【讲解清晰生动,深入浅出,通俗易懂】什么是测地线(geodesic)?

ぃ、小莉子 提交于 2020-11-02 09:45:12


测地线就是在一个三维物体的表面上找出两个点的最短距离。测地线的具体应用挺广的,比如说飞机船只的航道设计。首先我们知道在二维平面上两点之间线段最短,但若是换到三维这就没办法实现了,因为你无法穿透这个物体以寻求最短距离。所以,我们就得想办法在曲面上面寻求最短距离。因为曲面略微抽象而且路径很多让人感觉无从下手,所以看似很难找。


其实不然,想象一张纸(假设它的厚度是忽略不计的),你既可以平铺让它处于绝对二维状态,又可以将其折叠成不同形状使其处于三维状态。如果这样想,事情就变简单了。假设你的那张不计厚度的纸处于平面状态,纸上有两个位置不同的点,你可以很容易找到两点之间最短距离。然后,你再将纸折叠成不同形状,尽管此时面不同了,但是两点的最短距离依然还是原先那条线:因为面不管被如何折面积都是不变的。

所以要找到测地线的关键就是把曲面转化成平面的这一步。微积分里面的术语叫parametrization(参数化),先不做过多讲解。当把曲面参数化成二维面之后,我们可以通过微积分求导,最后把二维重新转回三维。

数学语言表达




The geodesic equation

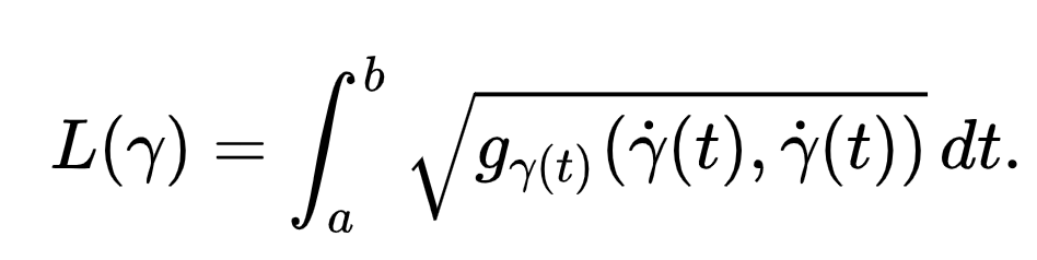
In aRiemannian manifoldMwithmetric tensorg, the lengthLof a continuously differentiable curve γ : [a,b] →Mis defined by

Another equivalent way of defining geodesics on a Riemannian manifold, is to define them as the minima of the followingactionorenergy functional

TheEuler–Lagrange equationsof motion for the functionalEare then given in local coordinates by

where

the Christoffel symbols of the metric

are theChristoffel symbolsof the metric. This is thegeodesic equation.

几何直观表达





 释义

1.ADJ relating to or involving the geometry of curved surfaces 曲面几何学的 (See also geodetic, geodesical)

2.N the shortest line between two points on a curved or plane surface 短程线 (Also called geodesic line)


The existence of the infinite closed geodesics of a compact no-simply connected Riemannian manifold.

紧致的非单连通黎曼流形上无穷多的闭测地线存在性问题?

Geodesics on smooth surface have many good geometric properties and there are equivalent partial differential equations and analytical methods solving it.

测地线在光滑曲面上有很好的几何性质,也有相应的测地线偏微分方程表达以及一些解析的方法来求解。


参考资料

Geodesic Deviation:https://ion.uwinnipeg.ca/~vincent/4500.6-001/Cosmology/GeodesicDeviation.htm

https://www.zhihu.com/question/22274518/answer/42849207

https://www.markushanke.net/tag/geodesic-equation/

易学教程内所有资源均来自网络或用户发布的内容,如有违反法律规定的内容欢迎反馈
该文章没有解决你所遇到的问题?点击提问,说说你的问题,让更多的人一起探讨吧!