如果您有任何疑问,请在下面发表评论。
大数据部落 -中国专业的第三方数据服务提供商,提供定制化的一站式数据挖掘和统计分析咨询服务
统计分析和数据挖掘咨询服务:y0.cn/teradat(咨询服务请联系官网客服)
【服务场景】
科研项目; 公司项目外包;线上线下一对一培训;数据爬虫采集;学术研究;报告撰写;市场调查。
【大数据部落】提供定制化的一站式数据挖掘和统计分析咨询

欢迎选修我们的R语言数据分析挖掘必知必会课程!
为了方便起见,这些模型通常简称为TAR模型。这些模型捕捉线性时间序列模型无法捕获的行为,如极限循环,幅度相关频率和跳跃现象。
数据示例
TAR模型通过抑制噪声项和截距并将阈值设置为0来获得:


模型估计
一种方法和这里讨论的方法是条件最小二乘(CLS)方法。
情况1.如果r和d都是已知的。
在这种情况下,您可以根据Yt−d≤r" role="presentation">Y是否将数据分为两部分Yt−d≤r" role="presentation">t - d≤ [RÿŤ - d≤[R 然后执行OLS来估计每个线性子模型的参数。
情况2.如果r未知。
搜索一系列r" role="presentation">r值r" role="presentation">[R它必须介于时间序列的最小值和最大值之间,以保证系列实际跨越阈值。然后排除搜索值中最高和最低值的10%
为不同的r=yt" role="presentation">rr=yt" role="presentation">=r=yt" role="presentation">y值估算一个TAR模型r=yt" role="presentation">Ť[R=ÿŤ 在这个限制带内。选择r" role="presentation">r的值r" role="presentation">[R 导致相应回归模型的最小残差平方和。

最小AIC(MAIC)方法
由于实际上两种制度的AR指令是未知的,因此需要一种方法来估计这些指标。对于TAR模型,对于固定r" role="presentation">rr" role="presentation">[R和d" role="presentation">dd" role="presentation">d,AIC成为
然后通过最小化AIC受试者在一定时间间隔内搜索阈值参数来估计参数,使得任何方案具有足够的估计数据。
非线性测试
使用滞后回归图进行检查。
拟合的回归曲线不够直,表明可能存在非线性关系。

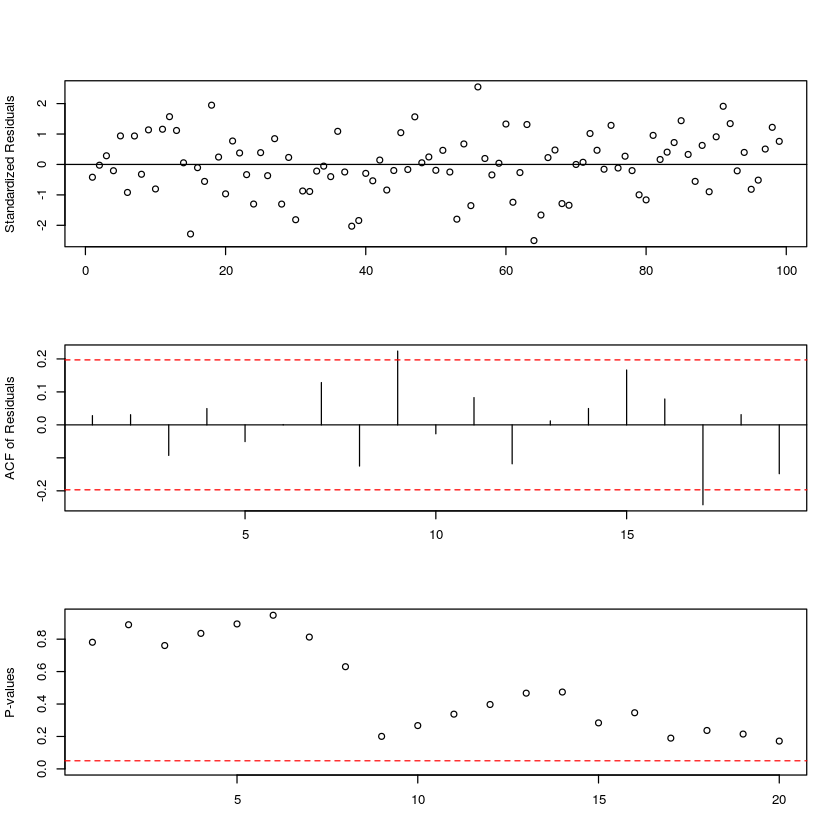
模型诊断
模型诊断使用残差分析完成。

预测
预测分布通常是非正常的和棘手的。通常,采用模拟方法进行预测。

大数据部落 -中国专业的第三方数据服务提供商,提供定制化的一站式数据挖掘和统计分析咨询服务
统计分析和数据挖掘咨询服务:y0.cn/teradat(咨询服务请联系官网客服)
【服务场景】
科研项目; 公司项目外包;线上线下一对一培训;数据爬虫采集;学术研究;报告撰写;市场调查。
【大数据部落】提供定制化的一站式数据挖掘和统计分析咨询

欢迎选修我们的R语言数据分析挖掘必知必会课程!

来源:oschina
链接:https://my.oschina.net/u/4316981/blog/3493495