一、最大深度
1.二叉树的最大深度 leetcode104
给定一个二叉树,找出其最大深度。
二叉树的深度为根节点到最远叶子节点的最长路径上的节点数。
说明: 叶子节点是指没有子节点的节点。
示例:
给定二叉树 [3,9,20,null,null,15,7],
3
/ \
9 20
/ \
15 7
返回它的最大深度 3
思路1:深度优先搜索(递归)
终止条件:如果二叉树为空,则深度为0;
递归体:如果不为空,分别求左子树的深度和右子树的深度,取最大的再加1
def maxDepth(root):
"""
:type root: TreeNode
:rtype: int
"""
if root == None:
return 0
leftDepth = maxDepth(root.left) + 1
rightDepth = maxDepth(root.right) + 1
return leftDepth if leftDepth > rightDepth else rightDepth
思路2:把树看做是图,用dfs求最长长度的路径
from collections import defaultdict
def maxDepth2(nodes):
#输入:nodes [3,9,20,null,null,15,7]
#由节点列表构造图的邻接表
def define_graph(arr):
neig_dict = defaultdict(list)
for i in range(len(arr)):
if arr[i] != None:
if (2*i+1) <= len(arr)-1 and arr[2*i+1]:#如果左节点存在
neig_dict[arr[i]].append(arr[2*i+1])
if (2*i+2) <= len(arr)-1 and arr[2*i+2]:#如果右节点存在
neig_dict[arr[i]].append(arr[2*i+2])
if (i-1)//2 >= 0 and arr[(i-1)//2]:#左子树的父节点
neig_dict[arr[i]].append(arr[(i-1)//2])
elif (i-2)//2 >= 0 and arr[(i-2)//2]:#右子树的父节点
neig_dict[arr[i]].append(arr[(i-2)//2])
return neig_dict
#遍历邻接表,返回一次遍历的长度
def dfs(nei_dict,i,visit):
for j in nei_dict[i]:
if j not in visit:
visit.add(j)
dfs(neig_dict,j,visit)
return len(visit)
neig_dict = define_graph(nodes)
init_node = nodes[0]#图的起始点
visit = set()
visit.add(init_node)
max_len = 0
for i in neig_dict[init_node]:#遍历初始点的所有邻接点
visit.add(i)
max_len = max(dfs(neig_dict,i,visit),max_len)
print('visit',visit)
visit = set()#每遍历完一条路径之后,都要重新定义visit
visit.add(init_node)
return max_len
# res = maxDepth2([3,9,20,None,None,15,7])
# print("最大深度",res)
思路3:层次遍历,计算有多少层,即为树的深度
def maxDepth_leverOrder(arr,arr_level):
def levelOrder(arr,i,arr_lever):#i是当前节点是index
#先序遍历树的每一个节点,当前节点的层数等于上一层加一
if (i-1)//2 >= 0 and arr[(i-1)//2]:#左节点存在
arr_lever[i] = arr_lever[(i-1)//2] + 1#等于父节点层数加一
elif (i-1)//2 >= 0 and arr[(i-1)//2]:#右节点存在
arr_lever[i] = arr_lever[(i-1)//2] + 1
for i in range(1,len(arr)):#遍历除了根节点的其他节点
if arr[i] == None:
continue
else:
levelOrder(arr,i,arr_level)
arr = [3,9,20,None,None,15,7]
if len (arr) == 1:
print(1)
else:
arr_level = defaultdict(int)
arr_level[0] = 1 # 根节点为第一层
print ('arr_level before',arr_level)
maxDepth_leverOrder(arr,arr_level)
print('arr_level after',arr_level)
print('深度',max(arr_level.items(),key=lambda x:x[1]))#5,3==> 树在列表中的index值,对应的深度
def level_Order_init(root):
# 层次遍历的递归写法
def maxDepth_leverOrder_recur(level, result, node):
if node:
print('level=%s,result长度=%s'%(level,len(result)))
#level<len(result),说明有下一层,但是还没放数据
#level=len(result),说明有下一层且该层数据已经遍历完
if level == len(result):
#说明该层数据已经遍历完成,下一步要遍历下一层的数据
result.append([])
result[level].append(node.val)#该层
maxDepth_leverOrder_recur(level+1,result,node.left)#左,下一层
maxDepth_leverOrder_recur(level+1,result,node.right)#右,下一层
level,result = 0,[]
maxDepth_leverOrder_recur(level,result,root)
print('深度',len(result))
return result
L1 = TreeNode(3)
L2 = TreeNode(9)
L3 = TreeNode(20)
L4 = TreeNode(15)
L5 = TreeNode(7)
L1.left = L2
L1.right = L3
L2.left = None
L2.right = None
L3.left = L4
L3.right = L5
res = level_Order_init(L1)
print(res)
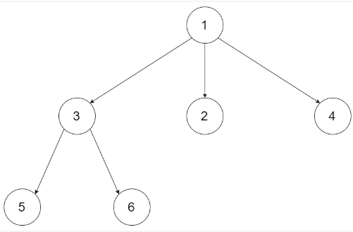
2.N叉树的最大深度 leetcode559
题目:给定一个N叉树,找到其最大深度。最大深度是指从根节点到最远叶子节点的最长路径上的节点总数

思路:二叉树求最大深度一样,只是由固定的左右子节点变成了一堆子节点,方法没变
- 递归,如果node为空,直接返回
- 遍历node的所有孩子节点,取最大值+1作为最大深度
class TreeNode:
def __init__(self, val, children):
self.val = val
self.children = children
def maxDepth(node):
if node == None:
return 0
if not node.children:
return 1
#计算所有孩子节点的深度最大值
# print('node.children',node.children)
if len(node.children) >= 1:
this_child_maxdpth = []
for child in node.children:
this_child_maxdpth.append(maxDepth(child)+1)
return max(this_child_maxdpth)
L5 = TreeNode(5,None)
L6 = TreeNode(6,None)
L3 = TreeNode(2,None)
L4 = TreeNode(5,None)
L2 = TreeNode(3,children=(L5,L6))
L1 = TreeNode(1,children=(L2,L3,L4))
res = maxDepth(L1)
print(res)
二、最小深度
1.二叉树的最小深度 leetcode111
题目:给定一个二叉树,找出其最小深度。二叉树的最小深度为根节点到最近叶子节点的距离。
思路1:计算左子树和右子树深度的时候,判断是否等于0,如果等于0,说明该子树不存在,深度赋值为最大值。
思路2:判断左子树或右子树是否为空,若左子树为空,则返回右子树的深度,反之返回左子树的深度,如果都不为空,则返回左子树和右子
class TreeNode:
def __init__(self, x):
self.val = x
self.left = None
self.right = None
def minDepth(root):
"""
:type root: TreeNode
:rtype: int
"""
if root == None:
return 0
# 若左子树为空,则返回右子树的深度,反之返回左子树的深度
if root.left == None :
return minDepth(root.right) + 1
if root.right == None:
return minDepth(root.left) + 1
#如果都不为空,则返回左子树和右子树深度的最小值
leftDepth = minDepth(root.left) + 1
rightDepth = minDepth(root.right) + 1
return leftDepth if leftDepth < rightDepth else rightDepth
L1 = TreeNode(3)
L2 = TreeNode(9)
L3 = TreeNode(20)
L4 = TreeNode(15)
L5 = TreeNode(7)
L1.left = L2
L1.right = L3
L2.left = None
L2.right = None
L3.left = L4
L3.right = L5
res = minDepth(L1)
print(res)
来源:oschina
链接:https://my.oschina.net/u/4330952/blog/3371646