算法原理
或许大多数人对于高斯滤波的印象都停留在使用一个高斯在图像滑动然后计算结果。这的确没错,但从速度上考虑这种模式是难以优化的。也导致在极大分辨率图像上进行高斯滤波是压根不可行的。幸运的是,高斯滤波实际上还有另外一种表达方式,那就是递归表达。这最早见于《Recursive implementation of the Gaussian filter》论文中:

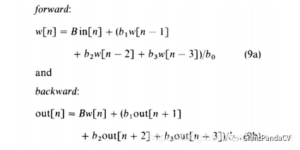
在forward的过程中,n是递增的,所以,我们在进行forward之前将in数据复制给w,然后上式即可变形为:

同理backward过程中n是递减的,因此在backward前将w的数据完整的拷贝到out中,则式9b则变为:

从编程实现来看,这个拷贝是没有必要的,所以1b可以写成:

从速度上看,最好是能够去掉1a和1b的除法,所以这里重新定义b1 = b1 / b0, b2 = b2 / b0, b3 = b3 / b0, 最终得到我们使用的递归公式:

这个递推公式的意义就是通过forward和backward来完成一维的高斯滤波。而二维的高斯滤波就是先行后列或者先列后行进行一维的高斯滤波。
算法具体过程
1、CalGaussCof 计算高斯模糊中使用到的系数
2、ConvertBGR8U2BGRAF 将字节数据转换为浮点数据
3、GaussBlurFromLeftToRight 水平方向的前向传播
4、GaussBlurFromRightToLeft 水平方向的反向传播
5、GaussBlurFromTopToBottom 竖直方向的前向传播
6、GaussBlurFromBottomToTop 竖直方向的反向传播
7、ConvertBGRAF2BGR8U 将结果转换为字节数据
朴素代码实现步骤
1、CalGaussCof 计算高斯模糊中使用到的系数
这个工程按照公式来,技巧性不高。
void CalcGaussCof(float Radius, float &B0, float &B1, float &B2, float &B3){float Q, B;if (Radius >= 2.5)Q = (double)(0.98711 * Radius - 0.96330); // 对应论文公式11belse if ((Radius >= 0.5) && (Radius < 2.5))Q = (double)(3.97156 - 4.14554 * sqrt(1 - 0.26891 * Radius));elseQ = (double)0.1147705018520355224609375;B = 1.57825 + 2.44413 * Q + 1.4281 * Q * Q + 0.422205 * Q * Q * Q; // 对应论文公式8cB1 = 2.44413 * Q + 2.85619 * Q * Q + 1.26661 * Q * Q * Q;B2 = -1.4281 * Q * Q - 1.26661 * Q * Q * Q;B3 = 0.422205 * Q * Q * Q;B0 = 1.0 - (B1 + B2 + B3) / B;B1 = B1 / B;B2 = B2 / B;B3 = B3 / B;}
2、ConvertBGR8U2BGRAF 将字节数据转换为浮点数据
这个也没有什么技巧可言,就是整数强制转浮点数。这里是普通的C语言实现,所以输出的float数组仍然是3通道的,之后会看到SSE优化后会是4通道的。
void ConvertBGR8U2BGRAF(unsigned char *Src, float *Dest, int Width, int Height, int Stride){//#pragma omp parallel forfor (int Y = 0; Y < Height; Y++){unsigned char *LinePS = Src + Y * Stride;float *LinePD = Dest + Y * Width * 3;for (int X = 0; X < Width; X++, LinePS += 3, LinePD += 3){LinePD[0] = LinePS[0]; LinePD[1] = LinePS[1]; LinePD[2] = LinePS[2];}}}
3、GaussBlurFromLeftToRight 水平方向的前向传播
按照前向传播的公式来。
void GaussBlurFromLeftToRight(float *Data, int Width, int Height, float B0, float B1, float B2, float B3){//#pragma omp parallel forfor (int Y = 0; Y < Height; Y++){float *LinePD = Data + Y * Width * 3;//w[n-1], w[n-2], w[n-3]float BS1 = LinePD[0], BS2 = LinePD[0], BS3 = LinePD[0]; //边缘处使用重复像素的方案float GS1 = LinePD[1], GS2 = LinePD[1], GS3 = LinePD[1];float RS1 = LinePD[2], RS2 = LinePD[2], RS3 = LinePD[2];for (int X = 0; X < Width; X++, LinePD += 3){LinePD[0] = LinePD[0] * B0 + BS1 * B1 + BS2 * B2 + BS3 * B3;LinePD[1] = LinePD[1] * B0 + GS1 * B1 + GS2 * B2 + GS3 * B3; // 进行顺向迭代LinePD[2] = LinePD[2] * B0 + RS1 * B1 + RS2 * B2 + RS3 * B3;BS3 = BS2, BS2 = BS1, BS1 = LinePD[0];GS3 = GS2, GS2 = GS1, GS1 = LinePD[1];RS3 = RS2, RS2 = RS1, RS1 = LinePD[2];}}}
