目录
为什么样本方差(sample variance)的分母是 n-1?
重要定理与不等式
Jensen不等式

凸函数

凸函数的函数的期望小于期望的函数
思考

相关系数与距离相关,
可以用距离来表示两个特征的相关性
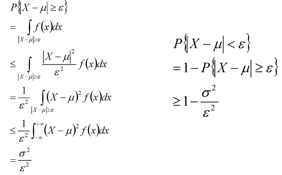
切比雪夫不等式


大数定理

大数定律具体是个什么概念?

伯努利定理

中心极限定理


用样本估计参数

为什么样本方差(sample variance)的分母是 n-1?
贝叶斯公式

初探贝叶斯定理
极大似然估计



来源:oschina
链接:https://my.oschina.net/u/4359914/blog/4318456