行列式
主要内容
1.行列式的定义及性质
2.行列式的展开公式
一.行列式的定义
1.排列和逆序
排列:由n个数1,2,…,n组成的一个有序数组称为一个n级排列,n级排列共有n!个
逆序:在一个排列中,如果一个大的数排在了一个小的数前面,就称这两个数构成了一个逆序
逆序数:在一个排列i1,i2,…,in中,逆序的总数称为该排列的逆序数,记为τ(i1i2…in)
如τ(32514)=5
2.行列式的定义

注:对于行列式的定义把握以下两点
1、 n阶行列式每一项是取自不同行,不同列的n个元素的乘积,共有n!项
2、 当行下标顺排时,每一项的正负号由列下标j1j2…jn的逆序数决定τ(j1j2…jn)

二.行列式的性质
性质1:行列互换,其值不变
性质2:两行(列)互换,行列式的值变号
性质3:两行(列)相同,行行列式的值为0
性质3:某行(列)有公因子k,则可把k提到行列式外
特别地:
1.某行(列)全为0,行列式的值为0
2.某行(列)元素对应成比例,行列式的值为0
性质4:某行(列)是两个元素之和,则可拆成两个行列式之和

性质5:某行(列)元素的k倍加到外一行(列)对应元素上,行列式的值不变
三.行列式的展开公式
1.余子式
在行列式中,去掉元素aij所在地i行,第j列元素,由剩余的元素按照原来的位置与顺序组成的n-1阶行列式称为元素aij的余子式记为Mij
2.代数余子式称

3.行列式按行(列)展开公式
行列式的值等于它的任一行(列)元素与其对应的代数余子式乘积之和

四.几个重要的行列式
1.上(下)三角行列式
2.关于副对角线行列式
3.两个特殊的拉普拉斯展开式
4.范德蒙行列式
计算数值型行列式
基本思想:利用行列式的性质恒等变形,以期望出现尽可能多的0元素,再使用展开式公式,另外也需要灵活应用上面几个重要的展开式
矩阵及其运算
1.矩阵的基本运算
2.幂,转置,伴随,逆
3.初等变换与初等矩阵
4.秩
一.矩阵的定义
由m n个数,排成的m行n列的表格

若m=n,则称为n阶方阵
若A与B,都是m n的矩阵,则称A与B是同型矩阵
若A与B是同型矩阵且对应元素aij=bij,则A=B
特殊的几个矩阵
1.零矩阵,每个元素都是0的矩阵,记为O
2.行向量,只有一行的矩阵称为行矩阵,也叫行向量
3.列向量,只有一列的矩阵称为行矩阵,也叫列向量
4.单位阵,主对角元素均为1,其余元素全为0的n阶方阵
5.数量阵,主对角元素均为k,其余元素全为0的n阶方阵
6.对角阵,主对角以外的元素全为0
7.上(下)三角阵,主对角以下(以上)元素全为0
二.矩阵的基本运算
1.加法运算,同型且对应运算相加
2.数乘运算,数k乘每一个元素
3.乘法运算,A的列等于B的行,且对应元素相乘再相加

4.方阵的幂
5.转置的运算

6.方阵的行列式


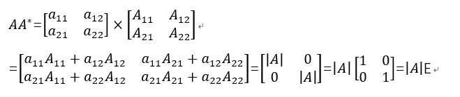
三.伴随矩阵
1.定义



后续更新中.....
来源:oschina
链接:https://my.oschina.net/u/4417072/blog/3646834