

编辑 ∑Gemini

来源:数学译林

文章推荐

法国数学长盛不衰的历史渊源

数学简史:现代数学的五大应用

相对论的根源

从金庸的武侠到数学的江湖

丘成桐谈几何:从黎曼、爱因斯坦到弦论

程序员常见的口头禅,哈哈哈哈~

易学教程内所有资源均来自网络或用户发布的内容,如有违反法律规定的内容欢迎反馈
该文章没有解决你所遇到的问题?点击提问,说说你的问题,让更多的人一起探讨吧!