在这一小节中,我们详细分析BJT的共射组态电路,共射组态是BJT最常用的一种放大组态。在BJT的共射组态中,“输入端口”和“输出端口”共用BJT的射极端子(故称为“共射”),形成一个双端口网络,如下图所示:

图 3-5.01
我们可以将其画成以下的PN结形式,来分析在共射组态电路连接的偏置下,载流子的流动情况:

图 3-5.02
我们以上面左图的npn为例进行分析:在图中,发射极结正偏,且使VCC大于VBB从而使得集电结反偏。
先来看发射结得情况:当发射结正偏时,发射区的自由电子大量进入基区,形成发射极电流IE。由于基区掺杂浓度很低,从发射区过来的自由电子只有很小一部分能与基区的空穴复合,然后在基区的价带运动到基极端子,再通过导线回到电源VBB的正极,从而构成基极电流IB(一般为微安级)。
前面说过,基区通常做得非常薄,所以从发射区过来的大量剩余的自由电子,会继续向前运动穿过反偏的集电结,从而进入集电区,然后在电源VCC正极的吸引下,在集电区的导带运动到集电极端子,再通过导线回到电源VCC的正极,从而构成集电极电流IC。
至于由基区的空穴运动构成的电流,由于基极的掺杂浓度很低,对总电流的影响很小,故基极的空穴电流我们就忽略不考虑了。
从图中可以看到,在共射组态时,基础公式仍然成立:

在后面的分析中,我们都将以npn型晶体管为例进行分析;pnp的分析方法其实是一样的,只是电流方向相反而已。
1. 输入特性
共射组态型电路的输入特性(input characteristics)是指:在一定的输出端电压VCE下,输入电压和输入电流之间的关系(即:VBE-IB伏安关系)。

图 3-5.03
从上图中我们可以看到,VBE-IB的伏安曲线与二极管特性曲线很相似,只不过输入电流的当量等级小了很多,为微安级。而且和共基组态类似,不同的输出端口电压(这里是VCE)对于输入特性的影响非常小,几乎可以忽略输出端口电压对输入特性的影响。
和共基组态一样,共射组态的输入特性也可以像二极管那样做分段近似:当小于0.7V时视为截止,到达0.7V后视为导通。
2. 输出特性
共射组态型电路的输出特性(output characteristics)是指:在一定的输入电流IB下,输出电流与输出电压的关系(即:VCE-IC伏安关系)。
共射组态电路的输出特性伏安曲线图如下图所示:

图 3-5.04
在上图中我们可以看到,输出特性伏安曲线图同样分为3个区域,分别是:放大区、截止区、饱和区。但是和共基组态的输出特性曲线有几点不同,我们将两者的曲线图并排放置于下,可以看出有以下几点不同:

图 3-5.05
● 在共射组态下,放大区的伏安曲线并不像共基组态那样十分水平,而是有略微的倾斜;
● 共射组态的截止区不再全部位于横坐标之下,而是位于横坐标之上的小块区域;
● 共射组态的饱和区也不再是输出端口电压小于0的区域,而是当输出端口电压VCE小于某个阈值VCEsat后,就进入饱和区。
下面我们对各个区域分别进行详细描述:
(1) 放大区
放大区(active region)是图中绿色部分,占据曲线图的大部分面积。当共射组态电路的:发射结正偏、集电结反偏时(就是我们前面分析过的最常用的偏置组合),输出伏安曲线就处于放大区。
对于放大区范围内的伏安特性曲线,我们可以看出以下2个特性:
① 在放大区范围内伏安曲线不再水平,这说明输出端口电压VCE对集电极电流IC会产生一定的影响。
② 对于每一个特定基极电流IB,都有一根对应的输出特性伏安曲线。并且基极电流IB为微安级,而输出电流IC为毫安级。
(2) 截止区
截止区(cutoff region)是图中红色区域部分。按定义来讲,就是发射结偏置电压为0或反偏,而集电结正偏的区域。与共基组态不同的是,由于共射组态电路接法的特殊性,当基极电流IB为0,若集电结偏置使得VCE大于0时,输出电流IC并不为0,而是有一点略微的正值的。我们将共射组态的电路以PN结的形式重画于下:

