【学习总结】《大话数据结构》- 总
第6章树-代码链接
启示:
-
树

目录
<!-- GFM-TOC -->
- 6.1 开场白
- 6.2 树的定义
- 6.3 树的抽象数据类型
- 6.4 树的存储结构
- 6.5 二叉树的定义
- 6.6 二叉树的性质
- 6.7 二叉树的存储结构
- 6.8 遍历二叉树
- 6.9 二叉树的建立
- 6.10 线索二叉树
- 6.11 树、森林与二叉树的转换
- 6.12 赫夫曼树及其应用
- 6.13 总结回顾
- 6.14 结尾语
<!-- GFM-TOC -->
========================================
6.1 开场白
- 一些可以略过的场面话...
========================================
6.2 树的定义
-
定义


-
注意:
-
n>0时:根节点是唯一的,不可能存在多个根节点。
-
m>0时:子树的个数没有限制,但它们一定互不相交。
-
-
结点分类
-
结点的度(degree):结点拥有的子树数
-
叶结点(leaf)或终结点:度为0的结点
-
非终端结点或分支结点:度不为0的结点
-
内部结点:除根节点外,分支结点也称为内部结点
-
树的度:树内各结点的度的最大值
-

-
结点间关系
-
孩子(child):结点的子树的根称为该结点的孩子
-
双亲(parent):该结点称为孩子的双亲(父母同体,唯一的一个)
-
兄弟(sibling):同一个双亲的孩子之间互称兄弟
-
祖先:结点的祖先是从根到该结点所经分支上的所有结点
-
子孙:以某结点为根的子树中的任一结点都称为该节点的子孙
-

-
树的其他相关概念
-
层次(level):从根开始定义起,根为第一层,根的孩子为第二层
即:若某结点在第L层,则其子树的根就在第L+1层
-
堂兄弟:双亲在同一层的结点互为堂兄弟
-
深度(depth)或高度:树中结点的最大层次称为树的深度或高度
-

-
有序树/无序树:如果将树中结点的各子树看成从左至右有次序的,不能互换的,则称该树为有序树,否则为无序树。
-
森林(forest):m(m>=0)棵互不相交的树的集合。
-
对于树中每个结点而言,其子树的集合即为森林。
-
-
线性表与树的对比

========================================
6.3 树的抽象数据类型
-
相比线性结构,树的操作就完全不同了。以下是基本和常用操作。

========================================
6.4 树的存储结构
-
简单的顺序存储结构无法直接反映逻辑关系,不能满足树的实现要求
故充分利用顺序存储和链式存储结构的特点,介绍三种不同的表示法
-
双亲表示法
-
引入:除根节点外,其余每个结点,不一定有孩子,但一定有且仅有一个双亲
-
定义:设以一组连续空间存储树的结点,同时在每个结点中,附设一个指示器指示其双亲结点到链表中的位置。
-
data:数据域,存储结点的数据信息
-
parent:指针域,存储该结点的双亲在数组中的下标
-
约定:根节点的位置域为-1
-
-

-
代码实现:


-
图示:


-
弊端:找一个结点的双亲,时间复杂度O(1),但是找一个结点的孩子,需要遍历整个结构
-
针对上述找孩子的解决:增设一个结点最左边孩子的域(长子域),没有孩子的结点,长子域为-1
-
2个孩子:知道长子是谁,另一个就是次子了
-

-
另一个问题:兄弟之间的关系 -- 增加一个右兄弟域来体现兄弟关系,没有右兄弟时为-1

-
同时关注结点的双亲、孩子、兄弟时:设置双亲域、长子域、右兄弟域
但对时间遍历要求较高,有需要时再添加相应的结构
-
孩子表示法
-
多重链表表示法:
-
每个结点有多个指针域,其中每个指针指向一棵子树的根节点,这种方法叫做多重链表表示法。
-
-
方案一:设置指针域的个数为树的度
-
可能存在空间的浪费
-
-




