2020数学建模第一批培训笔记
以下图片均来自西安电子科技大学数学建模培训于淼老师的授课资料
文章目录
6.28第一次培训
练习
1
2

3
4
5
6
7
误差
绝对误差
相对误差
绝对误差限
误差的传播
截断误差
舍入误差

方程的根
*交叉法
逐步搜索法
二分法
比例求根法
*迭代法
牛顿法
弦截法
线形方程组
**直接法
高斯消去法
主元素消去法
放缩法
追赶法
*迭代法
雅可比迭代法
高斯-塞德尔迭代法
非线性方程组
求解方法1:代入转化为单一方程求解
迭代法、交叉法
求解方法2:转化为线性方程组求解

多项式插值
拉格朗日插值法
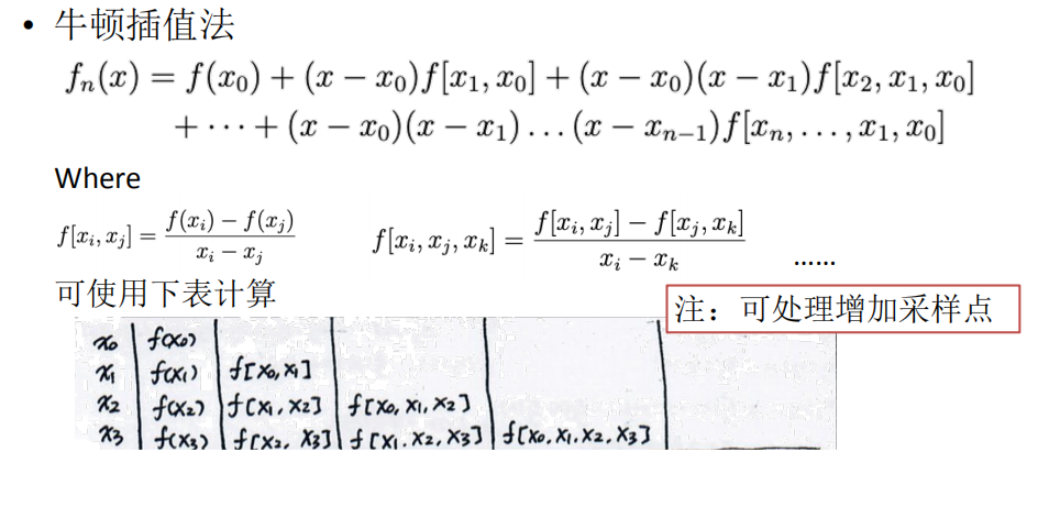
牛顿插值法
实际应用方法
*数值积分
矩形公式
梯形公式
辛浦生公式
常微分方程(初值问题)

可求解的IV-ODE问题,初值的个数不能少于其阶数
欧拉法
二阶龙格库塔法
四阶龙格库塔法


常微分方程(边值问题)

试射法
边值常微分方程→一阶常微分方程组
有限差分法



偏微分方程(抛物线型)
二阶偏微分方程类型
有限差分公式
符号记法
显示法

Crank-Nicholson隐式算法



偏微分方程(双曲线型)

双曲偏微分方程和特征曲线


偏微分方程(椭圆型)




来源:oschina
链接:https://my.oschina.net/u/4267221/blog/4329535