在机器学习中,我们非常关心模型的预测能力,即模型在新数据上的表现,而不希望过拟合现象的的发生,我们通常使用正则化(regularization)技术来防止过拟合情况。正则化是机器学习中通过显式的控制模型复杂度来避免模型过拟合、确保泛化能力的一种有效方式。如果将模型原始的假设空间比作“天空”,那么天空飞翔的“鸟”就是模型可能收敛到的一个个最优解。在施加了模型正则化后,就好比将原假设空间(“天空”)缩小到一定的空间范围(“笼子”),这样一来,可能得到的最优解能搜索的假设空间也变得相对有限。有限空间自然对应复杂度不太高的模型,也自然对应了有限的模型表达能力。这就是“正则化有效防止模型过拟合的”一种直观解析。

L2正则化
在深度学习中,用的比较多的正则化技术是L2正则化,其形式是在原先的损失函数后边再加多一项:$\frac{1}{2}\lambda\theta_{i}^2$,那加上L2正则项的损失函数就可以表示为:$L(\theta)=L(\theta)+\lambda\sum_{i}^{n}\theta_{i}^2$,其中$\theta$就是网络层的待学习的参数,$\lambda$则控制正则项的大小,较大的取值将较大程度约束模型复杂度,反之亦然。
L2约束通常对稀疏的有尖峰的权重向量施加大的惩罚,而偏好于均匀的参数。这样的效果是鼓励神经单元利用上层的所有输入,而不是部分输入。所以L2正则项加入之后,权重的绝对值大小就会整体倾向于减少,尤其不会出现特别大的值(比如噪声),即网络偏向于学习比较小的权重。所以L2正则化在深度学习中还有个名字叫做“权重衰减”(weight decay),也有一种理解这种衰减是对权值的一种惩罚,所以有些书里把L2正则化的这一项叫做惩罚项(penalty)。
我们通过一个例子形象理解一下L2正则化的作用,考虑一个只有两个参数$w_{1}$和$w_{2}$的模型,其损失函数曲面如下图所示。从a可以看出,最小值所在是一条线,整个曲面看起来就像是一个山脊。那么这样的山脊曲面就会对应无数个参数组合,单纯使用梯度下降法难以得到确定解。但是这样的目标函数若加上一项$0.1\times(w_{1}^2+w_{2}^2)$,则曲面就会变成b图的曲面,最小值所在的位置就会从一条山岭变成一个山谷了,此时我们搜索该目标函数的最小值就比先前容易了,所以L2正则化在机器学习中也叫做“岭回归”(ridge regression)。

L1正则化
L1正则化的形式是:$\lambda|\theta_{i}|$,与目标函数结合后的形式就是:$L(\theta)=L(\theta)+\lambda\sum_{i}^{n}|\theta_{i}|$。需注意,L1 正则化除了和L2正则化一样可以约束数量级外,L1正则化还能起到使参数更加稀疏的作用,稀疏化的结果使优化后的参数一部分为0,另一部分为非零实值。非零实值的那部分参数可起到选择重要参数或特征维度的作用,同时可起到去除噪声的效果。此外,L1正则化和L2正则化可以联合使用:$\lambda_{1}|\theta_{i}|+\frac{1}{2}\lambda_{2}\theta_{i}^2$。这种形式也被称为“Elastic网络正则化”。
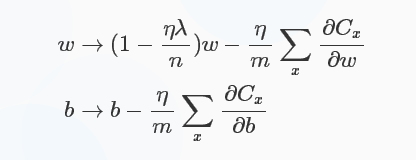
正则化对偏导的影响
对于L2正则化:$C=C_{0}+\frac{\lambda}{2n}\sum_{i}\omega_{i}^2$,相比于未加正则化之前,权重的偏导多了一项$\frac{\lambda}{n}\omega$,偏置的偏导没变化,那么在梯度下降时$\omega$的更新变为:

可以看出$\omega$的系数使得权重下降加速,因此L2正则也称weight decay(caffe中损失层的weight_decay参数与此有关)。对于随机梯度下降(对一个mini-batch中的所有x的偏导求平均):

对于L1正则化:$C=C_{0}+\frac{\lambda}{n}\sum_{i}|\omega_{i}|$,梯度下降的更新为:

符号函数在$\omega$大于0时为1,小于0时为-1,在$\omega=0$时$|\omega|$没有导数,因此可令sgn(0)=0,在0处不使用L1正则化。 L1相比于L2,有所不同:
- L1减少的是一个常量,L2减少的是权重的固定比例
- 孰快孰慢取决于权重本身的大小,权重刚大时可能L2快,较小时L1快
- L1使权重稀疏,L2使权重平滑,一句话总结就是:L1会趋向于产生少量的特征,而其他的特征都是0,而L2会选择更多的特征,这些特征都会接近于0
实践中L2正则化通常优于L1正则化。
来源:oschina
链接:https://my.oschina.net/u/4323130/blog/4238875