思维导图

一、数据通信的理论基础
物理层的作用:提供透明的比特流传输
- 封装好的数据以“0,1”比特流的形式进行传递,从一个地方搬运到另一个地方
- 物理层上的传输,从不关心比特流里面携带的信息,只关心比特流的正确搬运
四个特性
- 机械特性(mechanical characteristics):指明接口所有接线器的形状、尺寸、引脚数和排列等,如RJ45
- 电气特性(electrical characteristics):指明在接口电缆的各条线上出现的电压的范围
- 功能特性(functional characteristics):指明某条线上出现的某一电平的电压表示何种意义
- 规程特性(procedural characteristics):指明对于不同功能的各种可能事件的出现顺序,概念类似于协议
物理层上数据的传输:信号(数据的电气或电磁表现)
分类
- 模拟信号:对应时域的信号取值是连续的

- 数字信号:对应时域的信号取值是离散的
,其中有个概念:码元:代表不同离散值的基本波形
传输的过程
- 信号在信道/传输介质上的传输
- 信号在传输过程中,可以看成由很多不同频率的分量的传输
- 高频分量的不等量衰减,接受方收到的信号是衰变和变形(失真)的。从0~fc这一频段,振幅在传输过程中不会明显衰减,fc称为截止频率,单位Hz
物理带宽、数字带宽和两者的关系
物理带宽
- 传输过程中振幅不会明显衰减的频率范围,单位:Hz
- 是一种物理特性,通常取决于介质材料的构成、厚度、长度
数字带宽
- 单位时间内流经的信息总量
物理带宽和数字带宽关系
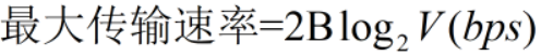
- 奈奎斯特定理:在无噪声信道中,当物理带宽为BHz,信号离散等级为V级,那么该信道能提供的最大传输速率(数字带框),可用以下公式:
![]()
- 香农定理:在有噪声信道中,如果物理带宽为BHz,噪声比为S/N,那么最大的传输速率
![]()
-
- 很多情况下,噪声用分贝(dB)表示,

- 在信道一定的时候,物理带宽确定,要想提高最大数据传输率(数字带宽),只有增加信噪比。
- 很多情况下,噪声用分贝(dB)表示,
二、有导向的传输介质
分类
- 引导性传输介质:铜线、光纤
- 非引导性传输介质:无线电、卫星
下面主要分析引导性的传输介质
同轴电缆:如下图

