—、移动GIS的定义以及创建的重要性
日常生活之中,大批量客观性状况均不是传统式的静态数据GIS所善于分析的。比如:车载导航系统、机载导航系统、船载导航系统、掌上型导航精准定位系统等,这些均是移动的空间实体(GPS定位点坐标)置放在相对静止的空间实体群中(地形图中的空间实体结合)。这其中需要科学研究的是移动实体与相对静止实体及实体群的部位、关联等特点,运用静态数据GIS中目前的基本原理和方式只能处理这种状况的一部分难题,并非最佳对策。又如,在天空中飞行的机群,在海平面上出航的战舰,若以这其中N多架或N艘船舶做为总体目标实体,其他为参照实体群。那么总体目标实体集与参照实体集不管在空间位置,还是內部之间、二者彼此之间的空间关联全是时间T的数学函数,即随时间转变而转变,这也不是传统式静态数据GIS分析优点。
就传统式的地质图与现阶段的GIS数据信息来讲,不会太难发觉这其中的空间实体除产生变动、衰落之外,实体的空间位置和实体中间的相对空间关联,在科学研究、工程项目容许的偏差范畴内和一定阶段内是固定不动不会改变的,具备这类特点的地形图与GIS分别谓之静态数据地形图和静态数据GIS。
针对静态数据GIS,实体间的空间关联在—定阶段内具备不变性,能够事先测算并储存下来,有利于查询、查找和剖析等数据处理。伴随着计算机总体特性的不断完善,还可以依据空间实体的绝对位置动态性测算。从理论上讲,一旦空间实体的绝对位置明确,彼此之间的关联随之而定。
从上边的定义可见,运动GIS能够依据参照情况的运动状态分成两大类:移动GIS(MovingGIS)和动态性GIS(MobileGIS)。移动GIS参照情况实体群处在相对静止情况。动态性GIS参照情况实体群处在相对运动情况。
在电子地图与GIS中,当有一个或好几个移动实体(MovingObject处在相对静止的实体群中,或处在移动的实体群中,对移动实体及情况参照实体群(相对静止或移动)的仿真模拟、表述、处理、查询、查找和剖析的硬件软件系统称作运动GIS(DynamicGIS)。
因而,技术的发展和新的运用需求使运动GIS的基础理论、方式的科学研究十分必要。文中依据这类要求首要讨论健身运动GIS中移动GIS的基本原理与系统架构。
二、移动GIS的基本原理与系统架构
1、硬件配置组成
与静态数据GIS对比,移动GIS科学研究的目标已不是关联具备不变的实体集,只是少量比较有限的移动实体集,原先相对静止的实体集仅做为参照总体目标。另外,硬件配置也发生了很大转变,在移动端必须选用轻巧、灵便、便于携带、造型设计雅致的智能化系统智能终端。因为移动智能终端的简单化,其储存汁算功能模块相对性较差,把所有静态空间数据储存其上是极其不现实的。因而,从固定网络服务器根据有线或无线通讯技术动态性更新移动智能终端中的串间数据信息技术和机器设备不可或缺。现阶段,移动GIS系统的硬件配置组成首要包含:服务端的有关机器设备、无线通讯先进设备、移动智能终端机器设备、移动总体目标空间精准定位设备四部分,见图1所示。

2、软件组成:
在移动GIS系统中,软件系统包含:服务端的空间数据服务项目与派发系统、无线数据传输软件系统、移动智能终端软件系统和精准定位导航软件系统。
1)服务端的空间数据服务项目与派发系统
移动GIS服务端储存了大批量的、多尺度的空间数据,这种数据信息的查询、统计分析、查找及数据类型变换等功能模块归属于空间数据管理方法的范畴。此外,服务端的软件系统要能够回应来源于各部移动智能终端的并发服务项目请求,并自动启动空间数据管理方法模块,根据请求自动进行裁剪、拼凑、变换等,立即把移动智能终端要求的数据信息意见反馈到客户并更新。
2)无线数据传输软件系统
服务端和移动智能终端主要借助无线网络方法传输数据、互换信息内容。理应说,从终端设备向服务器发送的清求信息量较小,但网络服务器回应请求并发回的空间数据量相对无线网络传输速度却十分庞大。从理论上剖析一个中等城市的数据信息必须3-5分钟,这般长的等待时间让人难以容忍。因而在服务端导入压缩、移动智能终端导入解压技术十分首要。
3)移动智能终端软件系统
在移动智能终端,移动总体目标GPS坐标的获得、精准定位及查询剖析和静态数据总体目标的迅速显示信息等功能模块全是移动智能终端软件系统的首要构成部分。对移动总体目标GPS坐标的获得,及其在获得时刻对该总体目标与别的静态数据总体目标集中元素关联的查询、剖析都较容易。而当移动总体目标处在2个GPS坐标获得时刻之间时,它的位詈及其它与周边目标空间关联的查询就相对比较复杂,必须依据移动日标的运动速率、方位及特性展开仿真模拟、预测分析。
除此之外,适用于多媒体计算机的栅格、矢量素材等算法设计,在特性远远地小于个人汁算机的掌上型移动智能终端运作时,图形的显示信息、放缩、查询、剖析等功能模块的效率都较低,科学研究适用低特性移动终端设备的高效率算法设计势在必行。
4)导航定位软件系统
根据红外线或串口通信获得GPS位置信息,变换到导航地形图的坐标系统,并展开GPS坐标的信息保密技术处理。
三、移动GIS系统首要功能模块构建
根据所述基础理论与方式,大家研发了一套移动GIS系统(PNS-I型),其硬件配置组成如图2所示,它是GPS、GSM、GPRS、PDA、GIS高度有机化学集成化的结果。

