欢迎各路大佬对小生的算法进行批判!
个人所学(持续进展中)
学习了图的BFS算法,教学为python,自己使用C++改写。
新的改变
- 2020.7.27 新增了python、C++的BFS代码;
- 未完待续……
程序简介
功能:通过以下代码,选取一个图、起始点,从起始点开始使用广度优先算法(BFS)遍历整个图,最后输出遍历过程。
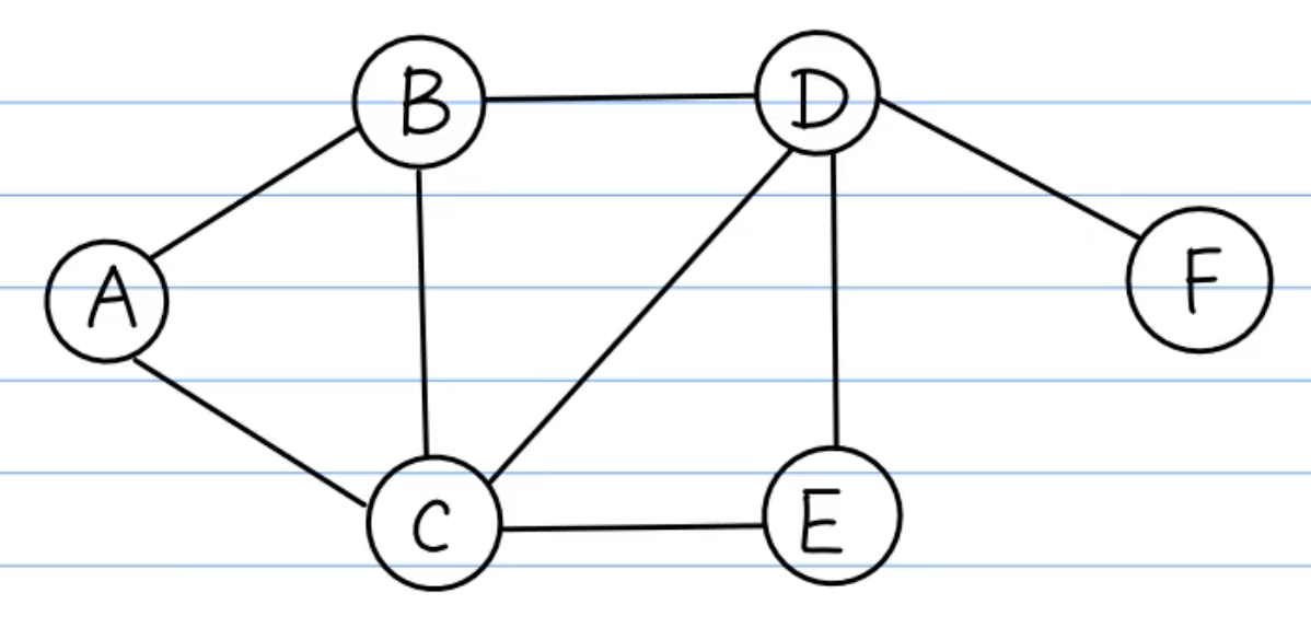
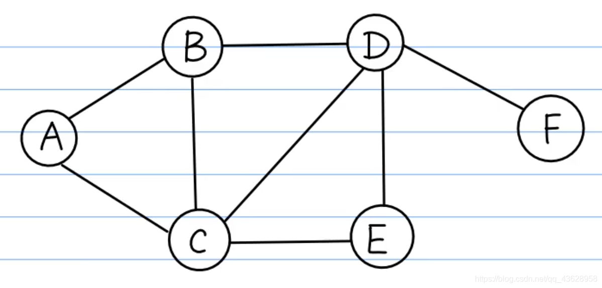
- 图

python代码及运行结果截图
#代码来源请详见文章末尾的“学习资源”
graph={
'a':['b','c'],
'b':['a','c','d'],
'c':['a','b','d','e'],
'd':['b','c','e','f'],
'e':['c','d'],
'f':['d']
}
def BFS(graph, s):
queue = []
queue.append(s)
seen = set()
seen.add(s)
while(len(queue) > 0):
v = queue.pop(0)
nodes = graph[v]
for w in nodes:
if w not in seen:
queue.append(w)
seen.add(w)
print(v)
BFS(graph, 'a')
- 结果截图:

C++代码及运行结果截图
//
// main.cpp
// BFS
//
// Created by Owen Zhang on 2020/7/27.
// Copyright © 2020 OWEN. All rights reserved.
// 学习不易,如有引用,请标记来源!
#include "iostream"
#include "vector"
#include "queue"
#include "map"
#define MAX 6//定义宏为所有结点数
using namespace std;
void BFS(vector<vector<int>>map, char root){//BFS函数
vector<char>seen;//已访问过的字符数组
queue<char>queue;//BFS队列
queue.push(root);
seen.push_back(root);//加入根结点到queue和seen
while(!queue.empty()){//若queue不为空
char vertex = queue.front();
queue.pop();//需要将队首结点弹出,否则将无限循环
int w = vertex-65;//w为行数,使用ASCII码进行运算,如'A'对应第0行,'B'对应第1行……
for(int i=0;i<map[w].size();i++){//查看邻接矩阵,i对应列数
if(map[w][i]==1)
if(find(seen.begin(),seen.end(),'A'+i)==seen.end()){
//在seen中检查是否遍历过该字母,如果没有,则进行下列操作
queue.push('A'+i);
seen.push_back('A'+i);
};
}
cout<<vertex<<' ';//打印当前结点
}
cout<<endl;
}
int main() {
vector<vector<int>> map(MAX);//邻接矩阵的初始化
//为快速对vector二维数组赋值,初始化前使用了六个一维数组进行赋值
int a[MAX]={0,1,1,0,0,0};
int b[MAX]={1,0,1,1,0,0};
int c[MAX]={1,1,0,1,1,0};
int d[MAX]={0,1,1,0,1,1};
int e[MAX]={0,0,1,1,0,0};
int f[MAX]={0,0,0,1,0,0};
map[0].insert(map[0].begin(), a, a+MAX);//此处使用insert方法对map的每一行进行初始化
map[1].insert(map[1].begin(), b, b+MAX);
map[2].insert(map[2].begin(), c, c+MAX);
map[3].insert(map[3].begin(), d, d+MAX);
map[4].insert(map[4].begin(), e, e+MAX);
map[5].insert(map[5].begin(), f, f+MAX);
for(int i=0;i<map.size();i++){//打印全部邻接矩阵,检查邻接矩阵是否正确
for(int j=0;j<map[i].size();j++){
cout<<map[i][j];
}
cout<<endl;
}
cout<<endl;
BFS(map, 'A');
return 0;
}
- 结果截图:

备注
-
初始化的方法较为粗鲁,后期看或想到更好的方法会修改,也欢迎各位读者推荐!
-
结果可以有多种,不一定相同。得出结果后,可以根据结果按照图示走一遍,看看是否正确,则可以验证算法是否正确。
-
学习不易,如有引用,请标记来源!
学习资源
B站up主:正月点灯笼
学习视频:[Python] BFS和DFS算法(第2讲)
链接:https://www.bilibili.com/video/BV1Ks411575U/?spm_id_from=333.788.videocard.1
来源:oschina
链接:https://my.oschina.net/u/4270607/blog/4450020


