通俗易懂的Harris 角点检测

半腔热情 提交于 2020-10-12 01:45:54

点击上方“3D视觉工坊”,选择“星标”

干货第一时间送达

Harris 角点检测 认为 特征点具有局部差异性

如何描述“特征点具有局部差异性”:

以每一个点为中心,取一个窗口,窗口大小为5*5或7*7像素大小。

这个窗口描述了这个特征点周围的环境

如果这个特征点具有局部差异性,那么以这个特征点为中心,把窗口向360度任意一个方向移动,窗口的变化比较大,则这个特征点的周围环境变化比较大。

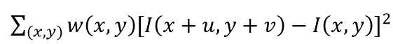
数学公式:

(x,y):表示像素的位置。

:表示窗口内的每个像素。

w(x,y):表示 这个位置的权重。

若w=1,则说明窗口中所有的像素贡献是一样的。

若w设置为以这个特征点为中心的高斯,

高斯权重,说明距离这个特征点越近,权重越大;越往周围发散,权重越小。

I(x,y):表示(x,y)这个位置的像素值。如果是灰度图,I就是灰度值,如果是彩色图,I就是RGB值。

u和v表示窗口移动的方向。

I(x+u,y+v) - I(x,y):表示对应像素的灰度差异。

:在整个窗口内,即在局部环境内求这个像素灰度差异的加权和。

对 I(x+u,y+v) - I(x,y)进行一阶泰勒展开,得到

在(x,y)处的灰度值,再加上u方向和v方向的偏导数。

整理后,结果为:

u和v表示窗口移动的方向, H表示Harris矩阵,主要由图像梯度表示。

对Harris矩阵进行特征分解:

得到两个特征值,矩阵的这两个特征值反映了:两个相互垂直的方向上的变化情况

一个是变化最快的方向,一个是变化最慢的方向。

前面设置了u和v,这是两个向量,表示窗口移动的方向。以(x,y)这个点为中心,进行360度的旋转。

特征值对应的特征向量,确定了变化最快的方向和变化最慢的方向。其他方向的变化情况,介于这两者之间。

通过对Harris矩阵的分析,得到如下结论:

只有当Harris矩阵的两个特征值都非常大的时候,特征点才能和周围环境区别比较大,是我们想要的特征点。

现在检测特征的任务就变成了,计算Harris矩阵,并判断其两个特征值的大小。

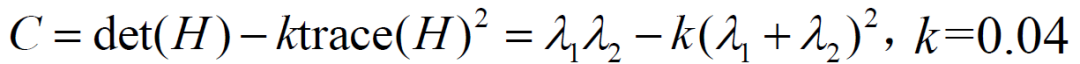
Harris角点准则

实际中,并不对Harris矩阵进行分解求其特征值,因为计算量太大。而是使用Harris角点准则。

C = Harris矩阵的行列式值 – k(Harris矩阵的迹)2

Harris矩阵的行列式值:Harris矩阵特征值的乘积

Harris矩阵的迹:Harris矩阵特征值的和

  • k的值越小,检测子越敏感。k的值越小,能检测到的特征点越多。

  • 只有当和同时取得最大值时, 才能取得较大值。

  • 避免了特征值分解,提高检测计算效率。

本文仅做学术分享,如有侵权,请联系删文。

下载1

在「3D视觉工坊」公众号后台回复:3D视觉即可下载 3D视觉相关资料干货,涉及相机标定、三维重建、立体视觉、SLAM、深度学习、点云后处理、多视图几何等方向。

下载2

在「3D视觉工坊」公众号后台回复:3D视觉github资源汇总即可下载包括结构光、标定源码、缺陷检测源码、深度估计与深度补全源码、点云处理相关源码、立体匹配源码、单目、双目3D检测、基于点云的3D检测、6D姿态估计源码汇总等。

下载3

在「3D视觉工坊」公众号后台回复:相机标定即可下载独家相机标定学习课件与视频网址;后台回复:立体匹配即可下载独家立体匹配学习课件与视频网址。

重磅!3DCVer-学术论文写作投稿 交流群已成立

扫码添加小助手微信,可申请加入3D视觉工坊-学术论文写作与投稿 微信交流群,旨在交流顶会、顶刊、SCI、EI等写作与投稿事宜。

同时也可申请加入我们的细分方向交流群,目前主要有3D视觉CV&深度学习SLAM三维重建点云后处理自动驾驶、CV入门、三维测量、VR/AR、3D人脸识别、医疗影像、缺陷检测、行人重识别、目标跟踪、视觉产品落地、视觉竞赛、车牌识别、硬件选型、学术交流、求职交流等微信群。

一定要备注:研究方向+学校/公司+昵称,例如:”3D视觉 + 上海交大 + 静静“。请按照格式备注,可快速被通过且邀请进群。原创投稿也请联系。

▲长按加微信群或投稿

▲长按关注公众号

3D视觉从入门到精通知识星球:针对3D视觉领域的知识点汇总、入门进阶学习路线、最新paper分享、疑问解答四个方面进行深耕,更有各类大厂的算法工程人员进行技术指导。与此同时,星球将联合知名企业发布3D视觉相关算法开发岗位以及项目对接信息,打造成集技术与就业为一体的铁杆粉丝聚集区,近2000星球成员为创造更好的AI世界共同进步,知识星球入口:

学习3D视觉核心技术,扫描查看介绍,3天内无条件退款

 圈里有高质量教程资料、可答疑解惑、助你高效解决问题

觉得有用,麻烦给个赞和在看~  

易学教程内所有资源均来自网络或用户发布的内容,如有违反法律规定的内容欢迎反馈
该文章没有解决你所遇到的问题?点击提问,说说你的问题,让更多的人一起探讨吧!