七月算法机器学习1 概率论

左心房为你撑大大i 提交于 2020-10-24 00:46:08

目录

概率论

古典概率模型

商品推荐

概率公式

两种认识 下的两个学派

分布

两点分布

Possion分布

均匀分布

指数分布

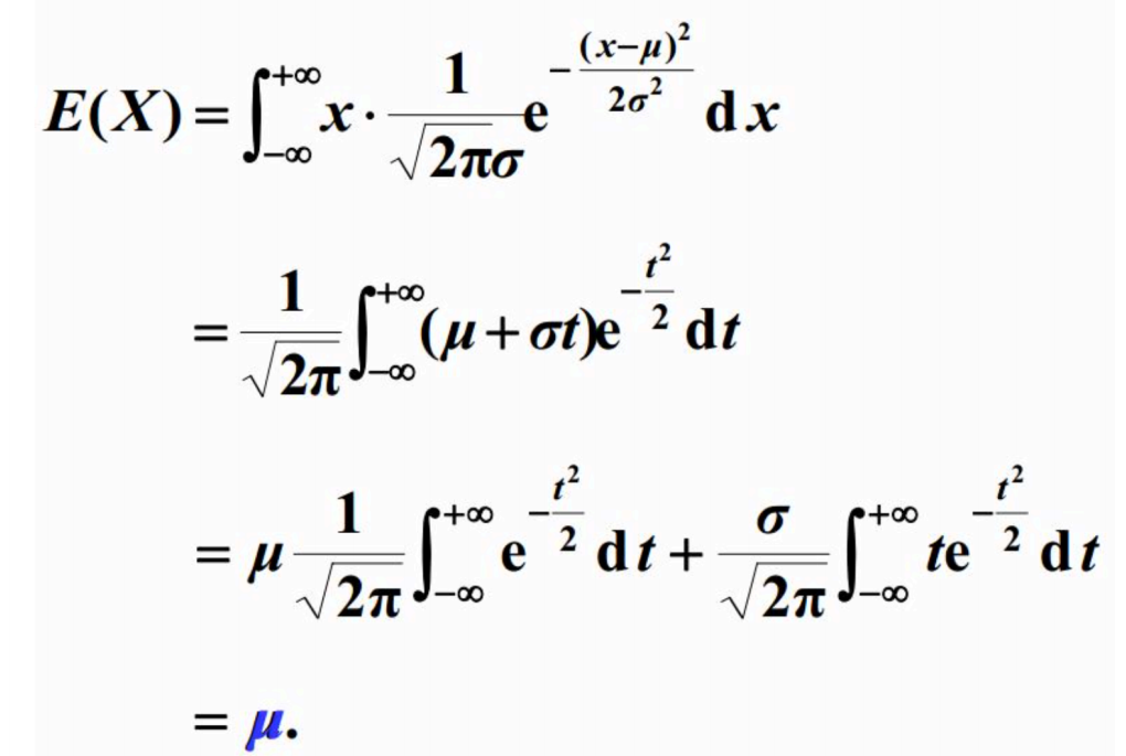
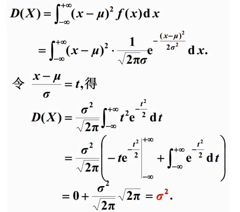
正态分布