-
方案二:设置每个结点指针域的个数等于该结点的度,取一个位置来存储结点指针域的个数
-
空间利用率提高,但是各个结点的链表结构不同,要维护结点的度的数值,时间损耗提高
-




-
孩子表示法:
-
把每个结点的孩子结点排列起来,以单链表作存储结构,则n个结点有n个孩子链表,如果是叶子结点,则此单链表为空。然后n个头指针又组成一个线性表,采用顺序存储结构,存放进一个一维数组中。
-


-
孩子表示法的两种结点结构
-
孩子链表的孩子结点
-

- ### 表头数组的表头结点 

-
孩子表示法的结构定义代码:


-
孩子表示法的弊端:找某结点的双亲,仍需要遍历整个树
-
改进:双亲孩子表示法

-
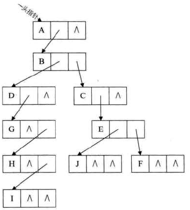
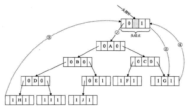
孩子兄弟表示法
-
引入:
任意一棵树,它的结点的第一个孩子如果存在就是唯一的,它的右兄弟如果存在也是唯一的。
因此,可以设置两个指针,分别指向该结点的第一个孩子和此结点的右兄弟
-


-
结构定义代码:

-
图示:


-
弊端:找双亲仍需遍历整棵树,可以增加parent指针域
-
好处:把一棵复杂的树变成了一棵二叉树

========================================
6.5 二叉树的定义
-
定义


-
1、二叉树的特点




-
2、特殊二叉树
-
1-斜树:
所有结点都只有左子树的二叉树叫左斜树
所有结点都只有右子树的二叉树叫右斜树
这两者统称为斜树。
特点:每层只有一个结点,结点个数与二叉树的深度相同
注:线性表结构可以理解为是树的一种极其特殊的表现形式
-


-
2、满二叉树
定义:一棵二叉树中,所有分支结点都存在左右子树,并且所有叶子都在同一层
#### 特点: 
-
3、完全二叉树
-
定义:对一棵具有n个结点的二叉树按层序编号,如果编号i(1<=i<=n)的结点与同样深度的满二叉树中编号为i的结点在二叉树中位置完全相同,则此二叉树为完全二叉树
完全二叉树示例:
-
#### 非完全二叉树示例:
- #### 完全二叉树的特点:
- #### 完全二叉树的判断方法:给每个结点按满二叉树的结构逐层排序,如果编号出现空档,就不是,否则就是。
========================================
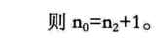
6.6 二叉树的性质




-
推导:





-
简单推导:





-
举例:


========================================
6.7 二叉树的存储结构
-
二叉树的顺序存储结构:按完全二叉树编号
-
顺序存储结构一般只用于完全二叉树,否则容易造成空间的浪费
-
完全二叉树:
-


-
一般二叉树:

-
极端情况的二叉树:

-
二叉链表
-
定义:
二叉树每个结点最多有两个孩子,所以设置一个数据域和两个指针域,这样的链表称为二叉链表。
-
- data:数据域 - lchild和lchild:指针域,分别存放指向左孩子和右孩子的指针。
-
二叉链表的结点结构定义代码

-
图示:

-
三叉链表:
-
如有需要,可增加一个指向其双亲的指针域,其称为三叉链表。
-
========================================
6.8 遍历二叉树
-
二叉树遍历原理

-
关键词:访问和次序
-
访问:根据实际的需求来确定具体做什么,算作是一个抽象操作。
-
遍历次序:
-
线性结构最多是从头到尾、循环、双向等。
-
树节点不存在唯一前驱后继,会因为遍历方式不同而产生完全不同的结果。
-
-
二叉树遍历方法:
-
四种:前序遍历、中序遍历、后序遍历、层序遍历。
-
前序遍历:根左右
-


-
中序遍历:左根右


-
后序遍历:左右根


-
层序遍历:


-
前序遍历
-
代码实现;
-

-
图示:










