全部每周作业和视频思考题答案和解析 见 浙江大学 数据结构 思考题+每周练习答案
第八讲一共就两个值得记录的思考题,这里也是简单记录一下吧。
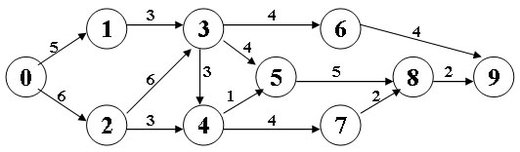
1 下图给定了一个项目的AOE。整个项目最早完工需要的时间是
-
A. 17
-
B. 19
-
C. 20
-
D. 23

选C
2 在上图中,如果<0,2>组能加快进度,整个项目就能提前完工。
-
A. √
-
B. ×
选A,由图可知,从0到3的时间是12,是由0-2-3决定的,而不是0-1-3。而4也是由0-2影响的,所以加快以后,能提前完工。
争取用两天时间,把三个编程作业都做了。
来源:oschina
链接:https://my.oschina.net/u/4274413/blog/3227890