该系统能够展开地形图访问、城市记录查询,内嵌GPS导航精准定位、运动轨迹追踪,能够展开无线网络语音通话功能模块、GPRS共享wifi,能够构建个人信息化管理与移动办公。
1、GPS载入功能模块
WindowsCE开发工具提供丁对串口通信读写能力的类,由此能够将GPS串口通信数据信息读取到一个缓冲区域字节数组,并将其变换为字符串数组,分辨GPS坐标标识“$GPRMC'’,提取坐标数据信息,技术流程如图3所示。

2、根据PDA的图形算法设计以及首要功能模块构建由于在PDA上管理大范畴的矢量数据效率较低,与传统式算法设计方式不一样的是宜选用分层分块算法设计。层级序号越小,遮盖的范畴越大,层级序号越大,遮盖的范畴越小。可是,它们相匹配的屏幕上显示规格均一样,以便维持不同层在PDA上显示屏幕可视度(信息量/总面积)基本一致,层级越低数据信息內容越简化、层级越高数据信息內容越繁杂。
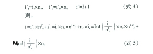
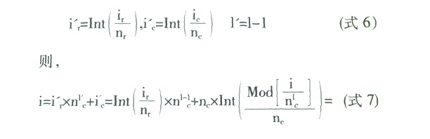
假定空间数据分成N层,各层纵向分成块,横向分成块,1意味着叠加层数,i意味着l层的第i块,意味着1层第几行,意味着1层第几行,那么,

1)图形变大
当对空间数据展开变大操作时,由1层来到1+1层,各层纵向分成块,横向分成块,为变大后的序号,那么:

将式5代入式2就可以测算出全部变大后待显示信息的块数。
2)图形变小
当对空间数据展开变小操作时,由l层来到1-1层,各层纵向分成块,横向分成块,为变小后的序号,那么:

将式7代入式2就可以测算出全部变小后待显示信息的块数。
3)图形数据漫游
当显示屏图形数据漫游时,假定左上方块号为,那么:

4)空间数据的离散系统信息保密技术处理
因为移动GIS系统中的空间数据归属于秘密级地形图材料,若不展开信息保密技术处理,则不利于国防安全。但在展开信息保密处理时,务必根据下列标准:
(1)确保选用的地质图数据加密的数学函数表达式沒有反函数,不可以运用数据加密前后少数基准点数据信息,展开精准的数学反算;
(2)确保选用的地质图数据加密的数学函数表达式为非线性,使变形在全国范畴内非均匀;
(3)确保转换函数全国范畴内选用一个连续函数,以维持数据加密后地形图的持续性和相对偏差不在危害工程项目需要的偏差范畴内。
(4)国家系列产品基础比例尺精度地质图选用同一个形变函数展开转换,以确保系列产品比例尺精度地质图应用一致性。
依据上述标准,形变函数包含全国等量平移变换项、全国趋势项和振荡形变项。在其中振荡形变项包括六部分內容,各自为:低幅高频初项、低幅高频项、中幅中频初项、中幅中频项、高幅低频初项和高幅低频项。全国等量平移变换项和全国趋势项各自等于传统式的简易平移变换和线性变换,振荡形变项既保证部分范畴几何图形精密度的减少,又使相对偏差操纵在—定范畴,可以考虑导航的需要。
四、移动GIS系统在国土规划调研中的运用剖析
在传统式的静态数据GIS的技术方式已不能满足运用要求的状况下,移动GIS应运而生,并变成GIS的关键发展趋势之一。文中所完成的移动GIS系统技术先进,运用范畴十分宽泛。以国土规划行业为例子,能够用以土地资源利用现况变动调查,监察员运用移动GIS系统,能够校准地区的位置、特性等,手持移动GIS系统,沿调查地区走动一周,系统能够自动绘制行程安排运动轨迹、自动统计分析面积等,并可以根据GSM或GPRS将结果传送到信息资源管理中心,极大的提升了工作效能。此外,在地质学、导航、监控等行业,也存在着极大的应用前景,总而言之,移动GIS系统用途广博,尚需专业人员融合专业领域的具体要求深层次开发设计。GIS的研究方向由静止目标到运动目标是该课程发展的必然,人们所生存的实际的运动世界为移动GIS的发展趋势提供了广阔的空间。
来源:oschina
链接:https://my.oschina.net/u/4483626/blog/4284194