4、GaussBlurFromRightToLeft 水平方向的反向传播
按照反向传播的公式来。
void GaussBlurFromRightToLeft(float *Data, int Width, int Height, float B0, float B1, float B2, float B3) {for (int Y = 0; Y < Height; Y++) {//w[n+1], w[n+2], w[n+3]float *LinePD = Data + Y * Width * 3 + (Width * 3);float BS1 = LinePD[0], BS2 = LinePD[0], BS3 = LinePD[0]; //边缘处使用重复像素的方案float GS1 = LinePD[1], GS2 = LinePD[1], GS3 = LinePD[1];float RS1 = LinePD[2], RS2 = LinePD[2], RS3 = LinePD[2];for (int X = Width - 1; X >= 0; X--, LinePD -= 3){LinePD[0] = LinePD[0] * B0 + BS3 * B1 + BS2 * B2 + BS1 * B3;LinePD[1] = LinePD[1] * B0 + GS3 * B1 + GS2 * B2 + GS1 * B3; // 进行反向迭代LinePD[2] = LinePD[2] * B0 + RS3 * B1 + RS2 * B2 + RS1 * B3;BS1 = BS2, BS2 = BS3, BS3 = LinePD[0];GS1 = GS2, GS2 = GS3, GS3 = LinePD[1];RS1 = RS2, RS2 = RS3, RS3 = LinePD[2];}}}
剩下的朴素代码可以在我的github上查看:https://github.com/BBuf/Image-processing-algorithm-Speed/blob/master/speed_gaussian_filter_sse.cpp
速度优化
1、对ConvertBGR8U2BGRAF的SSE优化
这里需要对BGR图像新增一个通道(Alpha),新的通道值这里直接填0。
void ConvertBGR8U2BGRAF_SSE(unsigned char *Src, float *Dest, int Width, int Height, int Stride) {const int BlockSize = 4;int Block = (Width - 2) / BlockSize;__m128i Mask = _mm_setr_epi8(0, 1, 2, -1, 3, 4, 5, -1, 6, 7, 8, -1, 9, 10, 11, -1);__m128i Zero = _mm_setzero_si128();for (int Y = 0; Y < Height; Y++) {unsigned char *LinePS = Src + Y * Stride;float *LinePD = Dest + Y * Width * 4;int X = 0;for (; X < Block * BlockSize; X += BlockSize, LinePS += BlockSize * 3, LinePD += BlockSize * 4) {__m128i SrcV = _mm_shuffle_epi8(_mm_loadu_si128((const __m128i*)LinePS), Mask);__m128i Src16L = _mm_unpacklo_epi8(SrcV, Zero);__m128i Src16H = _mm_unpackhi_epi8(SrcV, Zero);_mm_store_ps(LinePD + 0, _mm_cvtepi32_ps(_mm_unpacklo_epi16(Src16L, Zero)));_mm_store_ps(LinePD + 4, _mm_cvtepi32_ps(_mm_unpackhi_epi16(Src16L, Zero)));_mm_store_ps(LinePD + 8, _mm_cvtepi32_ps(_mm_unpacklo_epi16(Src16H, Zero)));_mm_store_ps(LinePD + 12, _mm_cvtepi32_ps(_mm_unpackhi_epi16(Src16H, Zero)));}for (; X < Width; X++, LinePS += 3, LinePD += 4) {LinePD[0] = LinePS[0]; LinePD[1] = LinePS[1]; LinePD[2] = LinePS[2]; LinePD[3] = 0;}}}
