在说逻辑回归前,还是得提一提他的兄弟,线性回归。在某些地方,逻辑回归算法和线性回归算法是类似的。但它和线性回归最大的不同在于,逻辑回归是作用是分类的。
还记得之前说的吗,线性回归其实就是求出一条拟合空间中所有点的线。逻辑回归的本质其实也和线性回归一样,但它加了一个步骤,逻辑回归使用sigmoid函数转换线性回归的输出以返回概率值,然后可以将概率值映射到两个或更多个离散类。
如果给出学生的成绩,比较线性回归和逻辑回归的不同如下:
- 线性回归可以帮助我们以0-100的等级预测学生的测试分数。线性回归预测是连续的(某个范围内的数字)。
- Logistic回归可以帮助预测学生是否通过。逻辑回归预测是离散的(仅允许特定值或类别)。我们还可以查看模型分类背后的概率值。
一.从回归到分类的核心 --Sigmoid Function
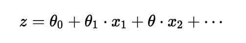
之前介绍线性回归的时候,它的函数是这样样子的:
h(x)=θ0 + θ1 * x1 + θ2 * x2 + θ3 * x3 ...
但这样的函数是没办法进行分类的工作的,所以我们要借助一下其他函数,那就是Sigmoid Function。
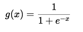
我们先来看看这个Sigmoid Function长什么样,Sigmoid Function的数学公式是这样子的:

如果表示在平面坐标轴上呢,那它长这个样子。 
这个Sigmoid Function可以将线性的值,映射到[0-1]这个范围中。如果映射结果小于0.5,则认为是负的样本,如果是大于0.5,则认为是正的样本。
比方说要对垃圾邮箱进行分类,分垃圾邮箱和正常邮箱。当这个Sigmoid Function的计算出来后,小于0.5,则认为是垃圾邮箱,大于0.5则是非垃圾邮箱。
原先线性回归的计算公式是这样的: 
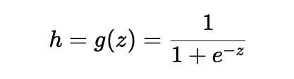
那么将这个z函数代入到Sigmoid Function中,OK,现在我们就有了一个逻辑回归的函数了。

二.代价函数Cost Function
和线性回归一样,逻辑回归也有代价函数。并且都是通过最小化Cost Function来求得最终解的。
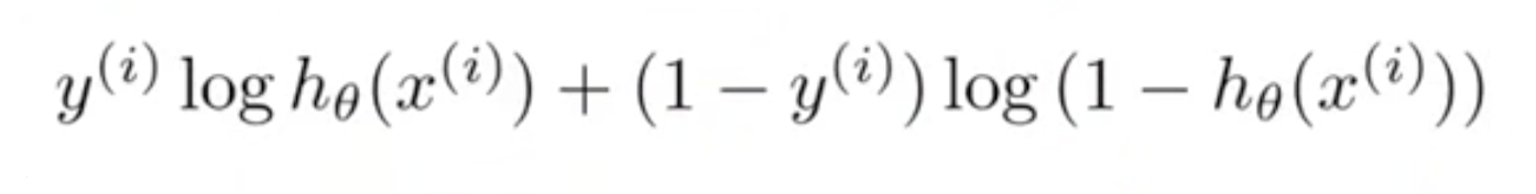
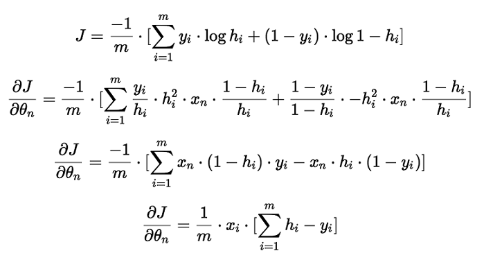
我们先来看单个点的情况, 
这个代价函数呢,叫做交叉熵,其中y(i)指的是预测的结果,而hθ(xi)指的是xi这个点原本的值。
那么它具体是什么意思呢,为什么叫做交叉熵?我们举两个极端的例子看看就明白了:
1.xi原始值hθ=1,预测结果,yi=1的情况

这个时候,代价函数的加号右边会被消掉,因为右边(1-y(i))是0,左边部分呢,因为hθ(xi)=1,故而log(1)=0。
y(i)log(hθ(xi)) = 1 * log(0) = 0
也就是说,若xi原始值是1,当预测值y=1的时候,代价函数是0的。这个也比较好理解,代价函数为0就是说预测结果和原始结果完全一致的,没有半点出差错。
2.计算结果,yi=0,原始值hθ=0

这次的结果就和上面的反过来了,因为yi=0,所以左边部分全军覆没,来看右边,
(1-yi) * log(1-hθ(xi)) = 1 * log(0) = 0
因为1-hθ(xi),最终结果还是等于0。
也就是说,这个损失函数,只要原始值与预测结果越相符,损失函数就越大,反之,损失函数就会越小。
以上说的只是一个点的情况,实际的代价函数,是要计算所有点的损失函数的均值,如下所示:

三.梯度下降
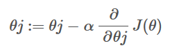
和线性回归一样,逻辑回归的解法也可以通过梯度下降来进行求解。梯度下降的目的,是为了最小化代价函数Cost function。
要求使用梯度下降,需要先求解偏导数,以下是求导数的一个具体过程: 
而梯度下降的计算方法也和线性回归的计算方法是一样的。只是其中的代价函数,换成了逻辑回归的代价函数。

其中,α右边部分对应我们上面对代价函数求偏导的结果。而α是用来控制训练速率的,这个在线性回归那里已经有说到,这里就不再介绍了。
最终就是对θj不断迭代,直到损失函数降到最小,那就可以求出我们要的θ值了。
四.小结
OK,今天介绍了线性回归和逻辑回归的区别,同样都是回归分析,逻辑回归能完成分类任何的核心,就算使用了Sigmoid Function。
这里留一个小问题,上面所述的逻辑回归,通常是仅仅能够进行二分类,那有没有办法来让逻辑回归实现多分类呢?
下一次将阐述用逻辑回归进行多分类,以及正则化相关内容,并介绍sklearn的逻辑回归参数和用法!!
以上~~
推荐阅读: 通俗得说线性回归算法(一)线性回归初步介绍 通俗得说线性回归算法(二)线性回归初步介绍 Scala 函数式编程指南(一) 函数式思想介绍 通俗地说决策树算法(二)实例解析 大数据存储的进化史 --从 RAID 到 Hadoop Hdfs C,java,Python,这些名字背后的江湖!
原文出处:https://www.cnblogs.com/listenfwind/p/11259227.html
来源:oschina
链接:https://my.oschina.net/u/4382053/blog/3248013