-
中序遍历
-
代码实现
-

-
图示:









-
后序遍历
-
代码实现:
-

-
图示:


-
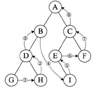
遍历推导
-
已知前序遍历和中序遍历,求后序遍历
###前序:ABCDEF,中序:CBAEDF- 前序第一个字母是A,说明A是根节点
- 中序CBAEDF,说明CB在A的左,EDF在A的右

- 前序CB:ABCDEF,先B后C,故B是A的左,C是B的孩子,左右不确定
- 中序CB:CBAEDF,先C后B,故C是B的左

- 前序EDF:ABCDEF,说明D是A的右孩子,EF是D的子孙
- 中序EDF:CBAEDF,E在D左,F在D右,说明E是D的左孩子,F是D的右孩子

- 根据得到的二叉树图,检查一下是否符合所给前序和中序
- 然后可得后序:CBEFDA
-
已知中序遍历和后序遍历,求前序遍历:
-

-
性质小结:


========================================
6.9 二叉树的建立
-
二叉树的扩展二叉树:
-
为了能让每个结点确认是否有左右孩子,将每个结点的空指针引出一个虚结点,其值为一特定值,比如"#"
-
称这种处理后的二叉树为原二叉树的扩展二叉树
-
扩展二叉树就可以做到一个遍历序列确定一棵二叉树
-

-
代码实现:


-
其他:
-
当然,也可以用中序或后序遍历的方式实现二叉树的建立
只需对代码里生成结点和构造左右子树的代码顺序交换,并且输入字符也做相应的更新即可。
-
========================================
6.10 线索二叉树
-
引入:
-
空指针存在空间的浪费
-

-
二叉链表中,只能看出左右孩子,而看不出某序遍历的前驱和后继
-
定义:
-
线索:指向前驱和后继的指针称为线索
-
线索链表:加上线索的二叉链表称为线索链表
-
线索二叉树(Threaded Binary Tree):相应的二叉树称为线索二叉树
-


-
线索化:对二叉树以某种次序遍历使其变为线索二叉树的过程
(此处应该是把非空指针域也变成了线索)
-
为区分左右孩子和前驱后继,每个结点增设两个标志域
(注:此标志域占用的内存空间小于rchild类的指针变量) 


-
线索二叉树的结构实现

-
前驱和后继的信息只有在遍历二叉树时才能得到
-
所以线索化的过程就是在遍历的过程中修改空指针的过程。
-
代码实现:中序遍历线索化



-
类双向链表图示:

-
类双向链表代码实现:




========================================
6.11 树、森林与二叉树的转换
-
树转换为二叉树


-
森林转换为二叉树


-
二叉树转换为树



-
二叉树转换为森林
-
首先判断:二叉树的根结点是否有右孩子:有就是森林,否则不是。


-
-
树和森林的遍历






========================================
6.12 赫夫曼树及其应用
-
定义

-
路径:从树中一个结点到另一个结点之间的分支构成两个结点之间的路径
-
路径长度:路径上的分支数目称为路径长度
-
树的路径长度:从树根到每个结点的路径长度(注意是每一结点,不止是所有叶结点)
树a的路径长度:

树b的路径长度:

-
结点的带权路径长度:从该结点到树根之间的路径长度与结点上权值的乘积。
-
树的带权路径长度:树中所有叶子结点的带权路径长度。(注意是叶子结点,没有中间的)
-
赫夫曼树(Huffman):带权路径长度WPL最小的二叉树称做赫夫曼树。也叫最优二叉树。
-
注:哈夫曼树中没有度为1的结点。(每一个结点都是由它的两棵子树合并产生的新结点)
-


-
构造最优的赫夫曼树


-
构造赫夫曼树的赫夫曼算法描述:

-
赫夫曼编码




========================================
6.13 总结回顾
========================================
6.14 结尾语
END
来源:oschina
链接:https://my.oschina.net/u/4291625/blog/3447925






