Heat kernel
什么是heat kernel呢?结果令人震惊! Hi,大家好,这里是给阿姨倒一杯卡布奇诺。今天,我们来说一下在1-D 2nd order Convection-Diffusion equation中analytical solution里面用到的heat kernel。heat kernel是怎么回事呢?heat kernel相信大家都很熟悉, 但是heat kernel究竟是怎么来的呢?可能有人不理解, 为什么会用到heat kernel呢?所以,下面就让小编带大家一起了解吧。
回归正题
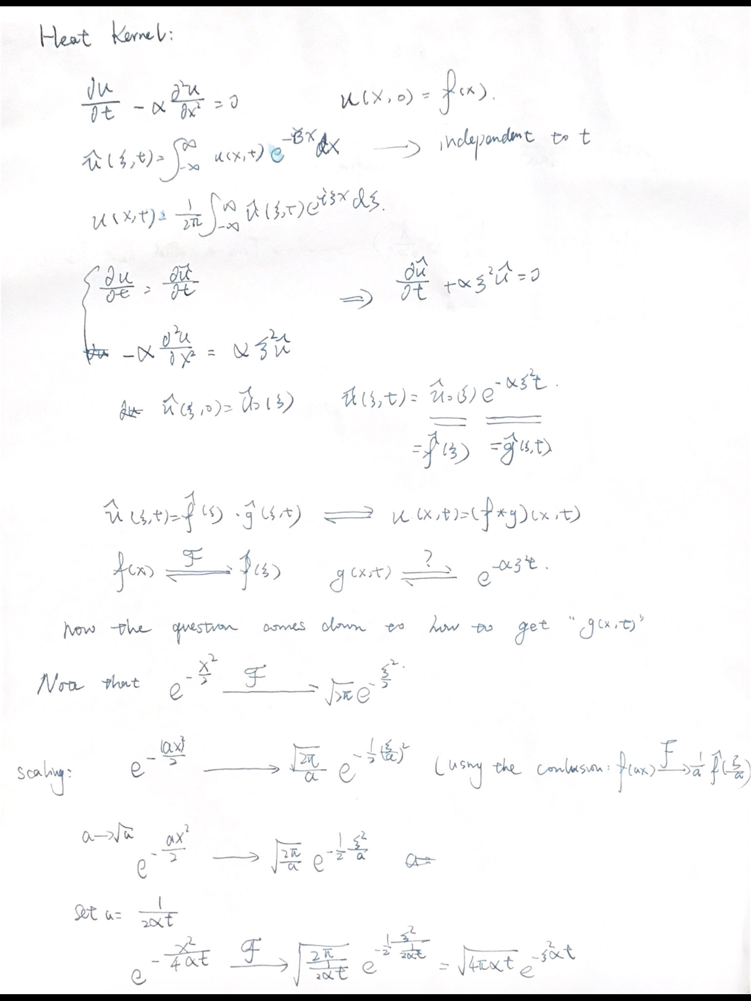
给定边界条件和初始条件,将求解关于heat equation可以用傅里叶变换,转化为初始条件和heat kernel的卷积,大大简化了analytical solution的求解效率。
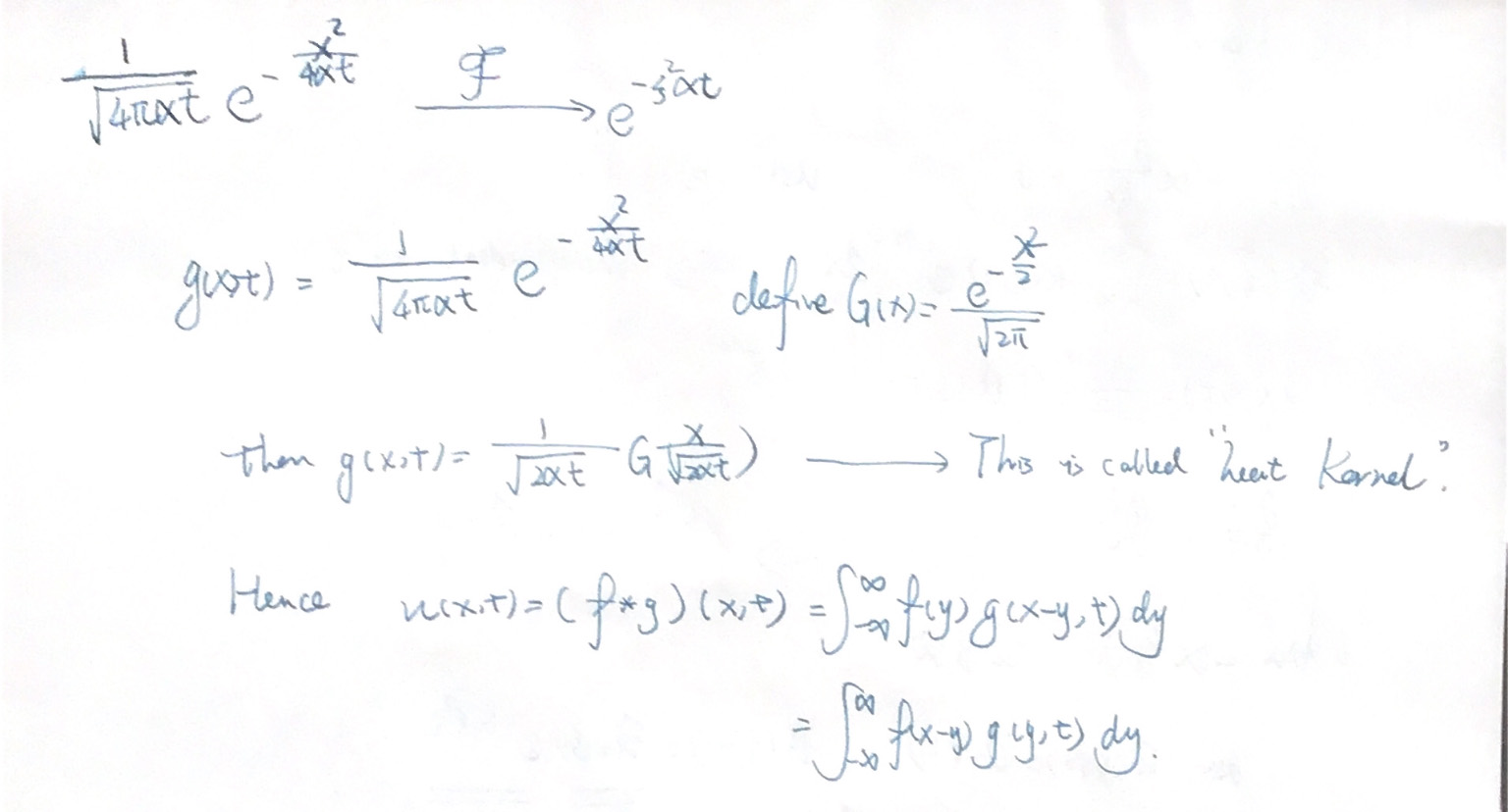
Note that G ( z ) = e − z 2 / 2 ( 2 π ) G(z) = \frac{e^{-z^2/2}}{\sqrt(2\pi)} G(z)=( 2π)e−z2/2 is eventually Gaussian Distribution


Note that G ( z ) = e − z 2 / 2 ( 2 π ) G(z) = \frac{e^{-z^2/2}}{\sqrt(2\pi)} G(z)=( 2π)e−z2/2 is eventually Gaussian Distribution
The integration of heat kernel from -inf to inf with respect to x is 1:
When t → 0 + , g ( x , t ) → ∞ t \rightarrow 0^+,g(x,t) \rightarrow \infty t→0+,g(x,t)→∞ then g becomes a delta function.