图 3-5.06
在上右图中我们可以看到,发射结开路,使基极电流IB为0。但从整体来看,由于中间的基极非常薄,整个三极管近似可视为一个电阻很大的纯N型半导体,只是中间稍微有点PN结的阻碍。当外加电压VCE加在其上时,会产生一个电流ICEO(这里“O”的意思是基极开路),这个电流比以前说的PN结反偏电流要大很多(大约0.1毫安级),一般不能忽略。
因此,共射组态的截止区定义为输出电流IC小于ICEO部分的区域,即图中红色部分。也就是当IB≤0时的输出区域。
(3) 饱和区
饱和区(saturation region)是图中橙色部分。从定义上讲,当共射组态电路的:发射结正偏,集电结也正偏(VCB<0)时,伏安曲线就处于饱和区。我们仍以PN结图的形式来说明:

图 3-5.07
当发射结正偏时,VBE的大小一般为0.7V左右。在上图中,要使集电结正偏,VCE的电压就必须小于VBE,当集电结开始正偏时,这个正偏电场会对发射极过来的电子产生一个阻力,使得从发射极过来的电子变少,表现在输出伏安特性曲线上就是随着VCE的减小,IC开始变小。当集电结正偏继续增大到某一阈值后(即VCE继续减小到某一阈值后),发射极过来的电子会急剧减少(即IC急剧减小)。在输出特性曲线图上,这个值标记为VCEsat(sat是“saturation”的简写,意思是“饱和”),这个VCEsat的典型值一般为0.1~0.3V左右。VCE小于VCEsat越多,集电结就正偏的越厉害,它对自由电子的阻碍就越大,IC就越减小。
因此,当发射结正偏时,VCE若小于VCEsat,我们就说:共射电路进入了饱和区。
3. 参数β
参数β一般由共射组态电路来定义,我们将图3-5.02重画于下:

图 3-5.08
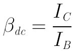
在上图中,我们定义直流参数βdc为:电流IC流与电流IB的比值。用公式表示即为:

再定义交流参数βac为:当VCE不变时,“集电极电流微小变化”与“基极电流微小变化”的比值,用公式表示即为:

交流参数βac的正式名称为共射前向放大系数(common-emitter, forward-current, amplification factor)。大多数情况下,直流参数βdc和交流参数βac的大小非常接近,可以相互通用。对于实际器件,一般β的典型值在50~400之间。
在BJT的数据规格书上,通常用hfe来表示βac参数,至于为什么叫hfe,这个是根据电路理论的二端口混合参数进行定义的,我们在下一章讲BJT放大电路的交流分析时再讲。
● 参数β和参数α的关系
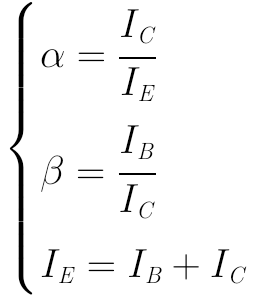
一般β参数的定义也可以用于共基组态电路,因此根据前面α和β参数的定义,再加上电流总关系式,可以推导出α和β参数之间的换算公式,我们将三个关系式列于下:

将这三个式子联立进行计算,消去其中的IE,IB,IC,最后可得:

另外,还有一个从上式导出的关系式我们也经常用到:

4. 击穿区域
和共基组态类似,在前面图3-5.04的共射组态输出特性伏安曲线图上, VCE不能无限制增大,当VCE超过某一阈值后,集电极电流IC会急速增长。就像普通二极管的反向击穿一样,集电结的反偏电压如果太大,也会发生反向击穿。如下图所示:

图 3-5.09
在图中我们可以看到,击穿电压标记为V(BR)CEO,也有的教材或规格书中把它标为BVCEO的,基本都是一个意思。这张图里稍微有点怪异的地方是,当IB很小时,IC在击穿区域内有一段是呈负电阻状态,即:IC增大但同时VCE减小。这个是由于“厄利效应”产生的,这里我们可以先不管它。在设计电路参数时,只需注意不要让BJT进入击穿区域就可以了。
( end of 3-5 )
来源:oschina
链接:https://my.oschina.net/u/4401649/blog/3401439