点击上面"脑机接口社区"关注我们
更多技术干货第一时间送达

导读
从神经活动中解码想象运动的运动学的能力对于开发可以帮助行动不便的人的假肢设备至关重要。当前采用脑电图(EEG)等无创记录方法解码实际和想象的手运动轨迹来控制神经运动假体,通常通过应用多维线性回归(mLR)模型来调整神经信号和肢体运动学这两种时域信号。然而还存在很多问题:EEG信号和特定的慢皮质电位(SCP)是否具有运动神经相关性。是否可以重建近端臂关节即肩膀的轨迹尚未测试,以及解码性能是否取决于运动速度和/或位置变化。
研究人员使用mLR模型(通常用于运动轨迹预测(MTP))并使用源定位来检测和比较大脑之间的相互关系,从而预测了7个受试者在两种运动类型(实际和想象的)的时间序列中在3D空间中的手,肘和肩部轨迹在每个手臂关节实际和想象的动作中激活的区域。
对于所有的手臂关节和动作类型,SCP对轨迹重建的贡献最大,并且使用运动学之前的神经信号将解码精度达到峰值120-210 ms。研究结果证明了从头皮脑电图预测所有手臂关节的3D想象轨迹的可行性,而且还发现在慢速皮质电位中存在与运动相关的神经相关因素。
实验
研究人员共进行了四次实验。每一次运行都包含了一组实际的运动和一组想象的运动(图1(a))。每组由4个子组组成,每个子组由对其中一个目标(T1、T2、T3、T4)的20次连续试验(运动周期)组成。目标1和目标2相对于穿过躯干和肩部的水平轴,分别位于肩水平面上形成45度和90度,目标3和目标4相对于与肩对齐的矢状轴,分别位于肩矢状平面上45度(图1(b))。每个子块的前12秒开始,声音消息(V)提示即将到来的目标和试验类型(如运动图像目标3),随后是8秒准备时间(P),每个子块随后12 s rest (R)时期,而每一块之后,1分钟inter-block-interval(IBI)。在休息期间,研究对象被要求闭上眼睛,放松,禁止说话。

图1
上图为实验设置。
(a)实验范式。受试者进行了四次实验,每一次实验都由一个实际的运动块组成(包括四个子块,每个子块包括对给定目标的20次试验),接着是对相同目标的想象运动块。
(b)目标位置。目标1和目标2相对于穿过躯干和肩膀的水平轴,分别位于肩平面形成45度和90度,而目标3相对于与肩膀对齐的矢状轴,位于肩平面之上45度。目标4在肩平面上方放置45度,相对于与肩对齐的矢状轴,相对于穿过躯干和肩部的水平轴放置67.5度。home位置(“H”)是粘在椅子右扶手上的泡沫垫。
(c)左侧面板代表受试者(#1)在实际运动过程中到每个目标的平均(SD)路径。右面显示每个目标的平均(SD)手速度分量。从情节中删除了暂停时间段(对目标的停顿和在Home处的停顿)。受试者产生了具有钟形切向速度分布的大致笔直的点对点路径。
一次试验由四个epoch组成,每个epoch持续800毫秒:指向分布在3D空间的四个目标中的一个,在目标处的暂停时期,返回到home位置(' H ')的运动,以及在home位置的暂停时期。所有的试验在一个给定的子块包括指向相同的目标运动。受试者被告知向前和向后的动作都应与800毫秒的听觉提示同步。对于包含运动想象的实验,受试者被要求保持手臂在原地静止,并与听觉提示同步想象将手臂移向相应的目标,然后回到原地。
为了避免眼球运动,实验对象被指示将眼睛保持在瞄准目标上,并且在整个子块中不要跟随其实际或想象的移动手臂。。通过线下查看实验录制视频和两个眼电图通道,验证所有受试者都遵守了说明。视觉检查记录的视频和运动学数据显示,在运动图像试验期间没有手部运动。图1(c)给出了四个目标在实际运动试验期间的定型手部路径及其对应的速度曲线。
数据采集
研究人员在数据采集过程中使用的是64个有源通道g.HIamp80 EEG系统,在1200 Hz下在61个电极和两个电眼(EOG)通道中记录了EEG信号,并测量了所有电极的阻抗。同时研究者使用了扩展的International10-20系统并修订了EEG蒙太奇,以对大脑区域进行更广泛的映射,从而可能有益于运动产生和想象力的信息。
研究者为了可以最大程度地降低受试者将运动想象到错误目标的风险,使用了块设计范式,而不是在每次试验前都指示受试者想象运动到随机目标的方法,这样还能减少眼睛运动(凝视目标)的风险。实验中使用了伪像抑制程序,但仍会降低信号质量。重复移动到每个目标可能会导致强烈的运动记忆,即受试者将所有手臂关节的肌肉记忆用于运动想象。此外,由于不同关节的轨迹,动觉记忆可能导致分离的、不同的神经模式的进化,这使得它们得以重建。对于实际和想象的运动,相同的解码精度模式可以支持此概念。如果确实肌肉记忆能增强想象的轨迹的解码能力,那么如何在运动受损的受试者中诱发肌肉记忆还有待研究。
我们用一块设计范例,而不是指导主题每次试验前想象一个随机运动的目标,因为它最小化的风险主体成像运动一个错误的目标,减少眼球运动(凝视到目标),降低信号,尽管应用程序工件拒绝程序[22]。有可能是对每个目标重复的动作导致了强烈的动觉记忆,即受试者使用所有手臂关节的肌肉记忆进行运动表象。此外,由于不同关节的轨迹,动觉记忆可能导致分离的、不同的神经模式的进化,这使得它们得以重建,正如最近在3D空间[55]中解码目标所显示的那样。这一概念是由相同的模式解码精度的实际和想象的运动。如果肌肉记忆确实能够增强对想象轨迹的解码,那么如何在运动受损的受试者身上诱导肌肉记忆还有待研究。
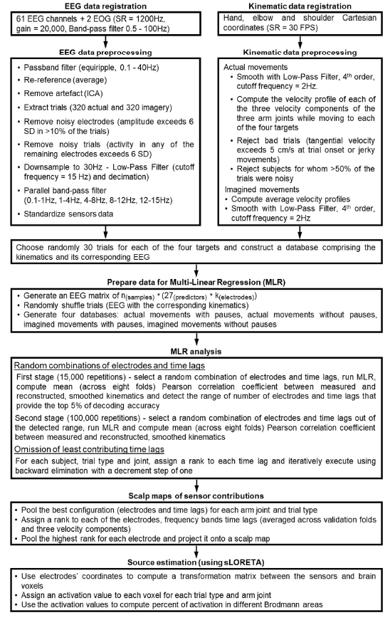
数据处理与分析
数据处理
研究者对采集的数据先进行了预处理,预处理阶段如下:

数据分析
研究人员进行了测试时间延迟对重建实际和想象的手臂关节轨迹的平均(跨受试者)百分比贡献对比分析。
如下图在每个频带旁边显示每个频带的最长测试时间延迟(例如,SCPs和低阻)。对于所有的手臂关节和运动类型,以120-210毫秒的SCPs前运动对轨迹重建的贡献最大。

在时间延迟方面,研究人员分析了电极对轨迹重建的平均百分比。
如下图,电极对轨迹重建的平均百分比(跨受试者)为- 210 ms、- 150 ms和- 120 ms。颜色代码表示百分比的贡献。在两种试验中,额电极和中后电极分别对远端(手)和近端(肩)手臂关节的重建贡献最大。有关各个受试者的图参见补充材料中的图S2。

下图为解码手,肘和肩膀的实际和想象的速度曲线。
(a)对于每个手臂关节和速度分量,想象运动(跨受试者)的平均解码精度显著低于对应的实际运动,但两种试验类型都表现出相似的解码性能模式(个体受试者图,见补充资料中的图S3和图S4)。

(b)重建手,肘和肩的实际和想象的速度分量。蓝色和红色曲线分别描绘了两个代表性对象(实际动作为#5,想象动作为#6)的生成(实际或想象)和重建的速度曲线。
(c)解码关节速度曲线仅与手的关节最大速度相关。
下图为手臂关节的速度曲线。

给定目标(如T1) 以及不同目标之间的速度差异会随着臂近端关节的增加而增加。
结论
研究人员表示,该项研究是首次研究从脑电图信号中对所有手臂关节进行实际和想象运动轨迹预测的工作。而且这项工作表明存在神经运动相关的慢皮层电位。重建手臂各关节的运动轨迹可用于运动神经的康复。对所有手臂关节进行解码可以提高三维空间中端点(手)位置的精度。
关于肌肉记忆这一块,研究人员表示未来的工作将研究肌肉记忆是否能增强对想象的手臂运动的解码,以及如何在运动受损的受试者中诱导肌肉记忆。
论文信息:
Reconstruction of hand, elbow and shoulder actual and imagined trajectories in 3D space using EEG slow cortical potentials
文章来源于网络,仅用于学术交流,不用于商业行为,若有侵权及疑问,请后台留言!
本文章由社区整理,转载请联系后台!
更多阅读
脑机接口BCI学习交流QQ群:903290195
微信群请扫码添加,Rose拉你进群
(请务必填写备注,eg. 姓名+单位+专业/领域/行业)

长按加群

欢迎点个在看鼓励一下

本文分享自微信公众号 - 脑机接口社区(Brain_Computer)。
如有侵权,请联系 support@oschina.cn 删除。
本文参与“OSC源创计划”,欢迎正在阅读的你也加入,一起分享。
来源:oschina
链接:https://my.oschina.net/u/989000/blog/4486457