0-前言
笔者本来周末约好朋友出去骑行,不料天公不作美!哎,闲来无事来到了实验室,本来打算看看《天天向上》,而这一期又实在不好看(偶像剧)。只好来做做一些小实验,脑海里突然想到“正态分布“。于是乎我就开始琢磨用中心极限定理去简单验证一下”正态分布“。
1-工具
工具:当然是用的Python啦,嘿嘿。功能强大~
2-前期储备知识
1) 切尔雪夫不等式,
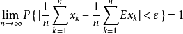
设随机变量X具有数学期望,方差则对任意正数ε,

不等式成立。
意义: 切尔雪夫不等式说明,X的方差越小,事件发生的概率越大。即:X取的值基本上集中在期望附近。
2) 大数定理
设 ,....是一列相互独立的随机变量(或者两两不相关),他们分别存在期望
和方差
。若存在常数C使得:

意义: 当n很大时,随机变量的平均值Yn在概率意义下无限接近期望。注意:出现偏离是可能的,但这种可能性很小,当n无限大时,这种可能性的概率为0.其中这里有一个误区就是: “概论为0就不发生”,事实上这时错误的。详情还请读者自行查阅。
3) 如何证明大数定理呢?
笔者也是自己证明啦,考虑到要花很长时间才能写出来,就不赘述啦,读者可自行查阅相关资料。在这里我只给出提示:根据Y的定义,求出它的期望和方差,代入切尔雪夫不等式即可!
4) 中心极限定理
当然这里只介绍“独立同分布”的中心极限定理啦,因为我要验证“正态分布”嘛~
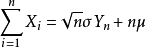
设随机变量X1,X2,......Xn,......独立同分布,并且具有有限的数学期望和方差:E(Xi)=μ,D(Xi)=σ20(k=1,2....),则对任意x,分布函数


注意:该定理说明,当n很大时,随机变量
近似地服从标准正态分布N(0,1)。因此,当n很大时,
近似地服从正态分布N(nμ,nσ2)
中心极限定理的意义: 实际问题中,很多随机现象可以看做许多因素的独立影响的综合反应,往往近似服从正态分布。
例如: 1.城市的耗电量呀 :大量用户的耗电量的总和
2.测量误差呀 : 许多观察不到的,微小误差的总和
注意:是多个随机变量的和才可以,有些问题是乘性误差,则需要鉴别或者取对数后使用,
3.线性回归中,将使用该定理论证最小二乘法的合理性!
3-Python 验证:
import numpy
import matplotlib.pyplot as plt
u = numpy.random.uniform(0.0,1.0,10000)
plt.hist(u,80,color='g',alpha = 0.75)
plt.grid(True)
plt.show()
times = 10000
for time in range(times):
u += numpy.random.uniform(0.0,1.0,10000)
print(len(u))
u/=times
print(len(u))
plt.hist(u,80,color='g',alpha = 0.75)
plt.grid(True)
plt.show()


来源:oschina
链接:https://my.oschina.net/u/4409491/blog/3868648