二元正态分布

总结

Sigmoid函数

Logistic函数的导数


概率论

古典概率模型

实际上两人生日相同的概率还是很小的

商品推荐

概率公式

条件概率和全概率公式推导出贝叶斯公式

已知结果来反推

没有完全理解

两种认识 下的两个学派

分布

两点分布

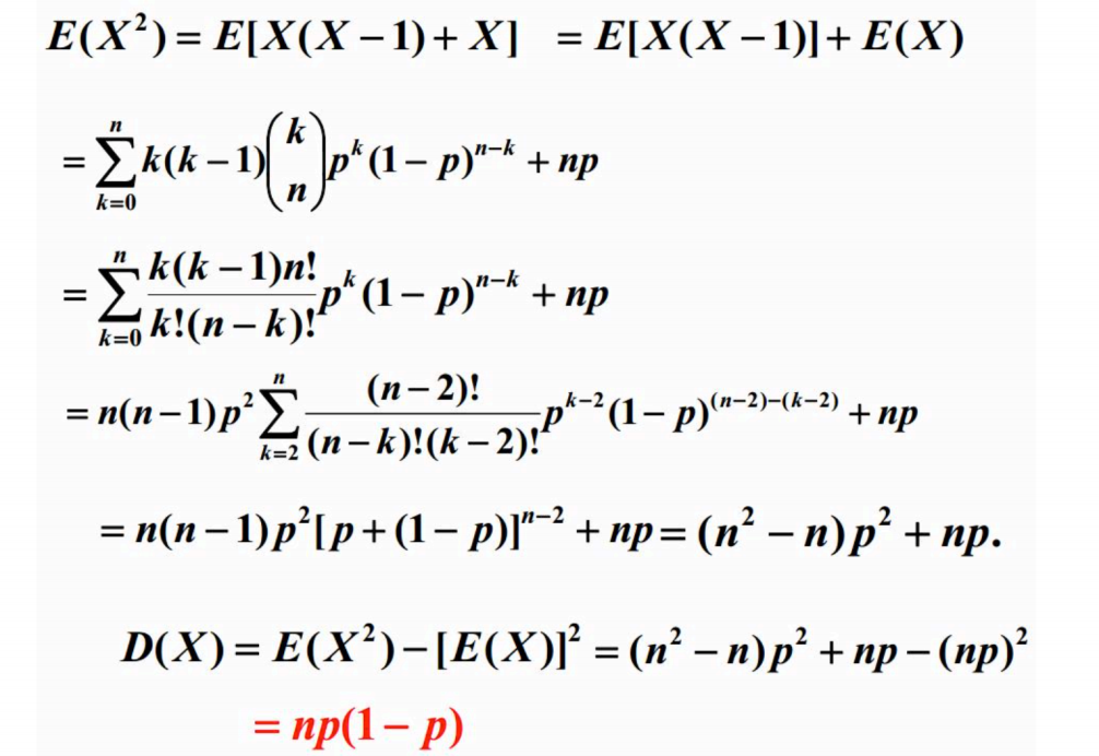
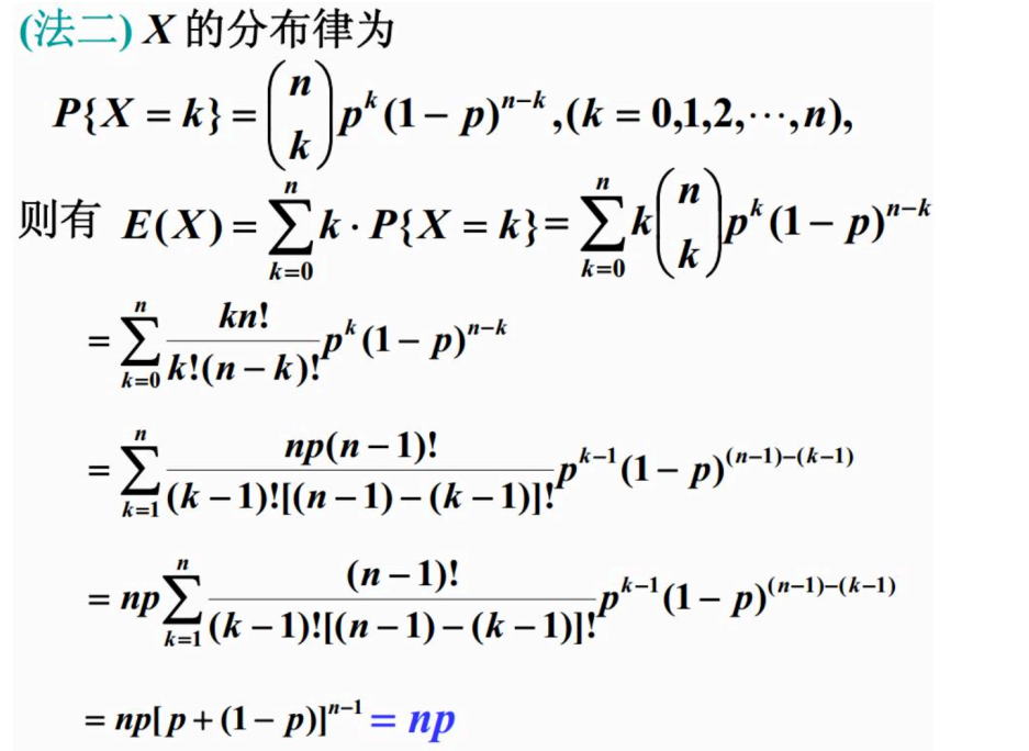
二项分布 bernoulli distribution

Possion分布

均匀分布

指数分布

正态分布

二元正态分布

总结

Sigmoid函数

Logistic函数的导数

易学教程内所有资源均来自网络或用户发布的内容,如有违反法律规定的内容欢迎反馈
该文章没有解决你所遇到的问题?点击提问,说说你的问题,让更多的人一起探讨吧!