线性回归模型
一、线性回归的基本假设
1.线性性和可加性
假设因变量为Y,自变量为X1,X2,则回归分析的默认假设为Y=b+a1X1+a2X2+ε。
线性性:X1每变动一个单位,Y相应变动a1个单位,与X1的绝对数值大小无关。
可加性:X1对Y的影响是独立于其他自变量(如X2)的。
2.误差项(ε)之间应相互独立。
若不满足这一特性,我们称模型具有自相关性(Autocorrelation)。
3.自变量(X1,X2)之间应相互独立。
若不满足这一特性,我们称模型具有多重共线性性(Multicollinearity)。
4.误差项(ε)的方差应为常数。
若满足这一特性,我们称模型具有同方差性(Homoskedasticity),若不满足,则为异方差性(Heteroskedasticity)。
5.误差项(ε)应呈正态分布。
二、一元线性回归模型
-
一元线性回归模型:
y=w0+w1x -
多元线性回归问题(multiple linear regression):
线性约束由多个解释变量构成:
y=w0+w1x1+w2x2+…+wnxn -
项式回归分析(polynomial regression问题):
一种具有非线性关系的多元线性回归问题
y=w0+w1x1+w2x22+…+wnxnn
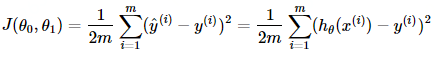
三、回归模型的损失函数
回归问题的损失函数为均方误差(Mean Squared Error),目标函数如下形式:
来源:oschina
链接:https://my.oschina.net/u/4407543/blog/4489914