Now the question come down to why the convolution between heat kernel(g) and initial condition (f) gives the analytical solution of heat equation.
Let’s firstly look this problem in a discretized view:
f ( y i ) ∗ g ( x − y , t ) = f ( y i ) ∗ δ y i ( x ) f(y_i)*g(x-y,t) = f(y_i)* \delta_{yi} (x) f(yi)∗g(x−y,t)=f(yi)∗δyi(x) at t = 0 where yi denotes the discretized function of f in x direction.
When discretize set of yi goes to infinity, f ( x ) = ∑ y i f ( y i ) δ y i ( x ) = ∫ − ∞ ∞ f ( y ) g ( x − y , t ) d y f(x) = \sum_{yi} f(yi) \delta_{yi}(x) = \int_{-\infty}^{\infty} f(y) g(x-y,t) dy f(x)=∑yif(yi)δyi(x)=∫−∞∞f(y)g(x−y,t)dy
Hence:
u ( x , t ) = ( f ∗ g ) ( x , t ) = ∫ − ∞ ∞ f ( y ) g ( x − y , t ) d y u(x,t) = (f*g)(x,t) = \int_{-\infty}^{\infty} f(y) g(x-y,t) dy u(x,t)=(f∗g)(x,t)=∫−∞∞f(y)g(x−y,t)dy
那么这就是heat kernel的事情了,大家有没有觉得很神奇呢? 感谢大家阅读小编的文章,谢谢啦。 如果大家有什么想法和评论,欢迎在文章结尾下方留言。 参与贡献.
来源:oschina
链接:https://my.oschina.net/u/4368960/blog/4290231