首先定义了一个BlockSize=4,这是因为SSE是128位,每次可以处理128/8=16个uchar类型的数,其中每一个像素都是4个值,因为这里要新增一个通道。而int Block = (Width - 2) / BlockSize这行代码是因为_mm_loadu_si128一次性加载了5 + 1 / 3个像素值(这里指的是Src),当在处理最后一行像素时,如果Block取Width / BlockSize则有可能会超出像素范围内的内存,而-2则是因为额外的1/3像素起作用。循环挺好理解的,其中_mm_loadu_si128一次性加载16个字节的数据到SSE寄存器中,对于RGB图像 ,16个字节里包含了5+1/3个像素的信息,而我们要做的是把这些数据转换为4个通道的信息,因此,我们只能一次性的提取16/4=4个像素的值,这借助于_mm_shuffle_epi8函数和合适的Mask来实现,_mm_unpacklo_epi8/_mm_unpackhi_epi8分别提取了SrcV的高8位和低8位的8个字节数据并将它们转换为8个16进制数保存到Src16L和Src16H中,而_mm_unpacklo_epi16/_mm_unpackhi_epi16则进一步把16位数据扩展到32位整形数据,最后通过_mm_cvtepi32_ps函数把整形数据转换为浮点型。
2、对GaussBlurFromLeftToRight 水平方向的前向传播的SSE优化
void GaussBlurFromLeftToRight_SSE(float *Data, int Width, int Height, float B0, float B1, float B2, float B3) {const __m128 CofB0 = _mm_set_ps(0, B0, B0, B0);const __m128 CofB1 = _mm_set_ps(0, B1, B1, B1);const __m128 CofB2 = _mm_set_ps(0, B2, B2, B2);const __m128 CofB3 = _mm_set_ps(0, B3, B3, B3);for (int Y = 0; Y < Height; Y++) {float *LinePD = Data + Y * Width * 4;__m128 V1 = _mm_set_ps(LinePD[3], LinePD[2], LinePD[1], LinePD[0]);__m128 V2 = V1, V3 = V1;for (int X = 0; X < Width; X++, LinePD += 4) {__m128 V0 = _mm_load_ps(LinePD);__m128 V01 = _mm_add_ps(_mm_mul_ps(CofB0, V0), _mm_mul_ps(CofB1, V1));__m128 V23 = _mm_add_ps(_mm_mul_ps(CofB2, V2), _mm_mul_ps(CofB3, V3));__m128 V = _mm_add_ps(V01, V23);V3 = V2; V2 = V1; V1 = V;_mm_store_ps(LinePD, V);}}
这里ImageShop提到了之所以没有使用_mm_storeu_ps而是直接使用_mm_store_ps是因为分配Data内存时,采用了_mm_malloc分配了16字节对齐的内存,而Data每行元素的个数又是4的倍数,因此每行起始位置处的内存也是16字节对齐的,所以字节_mm_store_ps是可行的。
之后的水平方向的反向传播,垂直方向的传播代码均可以在我的github找到。
最后,ConvertBGRAF2BGR8U的SSE的代码,这一段要进行SSE优化的难度确实是蛮大的,我实现的瓶颈在于我不知道如何将SSE向量映射为只保存3个值的一个像素,这里我还需要再继续探索下去,我先给一份我的普通实现(没有SSE优化):(补充一下,实际上我已经探索出来了SSE优化方式,不过需要依赖于大量的shuffle指令,速度优化似乎不明显,所以就暂时不放了)。
void ConvertBGRAF2BGR8U_SSE(float *Src, unsigned char *Dest, int Width, int Height, int Stride) {for (int Y = 0; Y < Height; Y++) {float *LinePS = Src + Y * Width * 4;unsigned char *LinePD = Dest + Y * Stride;for (int X = 0; X < Width; X++, LinePS += 4, LinePD += 3) {LinePD[0] = LinePS[0]; LinePD[1] = LinePS[1]; LinePD[2] = LinePS[2];}}}
速度测试
普通版和SSE优化版(没有最后一个颜色通道转换的优化)完整的代码可以在我的github找到,现在我给出我的时间测试表,Corei7 8770单核,图片分辨率为4032*3024。

后记
这个算法的加速比确实不大,但是这是SSE算法优化系列的第2篇,只是想表达算法优化和算法具有同等重要的作用,算法是谁都能做,但没有耐心,是很难做优化工作的,因此和寄存器/底层打交道是大多数人比较反感的。
本文分享自微信公众号 - GiantPandaCV(BBuf233)。
如有侵权,请联系 support@oschina.cn 删除。
本文参与“OSC源创计划”,欢迎正在阅读的你也加入,一起分享。
来源:oschina
链接:https://my.oschina.net/u/4580321/blog/4587049