Redis-避免缓存穿透的利器之BloomFilter
你知道的越多,你不知道的也越多
点赞再看,养成习惯 github.com/JavaFamily
GitHub github.com/java… 上已经开源,有面试点思维导图,欢迎【Star】和【完善】
Bloom Filter 概念
布隆过滤器(英语:Bloom Filter)是1970年由一个叫布隆的小伙子提出的。它实际上是一个很长的二进制向量和一系列随机映射函数。布隆过滤器可以用于检索一个元素是否在一个集合中。它的优点是空间效率和查询时间都远远超过一般的算法,缺点是有一定的误识别率和删除困难。
Bloom Filter 原理
布隆过滤器的原理是,当一个元素被加入集合时,通过K个散列函数将这个元素映射成一个位数组中的K个点,把它们置为1。检索时,我们只要看看这些点是不是都是1就(大约)知道集合中有没有它了:如果这些点有任何一个0,则被检元素一定不在;如果都是1,则被检元素很可能在。这就是布隆过滤器的基本思想。
Bloom Filter跟单哈希函数Bit-Map不同之处在于:Bloom Filter使用了k个哈希函数,每个字符串跟k个bit对应。从而降低了冲突的概率。

缓存穿透

每次查询都会直接打到DB
简而言之,言而简之就是我们先把我们数据库的数据都加载到我们的过滤器中,比如数据库的id现在有:1、2、3
那就用id:1 为例子他在上图中经过三次hash之后,把三次原本值0的地方改为1
下次数据进来查询的时候如果id的值是1,那么我就把1拿去三次hash 发现三次hash的值,跟上面的三个位置完全一样,那就能证明过滤器中有1的
反之如果不一样就说明不存在了
那应用的场景在哪里呢?一般我们都会用来防止缓存击穿
简单来说就是你数据库的id都是1开始然后自增的,那我知道你接口是通过id查询的,我就拿负数去查询,这个时候,会发现缓存里面没这个数据,我又去数据库查也没有,一个请求这样,100个,1000个,10000个呢?你的DB基本上就扛不住了,如果在缓存里面加上这个,是不是就不存在了,你判断没这个数据就不去查了,直接return一个数据为空不就好了嘛。
这玩意这么好使那有啥缺点么?有的,我们接着往下看
Bloom Filter的缺点
bloom filter之所以能做到在时间和空间上的效率比较高,是因为牺牲了判断的准确率、删除的便利性
-
存在误判,可能要查到的元素并没有在容器中,但是hash之后得到的k个位置上值都是1。如果bloom filter中存储的是黑名单,那么可以通过建立一个白名单来存储可能会误判的元素。
-
删除困难。一个放入容器的元素映射到bit数组的k个位置上是1,删除的时候不能简单的直接置为0,可能会影响其他元素的判断。可以采用Counting Bloom Filter
Bloom Filter 实现
布隆过滤器有许多实现与优化,Guava中就提供了一种Bloom Filter的实现。
在使用bloom filter时,绕不过的两点是预估数据量n以及期望的误判率fpp,
在实现bloom filter时,绕不过的两点就是hash函数的选取以及bit数组的大小。
对于一个确定的场景,我们预估要存的数据量为n,期望的误判率为fpp,然后需要计算我们需要的Bit数组的大小m,以及hash函数的个数k,并选择hash函数
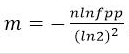
(1)Bit数组大小选择
根据预估数据量n以及误判率fpp,bit数组大小的m的计算方式:

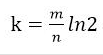
(2)哈希函数选择
由预估数据量n以及bit数组长度m,可以得到一个hash函数的个数k:

哈希函数的选择对性能的影响应该是很大的,一个好的哈希函数要能近似等概率的将字符串映射到各个Bit。选择k个不同的哈希函数比较麻烦,一种简单的方法是选择一个哈希函数,然后送入k个不同的参数。
哈希函数个数k、位数组大小m、加入的字符串数量n的关系可以参考Bloom Filters - the math,Bloom_filter-wikipedia
要使用BloomFilter,需要引入guava包:
<dependency>
<groupId>com.google.guava</groupId>
<artifactId>guava</artifactId>
<version>23.0</version>
</dependency>
复制代码
测试分两步:
1、往过滤器中放一百万个数,然后去验证这一百万个数是否能通过过滤器
2、另外找一万个数,去检验漏网之鱼的数量
/**
* 测试布隆过滤器(可用于redis缓存穿透)
*
* @author 敖丙
*/
public class TestBloomFilter {
private static int total = 1000000;
private static BloomFilter<Integer> bf = BloomFilter.create(Funnels.integerFunnel(), total);
// private static BloomFilter<Integer> bf = BloomFilter.create(Funnels.integerFunnel(), total, 0.001);
public static void main(String[] args) {
// 初始化1000000条数据到过滤器中
for (int i = 0; i < total; i++) {
bf.put(i);
}
// 匹配已在过滤器中的值,是否有匹配不上的
for (int i = 0; i < total; i++) {
if (!bf.mightContain(i)) {
System.out.println("有坏人逃脱了~~~");
}
}
// 匹配不在过滤器中的10000个值,有多少匹配出来
int count = 0;
for (int i = total; i < total + 10000; i++) {
if (bf.mightContain(i)) {
count++;
}
}
System.out.println("误伤的数量:" + count);
}
}
复制代码
运行结果:
![]()
运行结果表示,遍历这一百万个在过滤器中的数时,都被识别出来了。一万个不在过滤器中的数,误伤了320个,错误率是0.03左右。
看下BloomFilter的源码:
public static <T> BloomFilter<T> create(Funnel<? super T> funnel, int expectedInsertions) {
return create(funnel, (long) expectedInsertions);
}
public static <T> BloomFilter<T> create(Funnel<? super T> funnel, long expectedInsertions) {
return create(funnel, expectedInsertions, 0.03); // FYI, for 3%, we always get 5 hash functions
}
public static <T> BloomFilter<T> create(
Funnel<? super T> funnel, long expectedInsertions, double fpp) {
return create(funnel, expectedInsertions, fpp, BloomFilterStrategies.MURMUR128_MITZ_64);
}
static <T> BloomFilter<T> create(
Funnel<? super T> funnel, long expectedInsertions, double fpp, Strategy strategy) {
......
}
复制代码
BloomFilter一共四个create方法,不过最终都是走向第四个。看一下每个参数的含义:
funnel:数据类型(一般是调用Funnels工具类中的)
expectedInsertions:期望插入的值的个数
fpp 错误率(默认值为0.03)
strategy 哈希算法(我也不懂啥意思)Bloom Filter的应用
在最后一个create方法中,设置一个断点:

上面的numBits,表示存一百万个int类型数字,需要的位数为7298440,700多万位。理论上存一百万个数,一个int是4字节32位,需要481000000=3200万位。如果使用HashMap去存,按HashMap50%的存储效率,需要6400万位。可以看出BloomFilter的存储空间很小,只有HashMap的1/10左右
上面的numHashFunctions,表示需要5个函数去存这些数字
使用第三个create方法,我们设置下错误率:
private static BloomFilter<Integer> bf = BloomFilter.create(Funnels.integerFunnel(), total, 0.0003);
复制代码
再运行看看:
![]()
此时误伤的数量为4,错误率为0.04%左右。
![]()
当错误率设为0.0003时,所需要的位数为16883499,1600万位,需要12个函数
和上面对比可以看出,错误率越大,所需空间和时间越小,错误率越小,所需空间和时间约大
常见的几个应用场景:
-
cerberus在收集监控数据的时候, 有的系统的监控项量会很大, 需要检查一个监控项的名字是否已经被记录到db过了, 如果没有的话就需要写入db.
-
爬虫过滤已抓到的url就不再抓,可用bloom filter过滤
-
垃圾邮件过滤。如果用哈希表,每存储一亿个 email地址,就需要 1.6GB的内存(用哈希表实现的具体办法是将每一个 email地址对应成一个八字节的信息指纹,然后将这些信息指纹存入哈希表,由于哈希表的存储效率一般只有 50%,因此一个 email地址需要占用十六个字节。一亿个地址大约要 1.6GB,即十六亿字节的内存)。因此存贮几十亿个邮件地址可能需要上百 GB的内存。而Bloom Filter只需要哈希表 1/8到 1/4 的大小就能解决同样的问题。
总结
布隆过滤器主要是在回答道缓存穿透的时候引出来的,文章里面还是写的比较复杂了,很多都是网上我看到就复制下来了,大家只要知道他的原理,还有就是知道他的场景能在面试中回答出他的作用就好了。
来源:oschina
链接:https://my.oschina.net/u/3757311/blog/4330112