分类
- 基带同轴电缆:50Ω,用于数字传输,屏蔽层为铜
- 宽带同轴电缆:75Ω,用于模拟传输,屏蔽层为铝
分类二
- 粗缆 最大传输距离为500米
- 细缆 最大传输距离为185米
双绞线(Twist Pair Cable)
- 由两根具有绝缘层的铜导线,按一定密度,逆时针绞合而成
- 消除:近端串扰(Crosstalk)
- 绞距(扭矩):绞距越小(紧),越均匀。则抵消效果越好,传输性能越好。
1. 非屏蔽双绞线(UTP : Unshielded Twisted Pair)
- 五类双绞线,提供10M、100M的数字带宽,使用其中的两对线,分别用于收和发。100M的以太网中,用到了全部的四对线
- 最大传输距离100米,广泛用于局域网中
- 优点:成本低、易于安装、尺寸小; 缺点:易受干扰、传输性能和距离易受绞距的影响
2. 屏蔽双绞线(STP:Shielded Twisted Pair)
- 相比于UTP,STP加了两层屏蔽层,分别位于每对线之外和全部四对线之外
- 优点:抗EMI/RFI干扰 缺点:成本高、安装不易
3. 网屏式双绞线(ScTP: Screened Twisted Pair)
- 在成本和抗干扰之间做了折中
- 把STP每一个线对上的屏蔽层去掉了
使用注意事项
- 直通线
-
- 连接交换机和PC这种不是同等类型的设备,线两头线序一致
-
- 交叉线
-
- 线序不一致,连接同类设备
-
- 现在,设备已经大多可以自适应
电力线
- 缺点:与传输介质目的和电气特性截然不同,50Hz,目前不普及。
光纤(光导纤维)
- 极细的玻璃纤维构成,把光封闭在其中并沿轴向进行传播
- 由里到外为:玻璃芯、玻璃覆盖层、塑料封套
- 工作原理: 全反射——当光从光密物质射向光疏物质,入射角大于临界角,光会发生全反射。
- 优点:重量轻、损耗低、不受电磁辐射干扰、传输频带宽、通信容量大、不射频干扰、防窃听
- 缺点:易断裂、昂贵
分类
- 单模
- 单一模式传输,激光产生的单束光。
- 纤芯细、高带宽、长距离。
- 运行波长850nm或1300nm
- 多模
- 多个模式传输,LED产生的多束光
光纤、UTP特点:
- 干线上大量使用光纤(垂直电缆),用户桌面的线缆大量使用UTP(水平电缆)
三、复用技术
干线上技术,让多个用户共享同一根信道
解决问题:干线起点如何共用,干线终点如何分离
1. 频分多路复用技术FDM
原理:
- 在干线的起点,信道的频谱被分成若干段(子段),每个用户占据一段来传输自己的信号
- 在干线的终点,每个子带的信号被单独分离出来给各个用户
- 相邻用户使用的频段(子带)之间通常留有一定的带宽,以免混淆,这个频段被称作保护带
正交FDM:Orthogonal FDM(简称OFDM)
- 一种更好的利用带宽的FDM,正交频分多路复用。
- 没有了保护带,且子带之间相互重叠,可承载更多用户
波分多路复用WDM (Wavelength Division Multiplexing)
- 本质上跟FDM一样,在光纤上复用信号
- 按照不同波长,干线分为了若干份
- 终点,分离器分离出不同波长的光信号
- 另外,当相邻波长间隔非常接近,子信道的数目非常大,WDM变成了DWDM(Dense,密集波分多路复用)
2. 时分多路复用TDM(Time Division Multiplexing)
- 在时间上共享信道
- 将时间划分为非常短的时间片
- 广泛用于电话系统和蜂窝系统
- 要求:时间上必须同步,为适应时钟的微小变化,可能要求增加保护时间间隔
- 各用户需要的带宽不均衡,而TDM用户时间片的使用却是一样的,将造成信道的浪费
- 解决办法:统计时分多路复用(TDMStatistic TDM )STDM
3. 码分多路复用技术CDMA(Code Division Multiple Access)
- 扩展频谱技术,广泛用于3G
- 允许每个站利用整个频段发送信号,而且没有任何时间限制
- 关键在于:提取出需要的信号,同时拒绝所有其他的信号,并且把这些信号当成噪声
- CDMA中,每个比特时间被细分为m个更短的时间间隔,这更短的时间间隔被称为码片,通常每个比特被划分为64个或128个。
- 运用码片序列的两两正交,能够同时传输信息。接受方利用复用信号和发方码片序列的归一化内积,可以计算出发方的信息。
四、调制机制——使用信号来传输比特
传输方式
基带传输(Baseband Transmission)
- 信号的传输占据传输介质,从零到最大值之间的全部频率。(有线传输技术,普遍采用的方法——以太网)
通带传输(Passband Transmission)
- 调节信号的振幅、相位或频率来传输比特
- 占据了以载波信号频率为中心的一段频带
基带传输的线路编码
- 不归零NRZ:高电平为“1”,低电平为“0”
- 不归零逆转NRZ1:跳变为“1”,不跳变为“0”,USB采用
- 曼切斯特编码:在比特时间中间,电压从高到低为“1”。反之,从低到高,表示“0”。只有50%效率
- 双极编码(交换标记逆转AMI):两极电压的交替出现,表示“1”,不出现则表示“0”。实现了信号的平衡
- 4B/5B编码:4个比特数据被映射成1个比特模式,80%效率。抛开连续0的组合,解决连续零的问题
码元
- 承载信息量的基本信号单位
- 数字通信中常用时间间隔相同的符号来表示一个二进制数字。(二进制码元)
- 使用时间域的波形表示数字信号时,不同离散值的基本波形,叫做码元
一秒钟能发送的码元的个数,叫波特率,也叫做码率(每秒钟信号变化的次数)
- 波特率别名:符号率、采样率、每秒钟变化的次数
- 比特率别名:位传输率、数据传输速率、数字带宽
- 计算公式
(C:比特率,B:波特率,n:信号呈现的个数,为2的整数倍,信号级别) - 为了降低高速调制的错误,在每个样本中采用一些额外的位用作纠错。剩下的位才用来传输数据
可用信号星座图,来表示调制的级别
五、公共交换电路网络PSTN(Public Switched Telephone Network)
解决问题:最后一英里问题
过程:
- 呼叫方的话音经过本地回路(Local loops),到达端局
- 端局经过干线(Trunks,一般为数字光纤)到达上级交换局(Switching office),然后最终到达对方的端局
- 本地回路传输的是模拟信号,搭载调制解调器(也叫Modem,猫),完成数字信号向模拟信号的转变
- 光纤到户(Fiber To The Home):无源,可靠性、安全性 ——“光进铜退”
- 干线:多路复用,完成交换局(包括端局)的连接。搭载了编解码器(codec),将模拟信号数字化
- 编解码器采用了:脉冲编码调制PCM(Pulse Code Modulation),构成了现代PSTN的核心
- 目前采用的两种标准
- SONET/SDH(Synchronous Optical NETwork):同步光网络,美国ANSIS制定的,在光介质上进行同步数据传输的标准
- SDH(Synchronous digital hierarchy):同步数字序列,国际标准化组织ITU制定的,在光介质上进行同步数据传输的
- 两者几乎一样
PSTN交换
- 电路交换(Circuit Switching)
- 传统电话系统,建立端对端通路,数据沿着通道按顺序到达
- 包/分组交换(Packet Switching)
- IP电话数据业务,限制包/分组大小,允许包/分组存储在交换局的内存里
- 每个包携带目的地址、信息——独立寻址,乱序送达。容错能力好,流量收费
六、 物理层部件/设备
- 转发器
- 中继器
- 集线器
- RJ45插座
收发器(Transceiver = Transmitter + Receiver)
- 也称为MAU,Media Attachment Unit
- 将一种形式的信号转变为另一种信号
- 早期是一个外设,现在是网卡上的部件
- 主要负责收发信号
中继器(Reapter)
- 主要功能:再生信号(去噪、放大),让线缆延伸到更远,突破UTP100米的传输距离的限制
- 注意:中继器不能过滤流量
- 过滤:是指设备以一定的特性来屏蔽网络流量,并根据标准确定将流量转发或丢弃
集线器(Hub)——多端口的中继器
- 主要功能:再生信号,即去噪和放大
- 广播(泛洪):从除了来的那个端口外的所有其他端口转发出去
冲突——信号的碰撞
- 当使用物理设备时,更多的用户争抢共享资源,导致冲突
冲突域
- 数据包产生和冲突的网络区域,即指共享介质的区域
- 冲突域增大,冲突可能性增大,网络性能降低
总结
- 不具有过滤流量等智能化功能
- 增大了冲突域
- 很少再使用中继器(光中继器除外)和集线器
来源:oschina
链接:https://my.oschina.net/u/4345852/blog/3593183